Find Your Style
Women
Men
Accessories
Search for clothing, brands, styles...
×
Women
Men
Accessories
Piktura Objekt
Search
Loading...
No suggestions found
INR Full Form: What is full form of INR?
bankersadda.com
Top 10 Countries Where INR Has the Highest Value in 2025
currentaffairs.adda247.com
Indian Rupee (₹) - Buy INR Currency Online at Best Rates
makemytrip.com
usd to inr sbi rate: Latest News & Videos, Photos about usd to inr sbi ...
economictimes.indiatimes.com
SATHEE: Sound
sathee.iitk.ac.in
Write R for objects which will roll, S for obiects which will slide and ...
brainly.in
Java II B.Tech I Sem: Module Bank - Object Oriented Programming ...
studocu.com
Wooden Montessori Analog Clock,Teaching Time Number Blocks Puzzle (1 ...
flipkart.com
BIM objects - Free download! Monocle outdoor modular sofa - teak ...
bimobject.com
BIM objects - Free download! Monocle outdoor modular sofa - teak ...
bimobject.com
Bowl Basin (C044R1C) | Parryware
parryware.in
BIM objects - Free download! Monocle outdoor modular sofa - teak ...
bimobject.com
Rivon Wall Hung Closet - Round -White (C891R46) | Parryware
parryware.in
An object is moving in a circle of radius r. Calculate the distance and ...
brainly.in
BIM objects - Free download! Monocle outdoor modular sofa - teak ...
bimobject.com
BIM objects - Free download! Melody Lounge Armchair | BIMobject
bimobject.com
BIM objects - Free download! Melody Lounge Armchair | BIMobject
bimobject.com
BIM objects - Free download! Melody Lounge Armchair | BIMobject
bimobject.com
Bowl Basin (C044R1C) | Parryware
parryware.in
JavaFX Events and Controls Overview: Understanding GUI Interactions ...
studocu.com
T E R N A T E: A Set Designers Studio | CEPT - Portfolio
portfolio.cept.ac.in
The Book of Jubilees eBook by R. H. Charles | Official Publisher Page ...
simonandschuster.co.in
Radhakrishna 3D STL Model for Jewelry - Exquisite Pendant Design
cadwala.co.in
Internationale race voor de Teterow Capercaillie Cup
visit-mv.com
BTIT507N Programming with Python Lab File - Rishabh Kesharwani - Studocu
studocu.com
TechnoThek vakantie workshop
visit-mv.com
Vogelleven voor de deur
visit-mv.com
Ops eCom S.p.A. agreed to acquire Aleo S.R.L. for ?0.12 million ...
in.marketscreener.com
Beautiful studio in the heart of Jardim Paulista - Flats for Rent in ...
airbnb.co.in
T E R N A T E: A Set Designers Studio | CEPT - Portfolio
portfolio.cept.ac.in
Обход QR — Teletype
teletype.in
if an object is placed 10cm from a convex mirror of radius of curvature ...
brainly.in
Matching Objects with their functions - Activity Sheet
twinkl.co.in
Radhakrishna 3D STL Model for Jewelry - Exquisite Pendant Design
cadwala.co.in
China's Space Plane Releases Mystery Object In Earth Orbit; What Could ...
in.mashable.com
Design Patterns: Elements of Reusable Object-Oriented Software eBook ...
amazon.in
1 41. The picture below shows a man swinging an object in a uniform ...
brainly.in
Consider an object moving in a straight line. The distances travelled ...
brainly.in
Fact Check: `Tropical Cockroach' is not fastest moving object in world
newsmeter.in
how does a concave mirror give a virtual image of an object? explain ...
brainly.in
Subject-Verb-Object Display Poster | F-2 Grammar - Twinkl
twinkl.co.in
Analysis of Variance (ANOVA) and Multiple Comparisons in R (R Tutorial ...
edurev.in
Transitive and Intransitive Verbs, Direct & Indirect Objects
twinkl.co.in
Figure 18. Illustrating the views obtained using first angle projection ...
archive.nptel.ac.in
Phygital Fashion: How Technology Is Reshaping the Future of Small Brands
fashionunited.in
Online Invoice Generator | Create a Bill - Wise
wise.com
Indus Fxi Smart CAI20IN5R35W0 5 Star Inverter Split AC vs IAHC24JC3T4C ...
comparos.in
Bridgerton stars tease shocking new season 4 moments
msn.com
Autonomous Farms: Robotic Seeding and Crop Monitoring for 2030
johal.in
International Trade Settlement in Indian Rupee (INR)
taxguru.in
Amid US 'running' Venezuela claims, Marco Rubio has no idea about 137 ...
msn.com
India shining: Rupee inches closer to becoming international currency ...
timesnownews.com
Object Pronouns - Definition, Examples & Exercises
adda247.com
Is This The Best Evidence For UFOs Yet? Astronomer Beatriz Villarroel’s ...
in.mashable.com
Levi's Men's 501® Relaxed Jeans – Levis India Store
levi.in
a concave mirror produces three times magnified large image of an ...
brainly.in
Sri Ramakrishna Engineering College
sriramakrishna.ac.in
Minigranth Logo
minigranth.in
India and Malaysia can now trade in Indian rupee
currentaffairs.adda247.com
Książkowy pchli targ
visit-mv.com
Reisefux
reisefux.travel
Numerical on converging lens I — task. Physics CBSE Live product, Class 10.
pumpa.in
USD/INR Cracks Big: Falls 2% in 4 Days! | Investing.com India
in.investing.com
FRida: Kurs próbny jogi
visit-mv.com
An object is thrown vertically upwards to a height of 20m. Calculate ...
brainly.in
[Solved] A horizontal force 𝐹 is applied at the center of mass of a ...
