Find Your Style
Women
Men
Accessories
Search for clothing, brands, styles...
×
Women
Men
Accessories
Polynomial Devidable
Search
Loading...
No suggestions found
INR Full Form: What is full form of INR?
bankersadda.com
Top 10 Countries Where INR Has the Highest Value in 2025
currentaffairs.adda247.com
Anand Kamalnayan Pandit — INR 8,660 Cr (Sri Lotus Developers & Realty ...
economictimes.indiatimes.com
Anand Kamalnayan Pandit — INR 8,660 Cr (Sri Lotus Developers & Realty ...
economictimes.indiatimes.com
2. The polynomials (2x³ + x²-9x+2) and (2x²-3x²-3x + a) when divided by ...
brainly.in
What must be added to p(x)=4x4 –5x3 –39x2 –46x–2sothat the resulting ...
brainly.in
What should be added to x^4+2x^3-13x^2-12x+21 So that the resulting ...
brainly.in
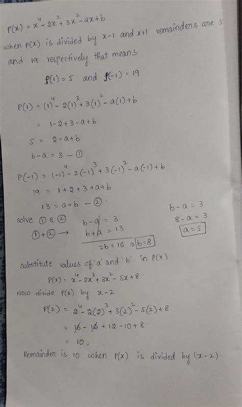
When a polynomial p(x) = x4 – 2x3+ 3x2 – ax + b is divisible by x – 1 ...
brainly.in
When a polynomial p(x) = x4 – 2x3+ 3x2 – ax + b is divisible by x – 1 ...
brainly.in
What must be added to 4x4+2x3-2x2+x-1 so that the resulting polynomial ...
brainly.in
find the value of p for which the polynomial 2x⁴+3x³+2px²+3x+6 is ...
brainly.in
What must be subtracted from the polynomial 8x4 + 14x3 + x2 + 7x + (8 ...
edurev.in
what must be subtracted from 4x4 - 2x3 - 6x2 + x - 5 so that the ...
brainly.in
For what value of b, is the polynomial x³ – 3x² + bx – 6 divisible by x ...
brainly.in
What must be subtracted from polynomial 8x4+14x3-4x2+7x-8 so that ...
brainly.in
A polynomial p(x) when divided by (x - 1), (x + 1) and (x+2) gives ...
brainly.in
If 18x² +15x-12 exactly divisible by a polynomial and the quotient is ...
brainly.in
16. What must be added to polynomial f(x)=x+2x3-2x²+x-1 so that ...
brainly.in
91. What must be added to x²+2x³ - 2x² 3 2x²+x-1 so that the resulting ...
brainly.in
Find the value of a and b so that polynomial xcube - a x square - 13x ...
brainly.in
examin if the polynomial P(x) is divisible by g(x)now look this is what ...
brainly.in
what must be subtracted from 8x⁴+14x³-2x²+7x-8 so that the resulting ...
brainly.in
What must be added to the polynomial P(x) = 5x4 + 6x3 – 13x2 – 44x + 7 ...
brainly.in
Determine what must be added to (x³ - 3x² + 4x13) to obtain a ...
brainly.in
use long division method and show that the polynomial x^3 + 1 is ...
brainly.in
using long division method,show that the polynomial p(x) =x3 +1 is ...
brainly.in
mind map on polynomials class 10 - Brainly.in
brainly.in
For what value of m, the polynomial x3 -2 mx2+16 is divisible by (x + 2 ...
ask.learncbse.in
using long division method, show that the polynomial p(x)=x³+1 is ...
brainly.in
find the values of a and b so that the polynomial x4+ax3-7x2+8x+b is ...
brainly.in
Find a quadratic polynomial divisible by x + 1 and x + 2 and leaving a ...
brainly.in
Online Invoice Generator | Create a Bill - Wise
wise.com
The values of a and b so that the polynomial r3 - ax2 - 13x + b is ...
brainly.in
Divide the polynomial x³ + 1 by x + 1 using long division and find ...
brainly.in
The polynomial x^3 - 3x^2 + 4x - 12 is exactly divisible by: a) ( x-2 ...
brainly.in
1 million dong in indian rupees - Brainly.in
brainly.in
Administration of Warfarin Inhibits the Development of Cerulein-Induced ...
