Find Your Style
Women
Men
Accessories
Search for clothing, brands, styles...
×
Women
Men
Accessories
Pfc Calculation
Search
Loading...
No suggestions found
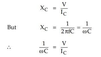
Power Factor Correction Calculation - Distribution Systems
eee.poriyaan.in
Power Factor Correction Calculation - Distribution Systems
eee.poriyaan.in
Power Factor Correction Calculation - Distribution Systems
eee.poriyaan.in
Power Factor Correction Calculation - Distribution Systems
eee.poriyaan.in
Power Factor Correction Calculation - Distribution Systems
eee.poriyaan.in
Bridgeless PFC Converter without Electrolytic Capacitor Based on Power ...
mdpi.com
Observation and Recording:
home.iitk.ac.in
3-Phase AC 400 V Input PFC Converter Reference Design | Toshiba ...
toshiba.semicon-storage.com
Power Factor Correction Calculation - Distribution Systems
eee.poriyaan.in
Bridgeless PFC Converter without Electrolytic Capacitor Based on Power ...
mdpi.com
IRR - Definitions, Uses, Formulas with Examples
financiallearning.co.in
Half Wave Rectifier Formulas with Derivation - Mango Engineer
mangoengineer.in
Power Finance Corporation
pfcindia.com
PFC Q4 Resultater, PAT spréngt 20% JoY op Rs 5,624 cr
psuconnect.in
Power Factor Correction Application Based on Independent Double-Boost ...
mdpi.com
3-Phase AC 400 V Input PFC Converter Reference Design | Toshiba ...
toshiba.semicon-storage.com
Power Factor: What it is and How to Calculate it | Fluke
fluke.com
Internal Rate of Return - Meaning, Formula and Usage
cleartax.in
Water Content Determination by Karl Fischer
qcqa.industrialguide.co.in
Power Tips #98: Designing a DCM flyback converter - EDN Asia
ednasia.com
Relative Response Factor (RRF) and its Calculation in HPLC Analysis
qcqa.industrialguide.co.in
Experimental and Numerical Analysis of the Effect of Rheological Models ...
mdpi.com
Atomic Packing Factor (APF) - Definition, Formula, Calculation ...
mech.poriyaan.in
Settlements and Subgrade Reactions of Surface Raft Foundations ...
mdpi.com
Calculation of Tender or Quotation - Overheads, Cost Accounting - Cost ...
edurev.in
Impact of SC Judgement Dated 04.11.2022 on Higher Pension With Illustration
taxguru.in
Zakat Explained With Simple Calculations | Zakat Vs Income Tax - Learn ...
learnaboutislam.in
Liquipastin - Fill and Sign Printable Template Online
uslegalforms.com
Atomic Packing Factor (APF) - Definition, Formula, Calculation ...
mech.poriyaan.in
Center of Stiffness, Principal Axes and Principal Start Point of Thin ...
mdpi.com
Please help with in-hand salary calculation Deloitte India Deloitte ...
glassdoor.co.in
Permissible Voltage Drop - energypedia
energypedia.info
தமிழக அரசின் திருத்தப்பட்ட புதிய மின் கட்டணம் எவ்வளவு? - முழு விவரம் ...
hindutamil.in
How to Calculate the RPM of a Motor - Home Teachers India
hometeachers.in
Circular Water Tank | Construction Video Tutorial | Reinforcement For ...
civildailyinfo.com
Power Difference between two independent sample proportions: Help
drsm.in
Calculate the quality factor of a series - CBSE Class 12 Physics ...
ask.learncbse.in
Automatic Power Factor Correction Panel Manufacturer from Coimbatore
stechpower.in
calculate the depth of neutral axis of a beam of size 450*300 mm. Use M ...
brainly.in
How to Calculate the RPM of a Motor - Home Teachers India
hometeachers.in
3 Steps to Calculate Required Reactive Power for PF correction ...
theelectricalguy.in
How to Calculate GST in Excel Sheets?
