Find Your Style
Women
Men
Accessories
Search for clothing, brands, styles...
×
Women
Men
Accessories
Pli Bonus Rate
Search
Loading...
No suggestions found
PLI-RPLI Premium Tables, Plans Details, Bonus Rate, Survival Benefits ...
postalguide.in
PLI and RPLI Policy Bonus Rates 2025-26 - Postalguide
postalguide.in
Declared PLI Bonus Rates for 2025-26 (Effective 01.04.2025)
potoolsblog.in
PLI bonus rate 2023-24 | PLI (Postal Life Insurance) Bonus Rate for the ...
postalstudy.in
PLI RPLI Premium & Bonus Chart | PLI (Postal Life Insurance) RPLI ...
postalstudy.in
PLI RPLI Premium and Bonus Chart | Postal / Rural Postal Life Insurance ...
potoolsblog.in
PLI Premium & Bonus Table dated 02.04.2020 and RPLI Premium & Bonus ...
potoolsblog.in
PLI (Postal Life Insurance) Bonus Rates for Fy 2024-2025
postalstudy.in
Postal Life Insurance (PLI) Bonus Rate from 2009 to 2023
potoolsblog.in
PLI premium & Bonus Table as on 10.03.2024 ~ DOP Adda
dopadda.in
PLI-RPLI Premium Tables, Plans Details, Bonus Rate, Survival Benefits ...
postalguide.in
PLI Bonus Rates 2025-26 - Postalstudy | Post Office Blog | Materials ...
postalstudy.in
PLI RPLI Notes | PLI RPLI (Postal Life Insurance) Scheme | PLI RPLI PDF ...
postalstudy.in
PLI RPLI Premium & Bonus Chart | PLI (Postal Life Insurance) RPLI ...
postalstudy.in
PLI Bonus Rates 2025-26 - Postalstudy | Post Office Blog | Materials ...
postalstudy.in
PLI RPLI Notes | PLI RPLI (Postal Life Insurance) Scheme | PLI RPLI PDF ...
postalstudy.in
PLI Premium and Bonus Table V5 dated 06.12.2022
potoolsblog.in
PLI RPLI Premium and Bonus Chart | Postal / Rural Postal Life Insurance ...
potoolsblog.in
RPLI- Bonus rates for the Financial Years 2016-17, 2017-18, 2018-19 ...
potoolsblog.in
Postal Life Insurance (PLI) V/s LIC (Life Insurance Corporation ...
postalstudy.in
Bonus declaration in respect of RPLI for FY 2025-26 in Department of Posts
potoolsblog.in
PLI and LIC Comparison with its benefits | Postal Life Insurance (PLI ...
postalstudy.in
PLI RPLI Notes | PLI RPLI (Postal Life Insurance) Scheme | PLI RPLI PDF ...
postalstudy.in
PLI Premium Calculator Revised 31 Mar 2014
potoolsblog.in
PLI and RPLI Bonus 2025-26 - Gazette Notification
potoolsblog.in
PLI :: Rates of Bonus for the Financial Year 2020 - 2021 will be ...
potoolsblog.in
PLI Bonus Rates 2022-23 | Postal Life Insurance (PLI) Bonus Rates for ...
postalstudy.in
Postal Life Insurance(PLI) General information, Premium & Bonus Tables ...
potoolsblog.in
PLI and RPLI Policy Bonus Rates 2025-26 - Postalguide
postalguide.in
PLI :: Rates of Bonus for the Financial Year 2020 - 2021 will be ...
potoolsblog.in
PLI :: Rates of Bonus for the Financial Years 2016-17, 2017-18, 2018-19 ...
potoolsblog.in
PLI and RPLI Policy Bonus Rates 2025-26 - Postalguide
postalguide.in
Bonus declaration in respect of RPLI for FY 2025-26 in Department of Posts
potoolsblog.in
PLI Bonus Gazette Notification dated 13/03/2024
potoolsblog.in
Postal Life Insurance (PLI) Bonus Rate from 2009 to 2023
potoolsblog.in
PLI - Highlights, Monthly Premium and Maturity value at the age of 50 ...
potoolsblog.in
PLI and RPLI Policy Bonus Rates 2025-26 - Postalguide
postalguide.in
Comparison Chart PLI,RPLI Vs LIC
potoolsblog.in
Term Insurance Plans for NRIs in India: 2026
joinditto.in
PLI / RPLI Bonus for the FY 2023-2024
potoolsblog.in
Postal Life Insurance (PLI) Bonus Rate from 2009 to 2023
potoolsblog.in
RPLI Bonus Rate 2022-23 | Rural Postal Life Insurance (RPLI) Bonus ...