cracku.in
Getting List of Items for AutoFilter in Excel VBA - Microsoft Q&A
learn.microsoft.com
Fastest-growing black hole and brightest object in universe discovered
dtnext.in
Wycieczka z przewodnikiem po kolekcjach
visit-mv.com
An object is placed 15 cm in front of a lens 'a' and lens gives real ...
brainly.in
കവിതയിൽ ടോണി നിർമിച്ച പുതിയ ഭാവനകൾ, ചർച്ചയായ ‘ജിജി’യും മറ്റു കവിതകളും ...
vanitha.in
Collections
svbventures.in
Managed RAP App Using CDS Table Entity - Sachin Artani
sachinartani.com
Sri Ramakrishna Engineering College
sriramakrishna.ac.in
Shown here are the velocity and acceleration vectors for an object in ...
tardigrade.in
Army Raises Alarm In Supreme Court Over Hospital Near Jorhat Camp ...
indiandefensenews.in
An object is placed in front of a convex mirror at a distance of 50 cm ...
tardigrade.in
Working at Heights Safety | Fall Protection | 3M India
3mindia.in
Volkswagen Golf R 2.0 TSI 310 BVA 4Motion occasion en vente à 32300 ...
lb-automobiles.com
Volkswagen Golf R 2.0 TSI 310 BVA 4Motion occasion en vente à 32300 ...
lb-automobiles.com
Volkswagen Golf R 2.0 TSI 310 BVA 4Motion occasion en vente à 32300 ...
lb-automobiles.com
Sri Ramakrishna Engineering College
sriramakrishna.ac.in
Volkswagen Golf R 2.0 TSI 310 BVA 4Motion occasion en vente à 32300 ...
lb-automobiles.com
vtudeveloper ->> Object Oriented Programming With Java - BCS306A
vtudeveloper.in
Volkswagen Golf R 2.0 TSI 310 BVA 4Motion occasion en vente à 32300 ...
lb-automobiles.com
[Solved] Q66 - A person standing on the ground at point A saw an object ...
cracku.in
How Indian Rupee Stands Against Other Major Currencies
indiatimes.com
Figure 1. illustrates the four principle projection techniques.
archive.nptel.ac.in
Press Release:Press Information Bureau
pib.gov.in
Miirror game
iitk.ac.in
Warfarin R-Isomer | CAS No- 5543-58-8 | NA
chemicea.com
How to Build Real-Time Object Detection with YOLOv8 and OpenCV in ...
python.elitedev.in
Managed RAP App Using CDS Table Entity - Sachin Artani
sachinartani.com
Tom Cruise, Jason Statham, Ellen Burstyn: Hollywood actors who suffered ...
msn.com
Gems and folder structure for ruby projects | Hari Om Gaur
hariomgaur.in
Volkswagen Golf R 2.0 TSI 310 BVA 4Motion occasion en vente à 38200 ...
lb-automobiles.com
Juno Probe Spots Reddest Object In Solar System - Jupiter's Moon ...
in.mashable.com
This bizarre object is FASTER than light? What did NASA Hubble Space ...
tech.hindustantimes.com
SATHEE: Force
satheejee.iitk.ac.in
Volkswagen Golf R 2.0 TSI 310 BVA 4Motion occasion en vente à 38200 ...
lb-automobiles.com
Representative Fraction (R.F) - Engineering Graphics (EG)
mech.poriyaan.in
Uses and SideEffects of Warfarin: What You Need to Know
medicoverhospitals.in
SH Raza: A remembrance | Architectural Digest India
architecturaldigest.in
Build Real-Time Object Detection System with YOLOv8 and OpenCV in ...
python.elitedev.in
Light - reflection — lesson. Physics CBSE Live product, Class 10.
pumpa.in
Sentence Building Cards Subject-Verb-Object-Adverbial (SVOA)
twinkl.co.in
Remove duplicate object from Arraylist react-native
techup.co.in
International Trade Settlement in Indian Rupee (INR)
taxguru.in
"Annetin" - 850m from the Sea, Blavand - Book with Updated Prices 2026 ...
in.trip.com
Mystery Object Washes Ashore In Australia
indiatimes.com
Managed RAP App Using CDS Table Entity - Sachin Artani
sachinartani.com
Rupee Depreciation: Will India's Exports Stand To Gain? | Investing.com ...
in.investing.com
Did You Know About India's Rs 10,000 Rupee Note
indiatimes.com
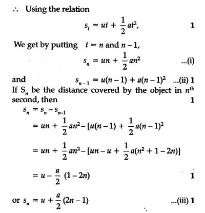
Prove that the distance travelled by an object in nth second is given ...
ask.learncbse.in
Cut, divide, and trim objects in Illustrator
helpx.adobe.com
feed and grow fish unblocked games india - desktop surprise popular
hmis.ap.nic.in
Anticoagulation in Acute Pulmonary Embolism: Which Drug? How Long ...
universimed.com
Java Interview Questions | What Is The Difference Between A Class And ...
onlinelearner.in
2 object identification we look at the difference of the
home.iitk.ac.in
Shown here are the velocity and acceleration vectors for an object in ...
tardigrade.in
Related Searches
Piktura
Pranvera Piktura
Piktura Artist
Diellit Piktura
Hidden Objects Worksheets for Kids
Hard Hidden Object Puzzles
Things That Start with the Letter a Objects
Color Object for Toddler
10 Simple Objects
Hidden Object Puzzles for Fall for Kids
Hidden Object Kids Room
Find Hidden Objects Worksheet
UML Object Diagram
Piktura Cute
Find Hidden Objects in Pictures Easy
Highlights Hidden Objects Printable
Adult Hidden Object Printable Pages
13 with Object
Free Printable Hidden Object Games
Picture of 21 Objects for Kids
Search
×
Search
Loading...
No suggestions found