Find Your Style
Women
Men
Accessories
Search for clothing, brands, styles...
×
Women
Men
Accessories
Perpendicular Symbol Geometry
Search
Loading...
No suggestions found
Symbol of perpendicular is ______________ - Brainly.in
brainly.in
perpendicular bisector theorem in maths: Definition, Types and ...
aakash.ac.in
perpendicular bisector theorem in maths: Definition, Types and ...
aakash.ac.in
What is Perpendicular? Definition & Examples | Teaching Wiki
twinkl.co.in
perpendicular bisector theorem in maths: Definition, Types and ...
aakash.ac.in
The coordinate of the foot of perpendicular drawn from origin to the ...
tardigrade.in
draw two line segments which are perpendicular to each other - Brainly.in
brainly.in
செங்குத்துக்கோடுகள் வரைதல் - வடிவியல் | பருவம் 2 அலகு 4 | 6 ஆம் வகுப்பு ...
brainkart.in
முக்கோணத்தின் மையக்குத்துக்கோடுகள் - வடிவியல் | அலகு 5 | 8 ஆம் வகுப்பு ...
brainkart.in
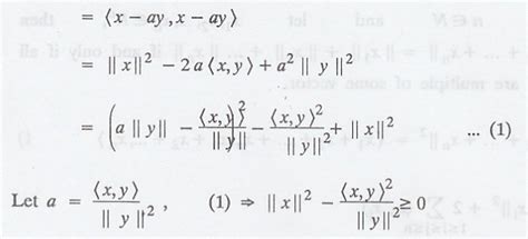
Vectors x and y in V are orthogonal(perpendicular)
ece.poriyaan.in
In the given figure, 'O prime' is the centre of the circle. PQ and RS ...
tardigrade.in
A line perpendicular to the line segment joining the points (1,0) and ...
tardigrade.in
Prove that the perpendicular at the point of contact to the tangent ...
ask.learncbse.in
draw two line segments which are perpendicular to each other - Brainly.in
brainly.in
செங்குத்துக்கோடுகள் வரைதல் - வடிவியல் | பருவம் 2 அலகு 4 | 6 ஆம் வகுப்பு ...
brainkart.in
Introduction to Geometry: Parallel and Perpendicular Lines
content.dodea.edu
Consider the following statements Statement I The vector equation of a ...
tardigrade.in
A point moves in the x y -plane such that the sum of its distance from ...
tardigrade.in
Vectors x and y in V are orthogonal(perpendicular)
ece.poriyaan.in
The coordinates of the foot of the perpendicular drawn from the origin ...
tardigrade.in
In any ∆ ABC, if the angle bisector of ∠A and perpendicular bisector of ...
ask.learncbse.in
The length of the perpendicular (in units) from the point (1,2 , 4) on ...
tardigrade.in
In an equilateral triangle PQR, PS is perpendicular to seg QR. Then PS² ...
brainly.in
Draw a line l and a point X on it. Through X, draw a line segment XY ...
ask.learncbse.in
Draw lines AB, CD, and EF so that line CD is perpendicular to both ...
brainly.in
In the figure, AB and CD are two diameters of a circle (with centre O ...
ask.learncbse.in
The ends of a rod of length l moves on two mutually perpendicular lines ...
tardigrade.in
Parallel & Perpendicular Mirrors Image Formation | AESL
aakash.ac.in
What Are Perpendicular Lines? | Twinkl teaching Wiki
twinkl.co.in
If the sum of the distances of a point from two perpendicular lines in ...
tardigrade.in
Consider the figure given below In the above figure, it is shown that ...
tardigrade.in
[Video] Let P be an interior point of a right-angled isosceles triangle ...
cracku.in
.n the given figure ,PS is perpendicular to QR,SP is perpendicular to ...
brainly.in
A perpendicular is drawn from the point P(2,4,-1) to the line (x+5/1 ...
tardigrade.in
Geometry-Lines and angles
hunarindia.org.in
In triangle ABC, the equation of the perpendicular bisector of AC is 3 ...
tardigrade.in
8. Observe the parallel and perpendicular lines in the given figure ...
brainly.in
Parallel And Perpendicular Lines Information Poster - Twinkl
twinkl.co.in
In the given figure PQ and RS are the perpendicular diameters of the ...
edurev.in
Solved: The line y+2x=b is perpendicular to a line that passes through ...
gauthmath.com
(ii) Line AB is perpendicular to CD. Coordinates of B, C and D are ...
brainly.in
[Video] In a trapezium ABCD, AB is parallel to DC, BC is perpendicular ...
