Find Your Style
Women
Men
Accessories
Search for clothing, brands, styles...
×
Women
Men
Accessories
Polynomial Kernel
Search
Loading...
No suggestions found
System Identification via Polynomial Transformation Method
home.iitk.ac.in
ML Exp 3 - SVM Classification with Linear, RBF & Polynomial Kernels ...
studocu.com
A Robust Handwritten Numeral Recognition Using Hybrid Orthogonal ...
mdpi.com
Fillable Online Reproducing Kernel Functions Represented by Form of ...
pdffiller.com
Fault Diagnosis Method for Engine Control System Based on Probabilistic ...
mdpi.com
A Robust Handwritten Numeral Recognition Using Hybrid Orthogonal ...
mdpi.com
A Robust Handwritten Numeral Recognition Using Hybrid Orthogonal ...
mdpi.com
find a quadratic polynomial whose zeros are negative of the zeros of ...
brainly.in
KERNEL
kernel.iisc.ac.in
System Identification via Polynomial Transformation Method
home.iitk.ac.in
Mind map — lesson. Mathematics State Board, Class 9.
yaclass.in
2.3.2 Newton-Gregory Backward Difference Interpolation polynomial:
archive.nptel.ac.in
Ole Christensen; Khadija Laghrida Christensen Numerical Harmonic ...
ubuy.co.in
Approximation of derivatives using interpolation polynomials - Solved ...
eee.poriyaan.in
Approximation of derivatives using interpolation polynomials - Solved ...
eee.poriyaan.in
Approximation of derivatives using interpolation polynomials - Solved ...
eee.poriyaan.in
What is Kernel and Its main Functions - Operating System Tutorial
sitesbay.com
Flashcard: Polynomials Video Lecture - Mathematics (Maths) Class 9
edurev.in
The graph of a quadratic polynomial y=a x2+b x+c(a, b, c ∈ R) with ...
tardigrade.in
Let y be the real vector space of all polynomials in one variable with ...
scoop.eduncle.com
Types of Polynomial flowchart ? - Brainly.in
brainly.in
Class 10 Maths Chapter 2 Assertion and Reason Questions - Polynomials
edurev.in
The graphs of y – p(x) are given in the figures below, where p(x) is a ...
philoid.in
Mind Map: Polynomials - Mathematics (Maths) Class 10 PDF Download
edurev.in
mind map on polynomials class 10 - Brainly.in
brainly.in
Approximation of derivatives using interpolation polynomials - Solved ...
eee.poriyaan.in
Polynomial Formula - Solved Examples, Types, Equations
pw.live
[Video] Q50 - Let f(x) be a quadratic polynomial in x such that f(x ...
cracku.in
NCERT Textbook - Polynomials - Mathematics (Maths) Class 10 PDF Download
edurev.in
if alpha and beta are the zeros of the quadritic polynomial such that ...
brainly.in
If alpha and beta are the zeroes of the polynomial f(x) = 1 x^2 + mx ...
brainly.in
If one zero of the quadratic polynomial 14x^2 - 42k^2x -9 is negative ...
edurev.in
Polynomials Class 10 Worksheet Maths Chapter 2
edurev.in
Polynomials Class 10 Notes Maths Chapter 2 Free PDF
edurev.in
Class 10 Maths Chapter 2 Assertion and Reason Questions - Polynomials
edurev.in
Linear Algebra: polynomial
gateoverflow.in
Important Definitions and Formulas: Polynomials - Mathematics (Maths ...
edurev.in
Let y=f(x) be a polynomial of degree 4 with real coefficients and ...
tardigrade.in
Roots of Polynomial: Find 1/α + 1/β for x² + x + 1
prepp.in
The graph of a polynomial f ( x ) of degree 3 is as shown in the figure ...
tardigrade.in
Find the value of 'm' if one zero of the polynomial (m^2 +4)x^2 +65x ...
edurev.in
If alpha and beta are zeroes of the polynomial kx^2 4x 4 such that ...
edurev.in
The graphs of y = p(x) are given below for some polynomials p(x) - CBSE ...
ask.learncbse.in
Class 10 Maths Chapter 2 HOTS Questions - Polynomials
edurev.in
Polynomials Class 9 Notes Maths Chapter 2 Free PDF
edurev.in
Flashcard: Polynomials Video Lecture - Mathematics (Maths) Class 9
edurev.in
Geometrical meaning of the zeroes of quadratic polynomial — lesson ...
