Find Your Style
Women
Men
Accessories
Search for clothing, brands, styles...
×
Women
Men
Accessories
Perpendicular Wire Block
Search
Loading...
No suggestions found
Platinum Temperature Sensor: Perpendicular Wires - Innovative Sensor ...
mouser.in
Platinum Temperature Sensor: Perpendicular Wires - Innovative Sensor ...
mouser.in
Reliable Retractable Fall Arrest Blocks | KARAM
karam.in
Rustark 100Pcs 2P CH2 + 3P CH3 Quick Connector Spring Wire Connector ...
amazon.in
Closed Chuck, Floating Attachment Block Type, Chuck Direction ...
in.misumi-ec.com
Dinkle DP6N DIN Rail Terminal Blocks 600V, 40A Set,Wire Conductor ...
amazon.in
Wire Connector Block, Terminal Block 380V 20A Durable Good Electrical ...
amazon.in
Terminal blocks with spring-loaded connection for assembly purposes
weidmuller.in
in the fig ,wire A and B are long current carrying wires, arranged ...
brainly.in
RNS Automation Solutions, Ghaziabad - Trader - Retailer of Phoenix ...
rnsas.in
Karam PCGS10 Retractable Wire Rope Block Plastic Casing with Galvanised ...
amazon.in
Two parallel conducting rails are separated by a distance L. Two ...
allen.in
Buy Koverflame Lever Wire Nut Connectors, Quick Wiring Cable Connector ...
ubuy.co.in
Buy DIN Terminal Blocks, Aigreat,Universal Wiring Connector Lever ...
ubuy.co.in
Two identical blocks are placed on a smooth horizontal surface ...
tardigrade.in
Reliable Retractable Fall Arrest Blocks | KARAM
karam.in
Buy DIN Terminal Blocks, Aigreat,Universal Wiring Connector Lever ...
ubuy.co.in
Rpi Shop - 2 Way Terminal Strip Screw Barrier Block, 2 Position Dual ...
amazon.in
Two identical blocks are placed on a smooth horizontal surface ...
tardigrade.in
Buy DIN Rail Terminal Blocks Kit Transparent Aluminum Guide Rail ...
ubuy.co.in
Strut Clamps - Square & Round, Perpendicular Configuration | MISUMI ...
in.misumi-ec.com
Two mutually perpendicular long non-conducting wires (along X and Yaxis ...
brainly.in
A square metal wire loop of side 10 cm and resistance 1 Ω is moved with ...
brainly.in
A rectangular metallic loop of length l and width b is placed ...
allen.in
A current carrying wire (current = i) perpendicular to the plane of the ...
allen.in
A cylinder of base diameter 40 mm and height 60 mm rests on its base on ...
brainly.in
Two long parallel wires W, and W2 are placed at a distance 2d apart and ...
brainly.in
Figure shows a long U-shaped wire of length I placed in a perpendicular ...
esaral.com
A wire is sliding on two parallel conducting rails placed at a ...
tardigrade.in
Two identical circular wires P and Q each of radius R and carrying ...
ask.learncbse.in
A square metallic wire loop of side `"0.1 m"` and resistance of `1Omega ...
allen.in
Two current carrying wire of infinite length are placed perpendicular ...
tardigrade.in
Force on a current-carrying conductor — lesson. Science State Board ...
yaclass.in
Electricity what is the field due to semi infinite wire.....
scoop.eduncle.com
Figure shows a long U-shaped wire of length I placed in a perpendicular ...
esaral.com
An arrangement of three parallel straight wires placed perpendicular to ...
tardigrade.in
Two long straight parallel wires are 2 m apart, perpendicular to the ...
tardigrade.in
A wire lying perpendicular to an external magnetic field carries a ...
brainly.in
36 P and Q represent two straight wires carrying equal current (I) in a ...
brainly.in
Does potential difference split when 2 wires are perpendicular ...
brainly.in
Buy DIN Rail Terminal Blocks Kit Transparent Aluminum Guide Rail ...
ubuy.co.in
A straight wire with a resistance of `r` per unit length is bent to ...
allen.in
Automotive Chassis Control Technology | Encyclopedia MDPI
encyclopedia.pub
Buy GKEEMARS Aluminum Guide Rail Terminal Blocks, Universal Wiring ...
ubuy.co.in
An infinitely long, straight conductor `AB` is fixed and a current is ...