cracku.in
முக்கோணத்தின் மையக்குத்துக்கோடுகள் - வடிவியல் | அலகு 5 | 8 ஆம் வகுப்பு ...
brainkart.in
முக்கோணத்தின் மையக்குத்துக்கோடுகள் - வடிவியல் | அலகு 5 | 8 ஆம் வகுப்பு ...
brainkart.in
In the given figure, PT is a tangent to the circle centered at O, OC is ...
iqclasses.in
Vectors x and y in V are orthogonal(perpendicular)
ece.poriyaan.in
Vectors x and y in V are orthogonal(perpendicular)
ece.poriyaan.in
Two identical bar magnets are held perpendicular to each other with a ...
tardigrade.in
The line 3 x+2 y=24 meets the y-axis at A the x-axis at B. The ...
tardigrade.in
IXL - Construct a perpendicular line (Class VIII maths practice)
in.ixl.com
Vectors x and y in V are orthogonal(perpendicular)
ece.poriyaan.in
Prove that the diameter of a circle perpendicular to one of the two ...
philoid.in
Draw a line L. Draw a perpendicular through any point P on it Take a ...
brainly.in
IXL - Construct a perpendicular line (Class VII maths practice)
in.ixl.com
In a right angled triangle, if the difference between the two acute ...
tardigrade.in
Geometric Shapes Images, Chart, and Maths Examples
adda247.com
A conductor AB of length L carrying a current I2, is placed ...
tardigrade.in
If the median of a Δ A B C through A is perpendicular to A C, then ...
tardigrade.in
முக்கோணத்தின் மையக்குத்துக்கோடுகள் - வடிவியல் | அலகு 5 | 8 ஆம் வகுப்பு ...
brainkart.in
Two plane mirrors m and n are placed perpendicular to each other, as ...
ask.learncbse.in
The vector sum of two forces is perpendicular to their vector ...
tardigrade.in
ஒரு கோட்டுத்துண்டின் செங்குத்து இரு சமவெட்டி வரைதல் - வடிவியல் | முதல் ...
brainkart.in
Two straight long conductors A O B and C O D are perpendicular to each ...
tardigrade.in
draw a line segment a b of length 5.8 CM. draw the perpendicular ...
brainly.in
Two mutually perpendicular infinitely long straight conductors carry in ...
tardigrade.in
Which of the following points lies on the locus of the foot of ...
tardigrade.in
A point moves in the x-y plane such that the sum of its distances from ...
tardigrade.in
two insulating infinitely long conductors carrying currents i1 and i2 ...
brainly.in
In fig., PA, QB and RC are each perpendicular to AC. If x = 8 cm and z ...
brainly.in
Theory - To illustrate that Perpendicular Bisectors of the Sides of a ...
edurev.in
In the given figure, AB and CD are diameters of a circle with centre I ...
brainly.in
Let PQ be the perpendicular to the line segment XY - CBSE Class 6 Maths ...
ask.learncbse.in
50+ Parallel and Perpendicular Lines worksheets on Quizizz | Free ...
quizizz.com
(a) In the given figure, CD is the perpendicular bisector of AB. EF ...
iqclasses.in
In the below figure, two equal circles, with centres O and O', touch ...
brainly.in
POQ is a line. Ray OR is perpendicular to line PQ. OS is another ray ...
ask.learncbse.in
The perpendicular bisectors of two chords of a circle intersect at its ...
bhushantech.in
[Video] A semi-circle is drawn with AB as its diameter. From C, a point ...
cracku.in
The length of the perpendicular from (1,0 , 2) on the line (x + 1/3)=(y ...
tardigrade.in
Find the locus of points where the value of magnetic field is zero for ...
tardigrade.in
50+ Parallel and Perpendicular Lines worksheets on Quizizz | Free ...
quizizz.com
(a) In the given figure, CD is the perpendicular bisector of AB. EF ...
iqclasses.in
A light ray falls perpendicular on one face of an equilateral prism ...
tardigrade.in
Figure shows two magnetic field lines of a long conductor. located ...
tardigrade.in
A. 5. The line joining points A(x, 3) and B(2, -3) is perpendicular to ...
brainly.in
IN AN EQUILATERAL TRIANGLE ABC AD PERPENDICULAR TO BC PROVE 3AB2 =4AD2 ...
brainly.in
Figure shows a conducting loop ABCDA placed in a uniform magnetic field ...
tardigrade.in
Find the parallel lines and perpendicular lines - Brainly.in
brainly.in
Two forces are such that the sum of their magnitudes is 18 N and their ...
