Find Your Style
Women
Men
Accessories
Search for clothing, brands, styles...
×
Women
Men
Accessories
Perpedicular Distance
Search
Loading...
No suggestions found
Draw a graph to show the variation of e with perpendicular distance r ...
brainly.in
intensity of electric field E at a point at a perpendicular distance r ...
brainly.in
Ampere's Circuital Law - Statement, Definition, Formula, Proof, Steps ...
eee.poriyaan.in
find the equation of the line whose perpendicular distance from origin ...
brainly.in
Magnetic field produced due to a current carrying conductor is ...
tardigrade.in
A tunnel is dug along a chord of the earth at a perpendicular distance ...
allen.in
A tunnel is dug along a chord of the earth at a perpendicular distance ...
allen.in
A tunnel is dug along a chord of the earth at a perpendicular distance ...
allen.in
Derive the formula for the perpendicular distance of a point (x,y)from ...
brainly.in
A tunnel is dug along a chord of the earth at a perpendicular distance ...
allen.in
6. Find the perpendicular distance of the point P(7,2) from X axis ...
brainly.in
Tunnel is dug along a chord of earth at a perpendicular distance R/2 ...
edurev.in
The perpendicular distance of (2,-4)from you axis is - Brainly.in
brainly.in
find the perpendicular distance from a point (2,-3) to the line 5x+12y ...
brainly.in
Assume that a tunnel is dug along a chord of the earth, at a ...
tardigrade.in
The perpendicular distance of the point whose position vector is (1,3,5 ...
tardigrade.in
Moment of Force about a Point
mech.poriyaan.in
What is the length of the chord of a circle of radius 10cm if the ...
brainly.in
Moment Formula: Definition, Equations, Principle, Application and ...
collegesearch.in
find the perpendicular distance of the point (4,3) from x-axis - Brainly.in
brainly.in
The perpendicular distance (d) of the line A x+B y+C=0 from a point (x1 ...
tardigrade.in
State and prove theorem of parallel axes.
allen.in
state true or false the perpendicular distance of point (3,-7) from Y ...
brainly.in
A tunnel is dug along a chord of the earth at a perpendicular distance ...
allen.in
Let L be the line, whose perpendicular distance from origin O be O A=p ...
tardigrade.in
If perpendicular distance of a line is 7/2 and alpha is tan^-1(2/2 ...
brainly.in
The perpendicular distance of a point P (5, 8) from the y-axis is ...
brainly.in
Find the coordinates of the foot of the perpendicular and the ...
esaral.com
Derive the formula for the perpendicular distance of a point (x,y)from ...
brainly.in
Solved Example & Practice Problems: Moment of Force, Varignon's Theorem
mech.poriyaan.in
11. In a parallelogram ABCD, AB= 6 cm, BC = 5 cm, and AC= 7 cm . Find ...
brainly.in
The perpendicular distance between the pair of opposite sides of ...
brainly.in
A curve y = f (x) has the property that the perpendicular distance of ...
tardigrade.in
6.The adjacent sides of a parallelogram are 16 cm and 20 cm long. The ...
brainly.in
Derive the formula for the perpendicular distance of a point (x,y)from ...
brainly.in
Find the coordinates of the foot of the perpendicular and the ...
esaral.com
Varignon's Theorem of Moments - with Solved Example Problems
mech.poriyaan.in
Find the perpendicular distance of A( 5,12) from the y- axis - Brainly.in
brainly.in
Find the perpendicular distance of the point (6,4) from the X-axis ...
brainly.in
Consider a curve passing through (1,1) such that perpendicular distance ...
tardigrade.in
Applications of Ampere's Circuital Law - to obtain magnetic field intensity
eee.poriyaan.in
Draw a plot showing the variation of (i) electricfield (E) and (ii ...
ask.learncbse.in
A man moves on the path AB. He wants to see the image of the object ...
allen.in
What is the length of the chord of a circle of radius 10cm if the ...
brainly.in
Two very high tower having height difference of 30 m are in front of ...
brainly.in
PQ is a chord of a circle with centre a and radius r the perpendicular ...
brainly.in
if the co ordinates are -3 and -4 then find (i) perpendicular distance ...
brainly.in
The perpendicular distance of the point hati+ hatj+ hatk from the line ...