postalstudy.in
PLI and RPLI Comparison with LIC
potoolsblog.in
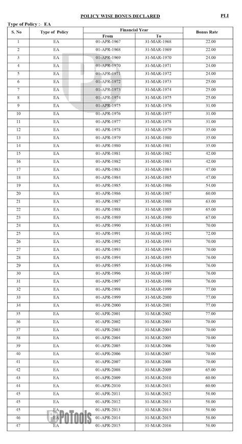
PLI Premium and Bonus Table || EA Policy of Sum Assured Rs.100000/-
potoolsblog.in
PLI Calculator - Postal Life Insurance Calculator
pli-calculator.in
PLI RPLI Premium and Bonus Chart | Postal / Rural Postal Life Insurance ...
potoolsblog.in
PLI premium & Bonus Table as on 10.03.2024 ~ DOP Adda
dopadda.in
RPLI Premium & Bonus Table of sum assured Rs. 10 Lakh
potoolsblog.in
Postal Life Insurance is always best Insurance Scheme with low Premium ...
potoolsblog.in
PLI RPLI Premium and Bonus Chart | Postal / Rural Postal Life Insurance ...
potoolsblog.in
PLI (Postal Life Insurance) Bonus Rates for Fy 2024-2025
postalstudy.in
Join with Postal Life Insurance (PLI) - Low Premium & High Bonus
potoolsblog.in
PLI Scheme Drives Investment and Job Creation in Key Industries
smestreet.in
Ready Reckoner for Calculation of PLI Surrender Value
potoolsblog.in
Postal Life Insurance (PLI) - Scheme, Benefits & Plan Details
joinditto.in
RPLI Bonus Rate 2023-24 | Rural Postal Life Insurance (RPLI) Bonus ...
postalstudy.in
Tool for PLI/RPLI Premium Quote Generation
potoolsblog.in
PLI Premium and Bonus Table || EA Policy of Sum Assured Rs.100000/-
potoolsblog.in
PLI (Postal Life Insurance) premium table pdf 2024 | RPLI (Rural Postal ...
postalstudy.in
TDS rates applicable on incentive paid to the Sales Force of PLI RPLI ...
postalstudy.in
Postal Life Insurance - EA Bonus Declared upto 31.03.2019
potoolsblog.in
LIC Bonus Rates for 2016-2017
potoolsblog.in
PLI/RPLI MDR (Merchant Discount Rate) Charges from 17.01.2022 | MDR ...
postalstudy.in
PLI & RPLI Bonus for the Year 2020-2021 - Postalstudy | Post Office ...
postalstudy.in
Bonus Declaration in respect of PLI & RPLI for FY 2023-24
potoolsblog.in
PLI/RPLI MDR (Merchant Discount Rate) Charges from 17.01.2022 | MDR ...
postalstudy.in
PLI / RPLI Materials Collection
potoolsblog.in
Bonus Declaration in respect of PLI & RPLI for FY 2023-24 ~ DOP Adda
dopadda.in
Postal Life Insurance: Features, Eligibility, Bonus & Plans
joinditto.in
Postalstudy | Post Office Blog | Materials for | Exams
postalstudy.in
RPLI Premium & Bonus Table of sum assured Rs. 10 Lakh
potoolsblog.in
PLI & RPLI Bonus for the Year 2020-2021 - Postalstudy | Post Office ...
postalstudy.in
PLI Bonus 2025-26
potoolsblog.in
Postalstudy | Post Office Blog | Materials for | Exams
postalstudy.in
PLI premium & Bonus Table as on 10.03.2024 ~ DOP Adda
dopadda.in
Postal Life Insurance: Features, Eligibility, Bonus & Plans
joinditto.in
Bonus Rates
insurancefunda.in
PLI Service Tax Calculator and Ready Reckoner for SO & BO
potoolsblog.in
RBI Monetary Policy Statement, 2021-22- No Change in Rates
taxguru.in
CMIE Report: India's unemployment rate in January 2022 stood at 6.57%
currentaffairs.adda247.com
Max Life's Smart Fixed-return digital plan now offers guaranteed ...
aninews.in
Revised Incentive structure of PLI/RPLI w.e.f from 01/04/2017
potoolsblog.in
Latest Fixed Deposit Interest Rates at SBI Bank 2026
fibe.in
Post Office Interest Rate Table 2022 | Post Office Savings Scheme ...
postalstudy.in
RPLI- Bonus rates for the Financial Years 2016-17, 2017-18, 2018-19 ...
potoolsblog.in
Postal Life Insurance [Pli] — No bonus for surrendering pli after 5 years
consumercomplaints.in
Copy of Gazette Notification of PLI Bonus for the year 2011-2012
potoolsblog.in
PLI RPLI Incentive Payments SOP | Steps (Procedure) for PLI RPLI ...