mdpi.com
NCERT Solutions for Class 10 Maths Chapter 2 Polynomials
oswalpublishers.com
Concept Explanation
abhyasonline.in
USD/INR Cracks Big: Falls 2% in 4 Days! | Investing.com India
in.investing.com
USD/INR Breaking Imp. Trendline; Is Nifty 50 Topping Out? | Investing ...
in.investing.com
Sell USDC for USD | USDC to USD Calculator
binance.com
Uses and SideEffects of Warfarin: What You Need to Know
medicoverhospitals.in
Find the value of a for which the polynomial 2y^4 +3y^3 +2ay^2 +3y +6 ...
brainly.in
If a polynomial 3x^4-15x^3+14x^2+px-q is divisible by x^2-5x +6,then ...
brainly.in
Using long division method, show that the polynomial p(x)=x^3+1 is ...
brainly.in
What value of k,the polynomial (2x4 + 3x3 + 2kx2 + 3x + 6)is exactly ...
ask.learncbse.in
what must be added to f(x)=4x^2+2x^3-2x^2+x+1 so that the resulting ...
brainly.in
The polynomial 2x³ - 5x² + mx +n is divisible by x²-4, a) (m, n) = (2 ...
brainly.in
Is the polynomial -14xsquare -13x +12 is completely divisible by 2x+3 ...
brainly.in
Find the value of m if polynomial p(x) = 4x2 – 6x – m is exactly ...
brainly.in
pleaseeeeeeeee answer it quickly it's urgent .Find a quadratic ...
brainly.in
what must be subtracted from 8x4+14x3+x2+7x+8 so that polynomial is ...
brainly.in
if the polynomial 2x^3+ax^2+7x-6 is exactly divisible by(2x-1),find a ...
brainly.in
find the value of a for which the polynomial (x4-x3-11x-x+a) divisible ...
brainly.in
What should be added to x^3-7x-16 so that the resultant polynomial is ...
brainly.in
The legendre polynomials p,(x), n =0,1,2,, satisfying the orthogonality ...
scoop.eduncle.com
what must be added to the polynomial x⁴+2x³-2x²-x-1 so that the ...
brainly.in
find the values of a and b so that the polynomial (x^3-10x+ax+b) is ...
brainly.in
Find the remainder when the polynomial 4x square +3x+4is divisible by ...
brainly.in
What shold be added for the polynomial x^3+2x^2_9x+1 so that it is ...
brainly.in
i if the polynomial x4-6x3-16x2-25x+10 is divisible by another ...
brainly.in
what should be added to x^3-76 so that the resultant polynomial is ...
brainly.in
if a polynomial 2x^3+ax^2+7x-6 is exactly divisible by 2x-1. then find ...
brainly.in
Fed’s 75 bps Hike: Rupee Falls to Record Low, Sets Eye for ‘82 ...
in.investing.com
India and Malaysia can now trade in Indian rupee
currentaffairs.adda247.com
if polynomial x4+2x3+8x12x+18 is divisible by another polynomial the ...
brainly.in
what should be subtracted from (z^2+9z+15) so that the resulting ...
brainly.in
Find a and b so that the polynomial x'- 10 x + ax + b is exactly ...
brainly.in
Several values of x, and the corresponding values for polynomial ...
allen.in
The value of k for which the polynomial x² + 4x ^2 - px + 8 is exactly ...
brainly.in
What must be subtracted from 8x4 + 14x3 – 2x2 + 7x – 8 so that the ...
brainly.in
The polynomial x^3 - 3x^2 + 4x - 12 is exactly divisible by: a) ( x-2 ...
brainly.in
For what value of m, is the polynomial x^3 -2mx^2+16 divisible by (x+2 ...
brainly.in
What must be added to 4x4+2x3-2x2+x-1 so that the resulting polynomial ...
brainly.in
what should be added to the polynomial x^3-6x^2+11x+8 so that it is ...
brainly.in
using factor theorem find the value of a if 2x⁴-ax³+4x²-x+2 is ...
brainly.in
When a polynomial p(x) = x4 - 2x3 + 3x2 - ax + b is divisible by x-1 ...
brainly.in
If the polynomial 4x^3-16x^2+ax+7 is exactly divisible by x-1 - Brainly.in
brainly.in
what should be added in polynomial x^3+2x^2-9x+1 so that is completely ...
