Find Your Style
Women
Men
Accessories
Search for clothing, brands, styles...
×
Women
Men
Accessories
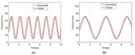
Pmsm Parameter Variation
Search
Loading...
No suggestions found
Model Predictive Control of PMSM
lmssolution.net.in
Model Predictive speed control of PMSM in MATLAB
lmssolution.net.in
Multi-Objective Optimization Design and Analysis of V-Shape Permanent ...
mdpi.com
Optimal Tuning of Fractional Order Sliding Mode Controller for PMSM ...
mdpi.com
Robust Speed Control Techniques | Encyclopedia MDPI
encyclopedia.pub
A Novel Rotor Position Observer for Sensorless Control of Permanent ...
mdpi.com
A Novel Rotor Position Observer for Sensorless Control of Permanent ...
mdpi.com
Neural network with Model Predictive control of PMSM
lmssolution.net.in
Flux Weakening Controller Design for Series-Winding Three-Phase PMSM ...
mdpi.com
Measurement of the PMSM Shaft Position with An Absolute Encoder
mdpi.com
Rotor Position Alignment of FSTPI Based PMSM Drive Using Low Frequency ...
mdpi.com
Field Oriented Control of PMSM Drive
lmssolution.net.in
Motor | Hioki
hioki.com
MATLAB Implementation of Field-Oriented Control for PMSM Drive
lmssolution.net.in
Improvement of Position Estimation of PMSMs Using an Iterative Vector ...
mdpi.com
A Novel Rotor Position Observer for Sensorless Control of Permanent ...
mdpi.com
Electromyography Parameter Variations with Electrocardiography Noise
mdpi.com
Research on Permanent Magnet Synchronous Motor Control System Based on ...
mdpi.com
Model-Free Adaptive Fast Integral Terminal Sliding Mode Control for ...
mdpi.com
Enhancement of Sensorless Control for Non-Sinusoidal Multiphase Drives ...
mdpi.com
A Robust Current Controller for Uncertain Permanent Magnet Synchronous ...
mdpi.com
Simulink Control Design (43) - The Parameter Variations tab opens ...
studocu.com
Electromyography Parameter Variations with Electrocardiography Noise
mdpi.com
A Novel Rotor Position Observer for Sensorless Control of Permanent ...
mdpi.com
Delay Analysis and the Control of Electro-Hydrostatic Actuators
mdpi.com
Electromyography Parameter Variations with Electrocardiography Noise
mdpi.com
A Comparative Performance Analysis of the Novel TurboAux Engine with a ...
mdpi.com
Uncertainties Induced by Processing Parameter Variation in Selective ...
mdpi.com
Variation Parameters 2008 - Variation of Parameters Variation of ...
studocu.com
Multilayer Techniques to Address Parameter Variation : Teodorescu ...
amazon.in
Variation of Parameters Video Lecture - Mathematics Optional Notes for UPSC
edurev.in
Alpha particle scattering and Rutherford's atomic model-Observations ...
aakash.ac.in
Variation Of Parameters - Calculus - Mathematics PDF Download
edurev.in
Online Parameter Identification for PMSM Based on Multi-Innovation ...
mdpi.com
Interval Type-2 Fuzzy Dynamic High Type Control of Permanent Magnet ...
mdpi.com
Which one of the following graphs represents variation of specific heat ...
allen.in
Virtual Labs
mec-met-iitk.vlabs.ac.in
Method of Variation of parameters - ENGINEERING MATHEMATICS I Topics ...
studocu.com
Investigation of the Thermo-Mechanical Modeling of the Manufacturing of ...
mdpi.com
Wavect
wavect.in
Sensorless Speed Control with Initial Rotor Position Estimation for ...
mdpi.com
(D 2 + 4)y = tan2x . Solve by method of variation of Parameter - Brainly.in
brainly.in
Uncertainties Induced by Processing Parameter Variation in Selective ...
mdpi.com
A cell having an emf E and internal resistance r is connected across a ...
allen.in
Solve the equation by the method of variation of parameters (D2 + 4)y ...
brainly.in
Understanding Gravitation: Concepts, Principles and Application
allen.in
Draw a graph showing variation of potential with r distance for a ...
allen.in
Draw a neat labelled ray diagram of the Fresnel Biprism experiment ...
shaalaa.com
Sys Review - Capstone Project - A study on parameter variation effects ...
studocu.com
Reliability Assessment of Deflection Limit State of a Simply Supported ...
mdpi.com
Emerging Trends in Urban Air Mobility: An Extensive Review
mdpi.com
Solve d^2y/dx^2 y = cot x coses x using method of variation of ...
brainly.in
Research on SAR Active Anti-Jamming Imaging Based on Joint Random ...
mdpi.com
Draw a plot showing the variation of (a) electric field - CBSE Class 12 ...
ask.learncbse.in
The variation of potential with distance r from a fixed point is shown ...
allen.in
The Influence of Eye Model Parameter Variations on Simulated Eye ...
mdpi.com
Plot a graph showing the variation of coulomb force (F) versus `((1)/(r ...
allen.in
A cell of emf 'E' and internal reistance 'r' is connected across a ...
ask.learncbse.in
Performance Analysis of an Electromagnetic Frequency Regulator under ...
mdpi.com
Motor | Hioki
hioki.com
A cell having an emf E and internal resistance r is connected across a ...
allen.in
Parasitic Coupling in 3D Sequential Integration: The Example of a Two ...
mdpi.com
Everything You Need to Know About Parametric Modelling (2026)
novatr.com
Reliability Assessment of Deflection Limit State of a Simply Supported ...
mdpi.com
The given plots represent the variation of the concentration of a ...
tardigrade.in
Novel Multi-Physics Computational Simulation of a 10 kW Permanent ...