cleartax.in
How to Calculate the RPM of a Motor - Home Teachers India
hometeachers.in
How is Workmen’s Compensation Insurance Policy Claim Settlement Amount ...
qian.co.in
Decomposition Analysis for Impact of Backward Integration on Input Use ...
ndpublisher.in
Electrical Cable Size Calculator and BS7671 Wire Sizing Chart
insulatedcables.co.in
GHS MUTTOM BLOG.IN
ghsmuttomblog.in
Futures & Options Turnover calculation (with examples)
taxguru.in
World War II veteran recalls fighting in Battle of the Bulge | Article ...
army.mil
Electrical Power Explained – Part 3: Balanced three-phase AC power | Fluke
fluke.com.au
Different Types of Customs Duty in India - Complete List
dripcapital.com
Self-Enhancement and the Medial Prefrontal Cortex: The Convergence of ...
mdpi.com
Tutorial for beginners and advanced Cost Estimating professional
constructioncivilengineering.com
Unicorn, An Apple Premium Reseller (APR), Is Set To Open Their Newest ...
whatshot.in
How to calculate Solar Panel, Battery and Inverter?
loomsolar.com
Electrical Cable Size Calculator and BS7671 Wire Sizing Chart
insulatedcables.co.in
Power Minister interacts with teams from PFC, Rajasthan & Kerala
psuconnect.in
How to Calculate GST in Excel Sheets?
cleartax.in
Post office ppf calculator interest rate maturity retirement corpus ...
keviang.com
Critical Constants ( Critical temperature "Tc" , Critical pressure "Pc ...
chemca.in
How to Calculate GST in Excel Sheets?
cleartax.in
Machinery Loan EMI Calculator - Calculate your Monthly EMI
lendingkart.com
Post office ppf calculator interest rate maturity retirement corpus ...
keviang.com
Insulin To Carb Ratio Worksheet - Fill Online, Printable, Fillable ...
pdffiller.com
PFC Signs MoU with MMRDA for Infrastructure Projects
psuconnect.in
Income Tax Calculation Excel Softwares - IT Calculation Software 2024 ...
apteachers.in
Ultrasonic immersion System
ipr.res.in
Buy Letter R SVG PNG JPG Digital Download Online in India - Etsy
etsy.com
REC LIMITED
recindia.nic.in
Runway Length Corrections as per ICAO Regulation
apsed.in
Screw Conveyor Calculator for Conveying Equipment Fabrication
letsfab.in
Computer Networks: hamming code error detection and correction
gateoverflow.in
How to Calculate GST in Excel Sheets?
cleartax.in
How to Calculate GST in Excel Sheets?
cleartax.in
www.khannapublishers.in - Offset Conduit Bender, 価格比較
khannapublishers.in
Buy Power BI DAX Simplified: DAX and calculation language of Power BI ...
desertcart.in
PFC News: PFC Consulting incorporates Three SPV Project As Wholly-Owned ...
psuconnect.in
Lux Lisbon Nude Latest Content Upload For 2025 #680
superadmin.kalaignarcentenarylibrary.tn.gov.in
Income Tax Slabs In India: Salary-Wise Details Of New Tax Regime, Old ...
timesnownews.com
PFC with Power Ministry, BEE organised energy conservation painting ...
psuconnect.in
Blogs
iasgyan.in
Chapter 3 - Variable Stresses In Machine Parts - Machine Design ...
edurev.in
Buy Master the Techniques of IOL Power Calculation Book Online at Low ...
amazon.in
PFC Q1-22 Results: Standalone PAT increased 34 percent, net worth is up ...
psuconnect.in
Sandeep Kumar takes over as Director (Finance) of PFC
psuconnect.in
PFC signs MoU with MAHAPREIT
psuconnect.in
What is the Fitment Factor? - 8th Pay Commission: How much hike to ...
economictimes.indiatimes.com
Spectral Simulation and Error Analysis of Dusty Leaves by Fusing the ...
