Find Your Style
Women
Men
Accessories
Search for clothing, brands, styles...
×
Women
Men
Accessories
Phthalimide
Search
Loading...
No suggestions found
Phthalimide 85-41-6 | Tokyo Chemical Industry (India) Pvt. Ltd.
tcichemicals.com
Why gabriel phthalimide reaction is preferred for primary amine ...
brainly.in
Buy Phthalimide Compound at Best Price, Molecular Weight: 47.14g
pcchem.net.in
Account for the following: Gabriel phthalimide synthesis is preferred ...
philoid.in
Phthalimide Exporter, Manufacturer & Supplier
jaiswaminarayanmultichem.in
N-2-hydroxyethyl Phthalimide - Application: Industrial at Best Price in ...
tradeindia.com
Why gabriel phthalimide reaction is preferred for primary amine ...
brainly.in
The product formed when phthalimide is treated with a mixture of Br2 ...
tardigrade.in
Linagliptin Phthalimide Impurity | CAS No- 886588-63-2 | Simson Pharma ...
simsonpharma.com
N-(R)-Glycidyl Phthalimide | CAS No- 181140-34-1 | Simson Pharma Limited
simsonpharma.com
Phthalimide 98% - ChemicalBook India
chemicalbook.in
[Expert Answer] how can you prepare ethyl amine by Gabriel phthalimide ...
brainly.in
Which of the following amines can be prepared by Gabriel phthalimide ...
tardigrade.in
Why gabriel phthalimide reaction is preferred for primary amine ...
brainly.in
Gabriel Phthalimide Synthesis Mechanism Video Lecture - Organic ...
edurev.in
Gabriel’s phthalimide synthesis can be used to prepare
tardigrade.in
Write a short nots on Gabriel phthalimide synthesis. - Brainly.in
brainly.in
The product formed when phthalimide is treated with a mixture of Br2 ...
tardigrade.in
Phthalimide 85-41-6 | Tokyo Chemical Industry (India) Pvt. Ltd.
tcichemicals.com
Phthalimide synthesis - Brainly.in
brainly.in
Amine that cannot be prepared by Gabriel- phthalimide synthesis is
tardigrade.in
Amine that cannot be prepared by Gabriel phthalimide synthesis is
tardigrade.in
Phthalimide CAS 85-41-6 | 807303
merckmillipore.com
Netarsudil Quinolinyl Phthalimide Impurity | CAS No- NA | NA
chemicea.com
What cannot primary amines be prepared by gabriel phthalimide synthesis ...
brainly.in
Rivaroxaban Amino Acid Phthalimide Nitroso Impurity | CAS No- NA ...
simsonpharma.com
INR Full Form: What is full form of INR?
bankersadda.com
Potassium Phthalimide - Application: Industrial - Application ...
tradeindia.com
Which of the following amines cannot be prepared by Gabriel Phthalimide ...
brainly.in
Linezolid Desacetamide Descarbonyl Phthalimide Desfluoro (R)-Isomer
kmpharma.in
Linezolid Desacetamide Phthalimide (R)-Isomer
kmpharma.in
N-Nitroso Linezolid Desacetamide Descarbonyl Phthalimide (S)-Isomer ...
chemicea.com
Which of the following amines can be prepared by gabriel phthalimide ...
brainly.in
Brazil Phthalimide Powder Quality Assurance Practices
linkedin.com
MCL signs INR 7.02 crore MoU for AAROGYA initiative
psuconnect.in
Philips Remote Inr Order Form - Fill Online, Printable, Fillable, Blank ...
pdffiller.com
Masala Oats+ | Tata Soulfull | INR 209/- only
soulfull.co.in
Ugro Capital Crosses Inr 10000 crore aum milestone launches 10k ...
psuconnect.in
Phthalimide | CAS No- 85-41-6 | Simson Pharma Limited
simsonpharma.com
168828-89-5 Deacetamide Linezolid Phthalimide 98% - ChemicalBook India
chemicalbook.in
Goldstone Tech acquires 'WowTruck' at INR 8 cr
psuconnect.in
Why gabriel phthalimide reaction is preferred for primary amine ...
brainly.in
Linezolid Desacetamide Phthalimide (S)-Isomer | CAS No- 168828-89-5 ...