allen.in
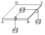
Three blocks are arranged on a horizontal table ABCD as shown in the ...
tardigrade.in
A wire 'ln' bent as shown in the figure is placed in a uniform ...
brainly.in
Conducting square loop of side `L` and resistance `R` moves in its ...
allen.in
A semicircular wire of radius R is rotated with constant angular ...
tardigrade.in
A very long wire carrying a current 4 √2 A is bent at a right angles ...
tardigrade.in
Buy uxcell Dual Rows 3 Positions 600V 100A Wire Barrier Block Terminal ...
desertcart.in
D-F7PWL SMC | SMC PNP Solid State Auto Switch Auto Switch, Auto ...
in.rsdelivers.com
The current carrying wire and the rod AB are in the same plane. The rod ...
brainly.in
Two long parallel wires P and Q are held perpendicular to the plane ...
edurev.in
Two long parallel wires of zero resistance are connected to each other ...
tardigrade.in
How to Fix a Light Switch in 9 Steps | Angi
angi.com
Two long parallel wires of zero resistance are connected to each other ...
tardigrade.in
An arrangement of three parallel straight wires placed perpendicular to ...
tardigrade.in
6 Sets Terminal Blocks, 8/10/12 Positions 600V 15A Dual Row Wire Screw ...
amazon.in
Opening Chuck Block Type with Floating Chuck Direction Perpendicular ...
in.misumi-ec.com
Buy DIN Rail Terminal Blocks Kit Transparent Aluminum Guide Rail ...
ubuy.co.in
Find the Perfect Chain Pulley Block for Your Needs
chainpulleyblock.in
Dinkle Solar Combiner DK6N 10 Gang Box Connector DIN Rail Terminal ...
amazon.in
Burndy BIT4 Unitap Clear Insulated Multiple Tap Connector, 14 - #4 AWG ...
amazon.in
A square metal loop of side 10 cm and resistance 1Ω is moved with a ...
tardigrade.in
Two long parallel wires carry equal current i flowing in the same ...
tardigrade.in
Buy MILAPEAK Terminal Block and Strip - 6 Sets 81012 Positions 600V 25A ...
ubuy.co.in
A conducting wire is moving towards right in a magnetic field `B`. The ...
allen.in
30A Bakelite Open Connector 5 Way Screw Terminal Block Terminal ...
amazon.in
Two long parallel wires P and Q are both perpendicular to the plane of ...
tardigrade.in
Write down the force between two long parallel current carrying wires ...
brainly.in
A conducting wire of mass m slides down two smooth conducting bars, set ...
tardigrade.in
The moment of inertia of a semi circular wire of mass m abou t a line ...
brainly.in
Each of the three blocks P, Q and R shown in figure has a mass of 3 kg ...
allen.in
Troubleshooting a Variable Frequency Drive in 7 ways - Emotron
emotron.in
Find the speed of the intersection point O of the two wires if the ...
brainly.in
Buy DIN Terminal Blocks, Aigreat,Universal Wiring Connector Lever ...
ubuy.co.in
In the figure there are two identical conducting rods each of length `a ...
allen.in
Buy DIN Terminal Blocks, Aigreat,Universal Wiring Connector Lever ...
ubuy.co.in
Cargo Work
thenauticalsite.in
Buy DIN Rail Terminal Blocks Kit Transparent Aluminum Guide Rail ...
ubuy.co.in
A long straight wire carries a certain current and produces a magnetic ...
tardigrade.in
In the figure shown a current I1 is established in the long straight ...
tardigrade.in
A conducting wire ab of length l , resistance r and mass m starts ...
tardigrade.in
Baskety 10Pcs 2P Ch2 Quick Connector Cable Clamp Terminal Block Spring ...
amazon.in
Find the speed of the intersection point O of the two wires if the ...
brainly.in
Consider the system shown below. If the charge is slightly displaced ...
allen.in
The current carrying wire and the rod AB are in the same plane. The rod ...
brainly.in
A rigid wire consists of a semicircular portion of radius R and two ...
allen.in
Buy DIN Rail Terminal Blocks Kit Transparent Aluminum Guide Rail ...
ubuy.co.in
Buy Sadaaga Electrical Connector Blocks, Terminal Block Strip ...
desertcart.in
Why Cover Blocks are Used | Cover Blocks for Reinforcement
constructioncivilengineering.com
The moment of inertia of a uniform semicircular wire of mass M and ...