tardigrade.in
From a uniform circular disc of radius R and mass 9M, a small disc of ...
allen.in
Write the perpendicular distance of point p 4,3 from the y-axis ...
brainly.in
Let d be the perpendicular distance from the centre of the ellipse `x^2 ...
allen.in
How to find perpendicular distance between two planes? - Brainly.in
brainly.in
The perpendicular distance of the origin from x-axis is ________(a) 0(b ...
brainly.in
find the perpendicular distance of the point p (5,7) from the y‐axis ...
brainly.in
Class 12 CBSE Physics Board Questions Chapter Electric Charges and Fields
iqclasses.in
3. The perpendicular distance of a point from the X-axis is 3 units and ...
brainly.in
The perpendicular distance of a point P(7,5) from y-axis is - Brainly.in
brainly.in
The perpendicular distance of a point from the X axis is 2 units and ...
brainly.in
Let P ( x 1, y 1) (where y 1>0 ) be any point on the parabola y 2=4 x ...
tardigrade.in
In the figure oabc is trapezium.oc=4 2, and angle coa=45degree A(6,0) a ...
brainly.in
NCERT Solutions for Class 11 Physics chapter 7 - eSaral
esaral.com
Find the perpendicular distance of A (5, 12) from the Y-axis. (Full ...
brainly.in
Ig the perpendicular distance of a point P from x-axis is 5 units and ...
brainly.in
An infinitely long straight conductor carries a current of 5 A as shown ...
tardigrade.in
A tunnel is dug along a chord of the earth at a perpendicular distance ...
brainly.in
Find the coordinates of the foot of the perpendicular and the ...
esaral.com
The adscissa of a point P, in Cartesian planeis the perpendicular ...
brainly.in
what is the perpendicular distance of the points A (7,-4) from 1.x axis ...
brainly.in
perpendicular distance from the the orgin to line 3x+4y=7 - Brainly.in
brainly.in
Let 'r' be the radius of a circle, h be the perpendicular distance from ...
brainly.in
find the perpendicular distance of A (5,12) from the y axis - Brainly.in
brainly.in
Moment of a Force and Varignon’s Theorem - F Perpendicular distance ...
studocu.com
The perpendicular distance of the point p(9,8) from Y-axis is - Brainly.in
brainly.in
The equation of circle which touches x y axis and whose perpendicular ...
tardigrade.in
Two equal charges are separated by a distance `d`. A third charge ...
allen.in
Moment of a Force and Varignon’s Theorem - F Perpendicular distance ...
studocu.com
The perpendicular distance of the point P (3, 4) from the y-axis is ...
brainly.in
show that the produt of perpendicular distance from point (alpha,. bita ...
brainly.in
draw a line segment st=5cm take a point p whose perpendicular distance ...
brainly.in
Find area of parallelogram if adjacent side are 8cm and 10cm ...
brainly.in
6. If the perpendicular distance of a point A from the x-axis is 6 ...
brainly.in
a field in the form of a parallelogram has one diagonal of 42 m long ...
brainly.in
radius of circle is 10cm and distance of chord from the center is 6cm ...
brainly.in
the perpendicular distance of the point (5,6)from y-axis is - Brainly.in
brainly.in
if the co ordinates are -3 and -4 then find (i) perpendicular distance ...
brainly.in
Assertion (A): The abscissa of a point (5,2) is 5 Reason (R): The ...
brainly.in
In order to prove, ''In a right angled triangle, the perpendicular ...
allen.in
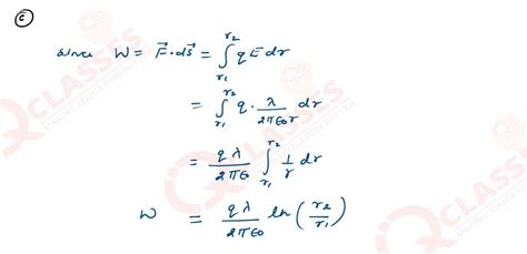
find the work done in bringing a charge q from perpendicular distance ...
brainly.in
Consider a circle S: (x+2)2+y2=1 and a parabola P: y2=4 x If pair of ...
tardigrade.in
A tunnel is dug along a chord of the earth at a perpendicular distance ...
brainly.in
Two mutually perpendicular infinitely long straight conductors carry in ...