mdpi.com
Sheet Bending Calculator for Sheet Metal Fabrication
letsfab.in
Spreader Beams Lifting Beams: Definitions, Differences, And, 60% OFF
iiitl.ac.in
How to Choose Between a 12V and 24V Solar Panel?
loomsolar.com
PFC gets NoC to set up finance Company in IFSC GIFT City Gujarat
psuconnect.in
What is FAR in hindi | Calculating FAR | How to calculate FAR | FAR ...
constructionhub.co.in
Insugen R Refil 100 IU Cartridge 5 * 3 ML | Order Insugen R Refil 100 ...
truemeds.in
PFC Celebrating 35th Foundation Day
psuconnect.in
Latest Technology in India - Water Treatment Technology | Blogs
netsolwater.com
Home | Medal of Honor | The United States Army
army.mil
14 Best Bitcoin & Crypto Casinos in India 2025 | CoinCodex
coincodex.com
Income Tax 2023-24 FY [2024-25 AY] New IT Slab Rates Online Income Tax ...
apteachers.in
Inspector Chalisa | Mathematics | Calculation Book | English | Mohit ...
flipkart.com
PFC Director (Projects) met JNPA Chairman Shri Unmesh Sharad Wagh Shri ...
psuconnect.in
The Viral Maths | Brahmastra For Maths Calculation (English Printed ...
flipkart.com
Staircase Quantity Takeoff | Calculating Concrete Volume for Stairs
constructioncivilengineering.com
Virtual Lab-Dayalbagh Educational Institute
msvs-dei.vlabs.ac.in
Inspector Chalisa Mathematics Calculation Book - inspector chalisa: Buy ...
flipkart.com
Power Finance Corporation Limited News: PFC participated in India Today ...
psuconnect.in
Register - PRAAPTI App
praapti.in
PFC organised workshop MePDCL
psuconnect.in
全高清电视的电源发展趋势探析-电子工程专辑
eet-china.com
Cyber Awareness Day at PFC
psuconnect.in
PSU News, Latest PSU News, Bank News , Psu Jobs - PSU Connect
psuconnect.in
Tutorial for beginners and advanced Cost Estimating professional
constructioncivilengineering.com
PFC signs MoU with King George's Medical University
psuconnect.in
Parminder Chopra assumes charge as CMD of PFC
psuconnect.in
PFC Consulting Transfers Solapur Transmission SPV to Torrent Power
psuconnect.in
2008 Form NEC Standard Electrical Load Calculation for Single Family ...
pdffiller.com
STEEL DESIGN | CEPT - Portfolio
portfolio.cept.ac.in
Design of RCC Dog Legged Staircase | Download Staircase Design Spreadsheet
constructioncivilengineering.com
How To Calculate Water Quantity In Tank | Water Tank Calculation Formula
constructioncivilengineering.com
Menu at PFC ( Priyanshi Fast Food Corner ), Pithoragarh
restaurant-guru.in
Related Searches
INR Ratio
INR Equation
INR Table
INR Test
PT/INR Formula
INR Calculation Formula
INR Testing Machine
INR Scale
PT/INR Report
Blood INR Chart
INR Clotting
INR Meaning
INR Levels
Prothrombin Time and INR Chart
INR Medical
Coumadin Nomogram
Calculate INR
INR Adjustment Chart
INR Range
INR Levels Normal Range
INR Calculation Calculator
How to Calculate INR
Coumadin Dose Chart
INR Tube
PT vs INR
Isi INR
PT/INR Results Chart
Ideal INR
PT to INR Conversion
INR Calculation Example
What Is INR
PT/INR Sheets
INR Lab Value
INR Values
INR Warfarin Dosing
PT/INR Format
INR Calculation Worksheet
Reporting INR
INR Calc
INR Tool
Coagulation INR Calculation
Warfarin Inr Goals
International Normalized Ratio INR
How Is INR Calculated
INR Measurement
INR Factors
INR High vs Low
INR Survey
Subtherapeutic INR
INR Units
Search
×
Search
Loading...
No suggestions found