yaclass.in
The graphs of y – p(x) are given in the figures below, where p(x) is a ...
philoid.in
Ch 2 Polynomial - Class 9 PDF Download
edurev.in
Polynomials for MAT - Books, Notes, Tests 2026-2027 Syllabus
edurev.in
Factorization of Polynomials - Mathematics (Maths) Class 9 PDF Download
edurev.in
Polynomial Identities - The Complete SAT Course - Class 10 PDF Download
edurev.in
NCERT Solutions for Class 9 Maths Chapter 2 - Polynomials (Exercise 2.2)
edurev.in
Flashcard: Polynomials Video Lecture - Mathematics (Maths) Class 9
edurev.in
NCERT Solutions for Class 9 Maths Chapter 2 - Polynomials (Exercise 2.1)
edurev.in
If a and b are the zeros of a quadratic polynomial x square plus x ...
brainly.in
Approximation of derivatives using interpolation polynomials - Solved ...
eee.poriyaan.in
Q.3 A certain polynomial P(x), x = R when divided by x-a, x-band x-c ...
brainly.in
Geometrical meaning of the zeroes of cubic polynomial — lesson ...
yaclass.in
If alfa and beta are the zeroes of the polynomial x^2 +7x+7,find the ...
edurev.in
Approximation of derivatives using interpolation polynomials - Solved ...
eee.poriyaan.in
Find the zeroes of the quadratic polynomial 4s2 – 4s + 1 and verify the ...
iqclasses.in
if alpha and beta are the zeroes of the quadratic polynomial f{x}=2x^2 ...
brainly.in
If one zero of the quadratic polynomial 14x^2 - 42k^2x -9 is negative ...
edurev.in
Flashcard: Polynomials Video Lecture - Mathematics (Maths) Class 9
edurev.in
IXL - Match polynomials and graphs (Class XI maths practice)
in.ixl.com
KERNEL
kernel.iisc.ac.in
Explain to Me : What is the Kernel Trick?
chioka.in
Polynomials Class 10 Worksheet Maths Chapter 2
edurev.in
Polynomials Class 10 PPT
edurev.in
Let y=f(x) be a polynomial function whose degree is less than 6 and y=g ...
tardigrade.in
AS-LEVEL FURTHER MATHEMATICS (9231) – ROOTS OF POLYNOMIALS | Cambridge ...
igcsemaths.in
Fault Diagnosis Method for Engine Control System Based on Probabilistic ...
mdpi.com
Consider the polynomial function f 1( x )= x n , n ∈ N, which is ...
tardigrade.in
PPT: Polynomials - Mathematics (Maths) Class 9 PDF Download
edurev.in
Polynomials, Class 10 Mathematics NCERT Solutions
evidyarthi.in
Approximation of derivatives using interpolation polynomials - Solved ...
eee.poriyaan.in
Newton Interpolation polynomial:
archive.nptel.ac.in
Geometrical meaning of the zeroes of cubic polynomial — lesson ...
yaclass.in
If the polynomial x4 – 6x3 + 16x2 – 25x + 10 is divided by another ...
ask.learncbse.in
Polynomial Equations - Definition, Functions, Types and Examples
mygurukulacademy.in
Class 9 Maths Chapter 2 Question Answers - Polynomials
edurev.in
Let n be a positive integer with f ( n )=1 !+2 !+3 !+ ldots ldots+ n ...
tardigrade.in
Using AOSP Kernel Build
blog.realogs.in
Polynomial ADT - Definition, Structure, Example Operations with Example ...
cse.poriyaan.in
Mind Map: Polynomials - Mathematics (Maths) Class 9 PDF Download
edurev.in
Polynomial Expressions - Preparation for EmSAT Grade 10 PDF Download
edurev.in
maths study : Polynomials and Types of polynomials
mathsstudy.co.in
Polynomials Class 10 Worksheet Maths Chapter 2
edurev.in
Flashcard: Polynomials Video Lecture - Mathematics (Maths) Class 9
edurev.in
Polynomials Class 10 Notes Maths Chapter 2 Free PDF
edurev.in
If Px2+Qx+R is a polynomial having zeroes at x = 1 and -2, find P+Q+R ...
brainly.in
Working model on types of polynomial. Please give an idea that what can ...
brainly.in
Factor Polynomials - Understand In 10 Min (6LiP9sNTxAm)
sharda.ac.in
The zeroes of a polynomial x2 + px + q are twice the zeroes of the ...