tardigrade.in
The perpendicular distance from the point (-8,-5) to the X-axis is ...
brainly.in
Find the coordinates of the foot of the perpendicular and the ...
esaral.com
AD is a diameter of a circle and AB is a chord. If AD = 10 cm, AB = 6 ...
brainly.in
the perpendicular distance of the point from x axis and y axis are 3 ...
brainly.in
Parallel & Perpendicular Mirrors Image Formation | AESL
aakash.ac.in
A conducting loop of radius R is present in a uniform magnetic field B ...
allen.in
2.The perpendicular distance of the points A (0,3) and B (2,3) from y ...
brainly.in
Find the equation of the line which satisfy the given conditions ...
brainly.in
Characteristics of a Force (Principle of Transmissibility)
mech.poriyaan.in
find perpendicular distance of the point (-5,6) from x axis to y axis ...
brainly.in
Interplanar Distance in a Cubic Crystal
mech.poriyaan.in
if the perpendicular distance of a point p from the x axis is 5 unit ...
brainly.in
in th triangle shown, what is the perpendicular distance from the top ...
brainly.in
Class 12 CBSE Physics Board Questions Chapter Electric Charges and Fields
iqclasses.in
Vector or Cross Product of Vectors - Properties, Applications, Solved ...
eee.poriyaan.in
Find the coordinates of the foot of the perpendicular and the ...
esaral.com
The perpendicular distance of a corner of a unit cube form a diagonal ...
tardigrade.in
If the perpendicular distance of a point P from the x-axis is 7 units ...
brainly.in
Class 12 CBSE Physics Board Questions Chapter Electric Charges and Fields
iqclasses.in
Class 12 CBSE Physics Board Questions Chapter Electric Charges and Fields
iqclasses.in
1. The length of one of the diagonals of a field in the form of a ...
brainly.in
The perpendicular distance of a point P (-3, - 5) from X-axis is ...
brainly.in
From a point in the interior of an equilateral triangle the ...
brainly.in
If perpendicular distance of a point p from the x axis be 3 units along ...
brainly.in
Moment of a Force and Varignon’s Theorem - F Perpendicular distance ...
studocu.com
A wire bent in the shape of a regular n- polygonal loop carries a ...
tardigrade.in
Find the perpendicular distance from a point (4,1) from the line (3x-4y ...
brainly.in
Find the perpendicular distance of the point P (4,5) from the x-axis ...
brainly.in
A very long straight wire of radius r carries current I. Intensity of ...
tardigrade.in
Related Searches
Perpendicular to the Y-Axis
Perpendicular Bisector Line
Perpendicular Bisector Triangle
Perpendicular Distance Formula
Perpendicular Bisector Example
Line Perpendicular to a Plane
Perpendicular Slope Formula
Foot of the Perpendicular
Perpendicular Bisector Theorem
Perpendicular Line Segments
Perpendicular Equation
Perpendicular Vectors
Find Perpendicular Line
Perpendicular Lines Diagram
Perpendicular Measurement
Parallel Perpendicular Lines
Perpendicular Radius
Perpendicular Distance Lever
Perpendicular Lines Definition Geometry
Perpendicular From a Point On a Line
What Is Perpendicular Bisector
Perpendicular Diagonals
Perpendicular Lines Clip Art
Perpendicular Force
Perpendicular Distance Symbol
Construct Perpendicular Line through Point
Perpendicular Distance of House
Perpendicular Distance On a Drawing
Parallel Perpendicular and Intersecting Lines
Electric Field Is Perpendicular
Couple Perpendicular Distance
Perpendicular Right Triangles
How to Find Perpendicular Line Equation
Perpendicular Lines Square
Parallel and Perpendicular Lines Equations
Perpendicular to a Curve
Perpendicular to Object
Perpendicular Sides
Perpendicular Bisector Clip Art
Perpendicular Distance around a Circle
Perpendicular Distance in Moments Diagram
Finding Perpendicular Lines
Perpendicular Line Coordinates
Perpendicular Lines Examples
Perpendicular Distance From 3D Line
Intersecting Lines That Are Not Perpendicular
Measuring Perpendicular
Perpendicular Shapes
What Is a Perpendicular Line Segment
Perpendicular Planes
Search
×
Search
Loading...
No suggestions found