brainly.in
find the value of a and b so that polynomial x^3-4x^2 +ax +b is exactly ...
brainly.in
What minimum must be added to 2x3 - 3x2 + 6x + 7 so that the resulting ...
brainly.in
i if the polynomial x4-6x3-16x2-25x+10 is divisible by another ...
brainly.in
if a polynomial p(x) is divisible by (x-4) and 2 is a zero of p(x ...
brainly.in
Find the value of p so that the polynomial x^3+4x^2-px-6 is exactly ...
brainly.in
using long division method show that the polynomial p(x)=x3+1 is ...
brainly.in
Find the value of A and B so that polynomial (x4+ax3-7x2+8x+b) is ...
brainly.in
Factorise what value of 'a' is the polynomial 2x4 - ax³ + 4x² + 2x + 1 ...
brainly.in
What must be added to 4x^4+2x^3 -2x^2 x-1 so that the resulting ...
brainly.in
using long division method,show that the polynomial p(x) =x3 +1 is ...
brainly.in
If the polynomial f (x) is equal to you a x cube + b x minus c is ...
brainly.in
what must be added to 6x3-x2-10x-3 so that the resulting polynomial is ...
brainly.in
if the polynomial 6x^4+8x^3+5x^2+ax+b is exactly divisible by the ...
brainly.in
given polynomial p(x)=3x^2-5x+4 is divisible by (x-a),the remainder is ...
brainly.in
Find the value of b for which the polynomial 2x ^ 3 - 7x ^ 2 - x + b ...
brainly.in
For what value of m is the polynomial 2x^4-mx^3+4x^2+2x+1 divisible by ...
brainly.in
Without actual division prove that the polynomial 2x^3+4x^2+x-34 is ...
brainly.in
If the polynomial x 4 - 3 x square + 5 x + 3 is divisible by x squared ...
brainly.in
given polynomial p(x)=3x^2-5x+4 is divisible by (x-a),the remainder is ...
brainly.in
what must be added to 6x3-x2-10x-3 so that the resulting polynomial is ...
brainly.in
using long division method, show that the polynomial p(x)= x^3+1 is ...
brainly.in
if polynomial p[x] is divisible by [x-3] and 2 is a zero of p[x],write ...
brainly.in
What must be subtracted from 8x4+14x3-2x2+7x-8 so that resulitng ...
brainly.in
Find the polynomial of least degree which should be subtracted from the ...
brainly.in
If the polynomial x cube + b x minus c is divisible by polynomial x ...
brainly.in
Divisibility Rule of 11- Check Divisibility Test of 11 With Examples
adda247.com
What must be subtracted from x'+14x-2x+7x-8 so that the resulting ...
brainly.in
. Find the value of k for which the polynomial x^4 + 10x^3 + 25x^2 ...
brainly.in
Find the value of k for which the cubic polynomial (3y^3-3/2y^2+ky +5 ...
brainly.in
If the polynomial f(x) = ax^3 + bx - c is divisible by x^2 + bx + c ...
brainly.in
what must be added to the polynomial 4x4+12x3-43x2-45x+104, so that the ...
brainly.in
What must be added to ( x³-3x²+4x-15) to obtain a polynomial which is ...
brainly.in
What must be added to p(x)=4x4 –5x3 –39x2 –46x–2sothat the resulting ...
brainly.in
If the polynomial 6x^4+8x^3+17x^2+21x+7 is divisible by 3x^2+4x+1 and ...
brainly.in
what must be subtracted from 8x4 + 14x3 - 2x2 + 7x -8 so that the ...
brainly.in
The polynomial x^3-3x^2+12 is exactly divisible by a) (x-2) b) (x-3) c ...
brainly.in
If the polynomial f(x) =3x4-9x3+x^2+15x+k is completely divisible by ...
brainly.in
Using the long division method, determine the remainder when the ...
brainly.in
what must be added to f(x)=4x^4+2x^3-2x^2+x-1 so that the resulting ...
brainly.in
How Warfarin Is Synthesized and Key Insights
medicoverhospitals.in
Related Searches
Polynomial
Divisible
Division of Polynomials
Search
×
Search
Loading...
No suggestions found