simsonpharma.com
Gabriel Phthalamide Reaction | Chemistry for JEE
edurev.in
Indian Institute of Science
iisc.ac.in
Which of the following reaction is involved in the preparation of ...
tardigrade.in
Important Questions of Amines Chemistry | Zigya
zigya.com
N-(4-Bromobutyl)phthalimide 5394-18-3 | Tokyo Chemical Industry (India ...
tcichemicals.com
N - Ethyl pthalimide on hydrolysis gives: a.methyl alcohol b.ethyl ...
brainly.in
N-(2-Hydroxyethyl)phthalimide 3891-07-4 | Tokyo Chemical Industry ...
tcichemicals.com
N-(2-Hydroxyethyl)phthalimide | CAS No- 3891-07-4 | Simson Pharma Limited
simsonpharma.com
Jai Swaminarayan Multichem - chemicals intermediates manufacturing company
jaiswaminarayanmultichem.in
N-(Trifluoromethylthio)phthalimide 719-98-2 | Tokyo Chemical Industry ...
tcichemicals.com
Allyl isothiocyanate, 95 57-06-7
sigmaaldrich.com
Which among the following can not be prepared by Gabriel-Phthalimide ...
tardigrade.in
N,N'-Thio-bis(phthalimide) | CAS No- 7764-29-6 | Simson Pharma Limited
simsonpharma.com
tert-Butoxycarbonylation (Boc) Reagents [Protecting Reagents] | Tokyo ...
tcichemicals.com
Recent Advances in Microflow Photochemistry
mdpi.com
Warfarin and Antibiotics: Drug Interactions and Clinical Considerations
mdpi.com
Preparation of Amines: Reduction of - Nitro, Nitriles, Isocyanides ...
aakash.ac.in
Reduction of Isocyanides, Imines, Imides: Mendius Reduction, Gabriel ...
aakash.ac.in
Coagulation Analyzer - Micropoint Q3 Pro Electrometer PT-INR Wholesaler ...
r2healthcare.in
1 million dong in indian rupees - Brainly.in
brainly.in
Jai Swaminarayan Multichem Blog
jaiswaminarayanmultichem.in
Anticoagulation in Acute Pulmonary Embolism: Which Drug? How Long ...
universimed.com
Write the chemical equations involved in the following reactions : (i ...
brainly.in
Pharma Formulations,Lab Chemicals,Surgical Instruments Manufacturers ...
shubhmets.in
N-methylphthalimide (550-44-7) - Application: Industrial at Best Price ...
tradeindia.com
India and Malaysia can now trade in Indian rupee
currentaffairs.adda247.com
Palladium Catalysts | Tokyo Chemical Industry (India) Pvt. Ltd.
tcichemicals.com
India shining: Rupee inches closer to becoming international currency ...
timesnownews.com
Assertion: Aromatic primary amines can be prepared by Gabriel ...
tardigrade.in
Drosophila as a Model Organism to Study Basic Mechanisms of Longevity
mdpi.com
Publications | Biju Group
atbiju.in
Study on In Vitro Metabolism and In Vivo Pharmacokinetics of Beauvericin
mdpi.com
Indian Institute of Science
iisc.ac.in
Amongst the given set of reactants, the most appropriate for preparing ...
tardigrade.in
Company Overview: Omgene
omgene.com
International Trade Settlement in Indian Rupee (INR)
taxguru.in
Preparation of Amines: Reduction of - Nitro, Nitriles, Isocyanides ...
aakash.ac.in
USD/INR Cracks Big: Falls 2% in 4 Days! | Investing.com India
in.investing.com
Preparation of Amines: Reduction of - Nitro, Nitriles, Isocyanides ...
aakash.ac.in
Publications | Biju Group
atbiju.in
8 Obat Stroke yang Efektif dan Tersedia di Apotik - Alodokter
alodokter.com
Uses and SideEffects of Warfarin: What You Need to Know
medicoverhospitals.in
International Trade Settlement in Indian Rupee (INR)
taxguru.in
Company Overview: Omgene
omgene.com
Warfarin Sodium
kmpharma.in
Company Overview: Omgene
omgene.com
How Indian Rupee Stands Against Other Major Currencies
indiatimes.com
Company Overview: Omgene
omgene.com
Buy Absolute Anticoagulant Journal: A Comprehensive logbook for ...