mdpi.com
Reliability Assessment of Deflection Limit State of a Simply Supported ...
mdpi.com
Plot a graph showing variation of electric field with r for r>R and r
brainly.in
The variation of potential with distance r from fixed point as shown in ...
brainly.in
Plot a graph between coulomb force f and r^2 where r is the distance ...
brainly.in
For a metallic conductor the correct representation of variation of ...
brainly.in
Plot a graph showing the variation in coulombs force f versus 1/r2 ...
ask.learncbse.in
Predicting Unconfined Compressive Strength Decrease of Carbonate ...
mdpi.com
Which one of the following graphs represents the variation of electric ...
allen.in
Process Corner in VLSI ~ Learn and Design Semiconductors .......
techsimplifiedtv.in
Operational Improvement of Interior Permanent Magnet Synchronous Motor ...
mdpi.com
Plot a graph showing the variation of coulomb force (F) verses (1/r^2 ...
brainly.in
Toxics | An Open Access Journal from MDPI
mdpi.com
Analysis of Transistor Amplifier Configurations using Simplified h ...
eee.poriyaan.in
An fcc lattice has lattice parameter a = 400 pm. calculate the molar ...
scoop.eduncle.com
Which of the following graphs shows the correct variation of force when ...
tardigrade.in
The variation of magnetic susceptibility `chi` with the temperature T ...
allen.in
The Interaction of Fitness and Fatigue on Physical and Tactical ...
mdpi.com
Urine Test Strips TouchSense 10 Parameter Urinalysis : Amazon.in ...
amazon.in
A cell of emf (E) and internal resistance r is connected across a ...
brainly.in
solve the equation (D^2 + 1)y=x sin x by the method of variation of ...
brainly.in
Predicting Unconfined Compressive Strength Decrease of Carbonate ...
mdpi.com
The given graph shows variation (with distance r from centre) of
tardigrade.in
draw a graph showing the variation of gravitational acceleration due to ...
brainly.in
Toxics | An Open Access Journal from MDPI
mdpi.com
Draw the graphs representing the variation of resistivity with ...
allen.in
Working principle
vedveethi.co.in
Maxwell's Equations - Static Fields and Time Varying Fields
eee.poriyaan.in
Draw a plot of potential energy between a pair of nucleons - CBSE Class ...
ask.learncbse.in
FNC42060F2 onsemi | onsemi FNC42060F2, AC Induction, BLDC Motor, PMSM ...
in.rsdelivers.com
draw the graph showing variation of g with r - Brainly.in
brainly.in
Which one of the following plots represents the variation of ...
brainly.in
A cell of emf E & internal resistance r is connected across an external ...
brainly.in
Predicting Throughput and Melt Temperature in Pharmaceutical Hot Melt ...
mdpi.com
FSB50550BS onsemi | onsemi FSB50550BS, AC Induction, BLDC Motor, PMSM ...
in.rsdelivers.com
Pollution in Tapi river & its impact during flooding | CEPT - Portfolio
portfolio.cept.ac.in
What is parameter in statistics
scoop.eduncle.com
Variation of pressure in a static fluid:
msubbu.in
stator and rotor of IPM,SPM and BLDC Hub Motor
queryflag.com
Flow Governed by Generalized Brinkman’s Equation through an Inclined ...
preprints.org
Variable Temperature Behaviour of the Hybrid Double Perovskite MA2KBiCl6
mdpi.com
what r somaclonal variations - Brainly.in
brainly.in
FSBB20CH120D onsemi | onsemi FSBB20CH120D, AC Induction, BLDC Motor ...
in.rsdelivers.com
Parasitic Coupling in 3D Sequential Integration: The Example of a Two ...
mdpi.com
PMSM Motors - IE4 Foot Mounted PMSM Motor Manufacturer from New Delhi
pmsgen.in
Difference between continuous and discontinuous variation
scoop.eduncle.com
What is parameter in statistics
scoop.eduncle.com
draw the curve showing variation in R, XL, Xc, Z and current with ...
brainly.in
draw a graph to show the variation of e with perpendicular distance r ...
brainly.in
Electric field variation with distance r from centre of a non ...
brainly.in
shear stresses in beams - Transverse Loading on Beams and Stresses in ...
mech.poriyaan.in
solve the equation (D^2 + 1)y=x sin x by the method of variation of ...
brainly.in
Sensors | Special Issue : Signal Processing Using Non-invasive ...
mdpi.com
Extrinsic Calibration of Multiple 3D LiDAR Sensors by the Use of Planar ...
mdpi.com
PMSM Motors - 2.2kw/3hp IE4 Foot Mounted PMSM Motor Manufacturer from ...
pmsgen.in
Related Searches
Variation Parameter
Pmsm Parameters
IPMSM Parameter
Pmsm Parameter Mismatch
Variation of Parameters Equation
Pmsm Parameter Estimation
300Kw Pmsm Parameters
Pmsm Parameter Identification
High Speed Pmsm Parameter
IPMSM Motor Parameter
PMS Parameter Percent
Color Parameter Variation
Parameter Variation of IPMSM Flux Variation
5 Parameter Variation in a Graph
Variation of Transistor Parameter
Online Display Parameter Variation
Pmsm Motor Design
Pmsm Motor Parameter Tuning
Pmsm Magnetic Flux Variation
Practical Parameter Identification
Which Parameter in Pmsm Effects Speed
Laser Parameters Variation
Pmsm Motor Equations
Monitor Online Display Parameter Variation
Parameter Identification Methods
How to Represent 5 Parameter Variation in a Graph
Six-Phase Pmsm Parameters
Motor Parameter Listing for 170 kW Pmsm Motor
2Mva Pmsg Rparameters Name Plate
Search
×
Search
Loading...
No suggestions found