postalstudy.in
PLI RPLI Policies TDS Deduction @5% rate on Maturity Payment of ...
postalstudy.in
PLI RPLI Premium & Bonus Chart | PLI (Postal Life Insurance) RPLI ...
postalstudy.in
Bonus Rates
insurancefunda.in
PLI/RPLI MDR (Merchant Discount Rate) Charges from 17.01.2022 | MDR ...
postalstudy.in
News - oneworld virtual
oneworldvirtual.org
LIC of India Insurance Policies: Bonus Rates for 2020 – 2021 – A ...
myreality.co.in
Postal Life Insurance: Features, Eligibility, Bonus & Plans
joinditto.in
Revision of rate of TDS deduction on payment of PLI & RPLI policies w.e ...
potoolsblog.in
Postalstudy | Post Office Blog | Materials for | Exams
postalstudy.in
Explained THE PLI SCHEME – ALL YOU NEED TO KNOW
iasgyan.in
PLI RPLI Incentive Structure 2023 (Latest/New) | Download Revised ...
postalstudy.in
Bonus Declaration in respect of PLI - Gazette Notification dtd 18.02.2021
potoolsblog.in
Revised Incentive structure of PLI/RPLI w.e.f from 01/04/2017
potoolsblog.in
PLI Premium Table with Maturity Value for Endowment Assurance
potoolsblog.in
IPO Exam Question Bank No-04 (Latest Updates/MNOP-PNOP/PLI Bonus Rates ...
postalstudy.in
PLI/RPLI MDR (Merchant Discount Rate) Charges from 17.01.2022 | MDR ...
postalstudy.in
PLI Schemes - 9 government reforms that have helped stock market hit ...
economictimes.indiatimes.com
Service Tax Calculator and Tally sheet Tool for PLI/RPLI
potoolsblog.in
Yugal Suraksha Yojana: एक ही प्रीमियम पर पति -पत्नी को 50 लाख रुपये ...
ndtv.in
PLI RPLI Service Tax Calculator xlsx
potoolsblog.in
Postal Life Insurance (PLI) - Pamphlets
potoolsblog.in
PLI, RPLI and Post Office Interest Rate for the period 01.07.2017 to 30 ...
potoolsblog.in
PLI Premium Table with Maturity Value for Endowment Assurance
potoolsblog.in
PLI Premium Table with Maturity Value for Endowment Assurance
potoolsblog.in
PLI and RPLI Premium Service Tax Calculator
potoolsblog.in
SOAP (Standard Operating and Accounting Procedure) for GST on the ...
postalstudy.in
PLI/RPLI Incentive Bill Proforma
potoolsblog.in
Interest rate to be applied under Rule 58(3) of Post Office Life ...
potoolsblog.in
PLI, RPLI and Post Office Interest Rate for the period 01.07.2017 to 30 ...
potoolsblog.in
Postal Life Insurance (PLI) V/s LIC (Life Insurance Corporation ...
postalstudy.in
Revised Incentive structure of PLI/RPLI w.e.f from 01/04/2017
potoolsblog.in
PLI Premium Table with Maturity Value for Endowment Assurance
potoolsblog.in
Related Searches
Pli Bonus Rate Chart
Pli Bonus Rate Chart in PDF
Pli vs LIC
Pli Bonus Rate Last 20 Years PDF
Pli Premium Table
Postal Life Insurance
Pli Plan
Pli Rate of Interest
Post Office Pli Scheme
Rural Postal Life Insurance
Rpli Revival Medical Form
Bonus Comparison of Pli vs Others
LIC vs Pli
Postal Life Insurance Scheme
Pli Post Office
Rpli Logo
Rpli Login
Pli Bonus Form
Bonus Rate 中文
Rpli Policy Bond
Nepal Life Insurance Bonus Rate
Tessa Rates Bonus
Postal Life Insurance Premium Table
Pli Bonus Rate Chart PDF
Post Office Pli
Insurance Bonus Rate in Nepal
Pli Rpli
Pli Endowement Bonus
Pli Policy Post Office
Postal Life Insurance Premium Chart
LIC Bonus Chart
Nlic Bonus Rate
Pli Bonus Rate Last 15 Years
India Post Pli
Reward Bonus PLP
Ice Network Bonus Rate
Postal Life Insurance Calculator
National Life Bonus Rate
Pli Online Premium Payment
Bonus Rate of LIC Nepal
Pli Proposal Form
20 Year Term Life Insurance Rates Chart
Life Insurance Premium Calculator
Postal Life Insurance Form
AARP Term Life Insurance Rates
Pli Bonuus
Rpli Bonus Rate Chart
LIC Agent Commission Chart
Interest Rate On Pli
Pli Bonuses Rates Charts
Search
×
Search
Loading...
No suggestions found