desertcart.in
N-(5-Hexynyl)phthalimide = 95 6097-08-1
sigmaaldrich.com
Company Overview: Omgene
omgene.com
Company Overview: Omgene
omgene.com
Palladium Catalysts | Tokyo Chemical Industry (India) Pvt. Ltd.
tcichemicals.com
Next tranche of Bharat Bond ETF opens tomorrow: 10 things on NFO | Mint
livemint.com
Rupee Depreciation: Will India's Exports Stand To Gain? | Investing.com ...
in.investing.com
Did You Know About India's Rs 10,000 Rupee Note
indiatimes.com
Phthalimide, TRC 500 g | Buy Online | Toronto Research Chemicals ...
fishersci.fr
Medicinal Chemistry - III - MEDICINAL CHEMISTRY – III ANTICOAGULANTS ...
studocu.com
Chemistry: Amines | class 12 | Lecture 3 #chemistry #Gabriel ...
youtube.com
Fake notes worth over Rs 14 lakh in Rs 500 denominations seized in Odisha
odishatv.in
Discover The Best Brands & Recommendations For Basics | LBB
lbb.in
USD/INR Breaking Imp. Trendline; Is Nifty 50 Topping Out? | Investing ...
in.investing.com
USD/INR at Record High! Why RBI is Failing to Curb the Rupee’s Fall ...
in.investing.com
Amlodipine 2-Phthalimide | CAS No- 140171-49-9 | Simson Pharma Limited
simsonpharma.com
USD/INR forecast: Indian bond yields plunge ahead of RBI decision By Invezz
in.investing.com
Warfarin Dose Adjustment Chart - Fill Online, Printable, Fillable ...
pdffiller.com
Indonesian Rupiah - Buy IDR Currency Online in India
makemytrip.com
Sri Lanka and Russia in talks to use the rupee in foreign trade
currentaffairs.adda247.com
How Indian Rupee Stands Against Other Major Currencies
indiatimes.com
Publications | Biju Group
atbiju.in
Fed’s 75 bps Hike: Rupee Falls to Record Low, Sets Eye for ‘82 ...
in.investing.com
Did You Know About India's Rs 10,000 Rupee Note
indiatimes.com
Buy INR's Farm Fresh Premium Pellets Food for Rabbits | 1 KG Advanced ...
amazon.in
International Trade Settlement in Indian Rupee (INR)
taxguru.in
Faculty
svc.ac.in
RBI’s short USD/INR forward book remains stable- analysis By Investing.com
in.investing.com
Diagnosis Atrial Fibrilasi - Alomedika
alomedika.com
Related Searches
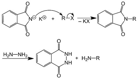
Phthalimide Reaction
Gabriel Phthalimide Synthesis
Phthalimide Structure
Phthalimide De Protection
Sodium Phthalimide
Phthalic Acid
Preparation of Phthalimide
Phthalimide Ring Opening
N 3 Bromopropyl Phthalimide
Phthalimide Hydrolysis
Gabriel Phthalimide Synthesis Mechanism
N Bromomethyl Phthalimide
Phthalimide NMR
Phthalimide pKa
Phthalimide Intermediate
N-Ethylbenzamide
Methyl Phthalimide
Methyl Anthranilate
Phthalimide Anion
Phthalimide Hydrazine
Gabriel Phthalimide Synthesis Class 12
Phthalimide Density
Phthalimide Pesticides
Phthalimide in Apple's
Phthalimidoyl
Phthalimide Monomer
Phthalimide Children
Phthalimide Deprotonation
Morpholino Amine Phthalimide
Anthranilic Acid
Allylic Alcohol
Phthalimide Vaccination
Phthalimide Aminations
Phthalimide Ftir
Mitsunobu Reaction
Phthalimide Color
Aryl Halide
Phthalimide Solid
Organic Compounds Phthalimide
Phthalimide Pedot
Ethyl Phthalimide
Molybdenum Trioxide
Potassium Phthalimide and Diethyl Ether
Phthalimide Anhydrous
Cyclohexene NMR
Gabriel Phthalimide Synthesis of Amino Acids
Thymine Phthalimide
Copper Phthalimide
Sodium Picosulfate
Phthalimide Monomer Pen
Search
×
Search
Loading...
No suggestions found