iqclasses.in
NCERT Solutions Class 10 Maths | Chapter 2 Polynomial | For 2025-26 ...
oswaalbooks.com
Zeroes of Polynomial - Algebra - Mathematics PDF Download
edurev.in
Demonstration of Autonomous Emittance Characterization at the Argonne ...
mdpi.com
Cheatsheet: Polynomials - Mathematics (Maths) Class 9 PDF Download
edurev.in
NCERT Solutions for Class 10 Maths - Polynomials Exercise 2.3
edurev.in
If the sum of zeroes of the polynomial p(x) = 2x2 - k√2x + 1 is √2 ...
iqclasses.in
Flashcard: Polynomials Video Lecture - Mathematics (Maths) Class 9
edurev.in
Algebraic Identities - Polynomials, Class 9, Mathematics PDF Download
edurev.in
KERNEL
kernel.iisc.ac.in
Polynomials : PPT, Class 9, Mathematics PDF Download
edurev.in
When a polynomial p(x) divided by (x-a) then remainder is a and p(x ...
brainly.in
NCERT Textbook: Polynomials - Mathematics (Maths) Class 9 PDF Download
edurev.in
பல்லுறுப்புச் சார்புகள் - வரையறை, சூத்திரம், தீர்க்கப்பட்ட ...
brainkart.in
Cross-Compiling Android Linux Kernel
blog.realogs.in
Prepare a chart on Polynomials and it‟s classification. Size of chart ...
brainly.in
(Q2) The given linear polynomial y = f(x) has (a) 2 zeros (b) 1 zero ...
iqclasses.in
Polynomials (Exercise 2.1) RD Sharma Solutions - Advance Learner Course ...
edurev.in
NCERT Exemplar: Polynomials - 1 - Mathematics (Maths) Class 10 PDF Download
edurev.in
KERNEL
kernel.iisc.ac.in
The graph of polynomial y= f(x), shown in the figure. Find the number ...
brainly.in
பல்லுறுப்புக் கோவைச் சமன்பாடுகளுக்கான வியட்டாவின் சூத்திரங்கள் (Vieta's ...
brainkart.in
KERNEL
kernel.iisc.ac.in
Operating Systems: A Linux Kernel-Oriented Approach
cse.iitd.ac.in
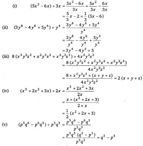
Divide the given polynomial by the given monomial, (i) (5x2 – 6x) ÷ 3x ...
ask.learncbse.in
if α and β are the zeros of the quadratic polynomial p(x)=x^2-k(x+1)-a ...
brainly.in
Related Searches
Polynomial Kernel Function
Polynomial Kernel Formula
One Class Polynomial Kernel
Polynomial Kernel SVM
Polynomial Kernel SVR
Polynomial Kernel of Degree 2
Polynomial Kernel Graphs
Kernel Sigmoidal
Polynomial Kernel Mapping
Sigmoid Kernel
Polynomial Kernel of Degree 2 Matrix
Kernel Trick
Homogeneous Polynomial
Support Vector Machine Polynomial Kernel
Second Order Polynomial
Polynomial Kernel Decision Line
Homogenous Polynomial
Diagram of Polynomial Kernel
Polynomial Kernetl SVM
Polynomial Svc
2nd Order Polynomial
Third Order Polynomial
Linear Regression Kernel
Plot Polynomial Kernel
Polynomial Kernel 3D
Polynomial Kernel Equatino
Quadratic Kernel
5th Order Polynomial Kernel
Polynomial Kernel in SVM Equation
Rumus Kernel Polynomial
Kernel Super Simple
Radial Kernel
Feature Vector for Cubic Polynomial Kernel Function
3rd Order Polynomial
Basis Polynomial Dot Product
Types of Kernel in SVM
Kernel Linear Polinomial RBF
Polynomial Kernel in Machine Learning Diagram
Expansion of Polynomial Products
Homogeneous Lie Polynomial
Parabolic Kernel GIS
Polynomial Transformation Kernel Basis
What Is a Kernel SVM
Super End Karen El
Multihomogenous Polynomial
Polynomial Classification Chart
Radial Kernel Graph
Kernel Mathematics
Polynomial Kernel in Support Vector Machines PNG
Examples of Polynomial Kernel in SVM
Search
×
Search
Loading...
No suggestions found