tardigrade.in
Find the electric field at point P (as shown in figure) on the ...
tardigrade.in
Figure shows a uniform solid block of mass M and edge lengths a, b and ...
tardigrade.in
Two identical long conducting wires POQ and ROS are placed at right ...
tardigrade.in
CBSE Sample Paper: Science 2024-25 | Axisa Academy
axisa.in
Buy DIN Rail Terminal Blocks Kit Transparent Aluminum Guide Rail ...
ubuy.co.in
Buy DIN Terminal Blocks, Aigreat,Universal Wiring Connector Lever ...
ubuy.co.in
Probots ProMax PTB-1504 Terminal Strip Barrier Block with Transparent ...
probots.co.in
Wire Rope Pulley Blocks buy in Mumbai
in.all.biz
The two blocks in the figure(Figure 1) are sliding down the incline ...
ask.learncbse.in
Buy 5 Pack Lifting Double Pulley Block, Hanging Wire Pulley Roller, 304 ...
desertcart.in
Column I gives certain situations in which a straight metallic wire of ...
tardigrade.in
The electric field intensity due to a infinite wire having linear ...
brainly.in
Buy Bonsicoky 2Pcs Ground Bus Bar Terminal Block, 5 Terminal Positions ...
desertcart.in
In the situation shown a block of mass 2 kg is constrained to move ...
brainly.in
In the figure shown, the minimum force F applied perpendicular to the ...
tardigrade.in
Buy tatoko 10PCS Mini Fast Wire Connector Universal Wiring Cable ...
desertcart.in
PCT-215 0.08-2.5mm 5 Pole Wire Connector Terminal Block with Spring ...
theindustrymart.com
Figure shows a closed loop of wire that consists of a pair of equal ...
tardigrade.in
CUL100/0.40 Block | Block Single Core 0.4mm diameter Copper Wire, 69m ...
in.rsdelivers.com
Consider a straight piece of length x of a wire carrying a current i ...
philoid.in
Buy DIN Terminal Blocks, Aigreat,Universal Wiring Connector Lever ...
ubuy.co.in
8. The tops of two poles of heights 20 m and 28 m are connected with a ...
brainly.in
2 Way Quick Push Type Lock Electric Wire Connectors & 2 way Terminal ...
amazon.in
Buy Master Cylinder Suzuki - 10pcs Pct 214 Compact Wire Wiring ...
desertcart.in
A conducting wire bent but in the shape of semicircle has length L and ...
tardigrade.in
A loop of flexible conducting wire lies in a magnetic field of 2.0 T ...
tardigrade.in
Wire Conductor Connector, Splice Type Universal Wire Block Terminal ...
amazon.in
Related Searches
Wire Block
Wire Connector Block
Electrical Wire Block
Wire Block Wheel
3 Wire Block
Perpendicular Wire Guider
Wire Terminal Block Connectors
Perpendicular Wire Mesh
Wire Block Spundger
Teminal Block Wire
Wire Lob Block
Wire Bond Block
Wire Perpendicular to the Page
Wire Perpendicular to Magnet
Wire Term Block
Wire Alignment Block
13 Wire Block Green
Block Mini Metal Wire
Wire Block Wheel 50Mm
Wire in Phoenix Block
Perpendicular V Block
Wire Troller Block
Perpendicular Wires On the Pole
Two Blocks Perpendicular
Wired Block
Wire Perpendicular to Magnetic Field
Wire Terminal Block Plug
Wooden Block Perpendicular Parallel
Rectangle Perpendicular to Wire On Electrical Schematics
1. Int O Wire Block
Perpendicular Block for Press Machine
Force Between Two Perpendicular Wires
Perpendicular Wire Induced Voltage
Plumber Block for Perpendicular Load
Plugs That Are Perpendicular Wires
Marine Wire Junction Block
Perpendicular Wires EMC
Wiring Block
Wire Perpendicular to Horseshoe Magnet
Perpendicular Blocks for Machining
How to Connect Two Perpendicular Pieces with Wire
Typical 5 Pole Wire Terminal Block
Perpendicular Wall
Wire Used in Blocks
Electric Field Perpendicular to a Wire
Wire Drawing of 2 Parts Perpendicular
12-Inch Ladder Wire for Center Block
What Is Perpendicular with Blocks
What Shapes Are Perpendicular
Formula for Magnetic Field Perpendicular to a Wire
Search
×
Search
Loading...
No suggestions found