tardigrade.in
A point moves in the x-y plane such that the sum of its distances from ...
tardigrade.in
In the figure, ABC is a right angled triangle and ∠BAC = 90° degree ...
brainly.in
3 In the given figure, CD is perpendicular bisector of AB and ZCAD ...
brainly.in
Two identical circular wires P and Q each of radius R and carrying ...
ask.learncbse.in
[Video] In a trapezium ABCD, AB is parallel to DC, BC is perpendicular ...
cracku.in
∆ ABC is right-angled at A (in Figure). AD is perpendicular to BC. If ...
ask.learncbse.in
From a uniform disc of radius R and mass M, a square plate is removed ...
tardigrade.in
Three identical thin rods, each of length L and mass m, are welded ...
tardigrade.in
흰색 배경에 고립 된 스리랑카 얀트라 벡터 신성한 기하학 기호 개념 | 프리미엄 벡터
kr.freepik.com
Draw a line L. Draw a perpendicular through any point P on it Take a ...
brainly.in
Let ABCD be a quadrilateral in which AB is parallel to CD,AB is ...
tardigrade.in
IXL - Construct the midpoint or perpendicular bisector of a segment ...
in.ixl.com
Draw a line l. Draw a perpendicular to l at any point on l. On this ...
brainly.in
In the given figure, PT is a tangent to the circle centered at O, OC is ...
iqclasses.in
If a particle of mass 3 kg at a point A is rotating about some axis in ...
tardigrade.in
Theorems on moment of inertia (MI) - Theorem of Parallel axes ...
mech.poriyaan.in
The coordinates of the foot of the perpendicular from the point (2, 3 ...
tardigrade.in
A point P moves in a plane Π: 2 x-3 y+6 z-4=0 such that area of ...
tardigrade.in
In figure, it is given that LM=MN,QM=MR,ML is perpendicular to PQ and ...
brainly.in
Perpendicular Axes Theorem (Area Moment of Inertia) - Statement, Proof ...
mech.poriyaan.in
The moment ofinertia ofa thin rod of length L and mass M about an axis ...
tardigrade.in
In the figure, AB and CD are two diameters of a circle (with centre O ...
ask.learncbse.in
A conducting rod of length 2ℓ is rotating with constant angular speed ω ...
tardigrade.in
Two current carrying wire of infinite length are placed perpendicular ...
tardigrade.in
Q2 A point P moves so that its perpendicular distance from two given ...
iqclasses.in
Mathematische Diagrammsymbole - Edraw
edrawsoft.com
Vectors x and y in V are orthogonal(perpendicular)
ece.poriyaan.in
Three identical spheres, each of mass M, are placed at the corners of a ...
tardigrade.in
The sum and difference of two vectors are perpendicular to each other ...
ask.learncbse.in
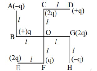
What will be the magnitude of electric field at point O as shown in ...
tardigrade.in
Two mutually perpendicular concentric current carrying coils have the ...
tardigrade.in
Related Searches
Symbol of Perpendicular
Perpendicular Lines in Geometry
Symbol for Perpendicular
Perpendicular Symbol Drawing
Not Perpendicular Symbol
Perpendicular Position
Congruent Symbol Geometry
Non Perpendicular Lines
Geometry Parallel and Perpendicular Lines
Perpendicular Lines Shapes
Perpendicular to the Floor
Perpendicular Diagram
Perpendicular Triangle
Perpendicular in Real Life
Ray Symbol Geometry
Draw Perpendicular Lines
Perpendic
Adjacent Sides Perpendicular
Perpendicularity Symbol
Perpendicular Lines in a Square
Perpendicular Lines Angles
Perpendicular Sign
Perpendicular Things
Perpendicular Objects
Geometry Angle Symbols
Do Perpendicular Lines Intersect
Perpendicular and Intersecting Lines
Perpendicular Horizontal
Intersecting Lines That Are Not Perpendicular
Perpendicular Lines Notation
Perpendicular Polygon
Bisector Symbol
How to Draw Perpendicular Lines
Symbol Perpedicular
Right Angle Symbol Geometry
Perpendi
Two Perpendicular Lines
Perpendicular Line Segments
Perpendicular Symbol Math
What Are Perpendicular Sides
Plane Symbol Geometry
Show Perpendicular Lines
Perpendicular to the Ground
Segment Symbol Geometry
What Is a Perpendicular Side
Perpendicular Symbol Word
Perpendicular Lines in Food
Real-World Perpendicular Lines
Perpendicular Examples
Perpendicular Art
Search
×
Search
Loading...
No suggestions found