Find Your Style
Women
Men
Accessories
Search for clothing, brands, styles...
×
Women
Men
Accessories
Population Limits Notes
Search
Loading...
No suggestions found
Population (Class 9 Geography Chapter 6 Notes)
examboard.in
Population Notes - Class 9 PDF Download
edurev.in
class 8 | Short notes Social science chapter 6 | Geography | Human ...
reliableeducationgroups.in
India’s Demography at 2040: Planning Public Good Provision for 21st Century
taxguru.in
Population Mind Map - UPSC Indian Economy CSE PDF Download
edurev.in
Bangalore city profile
wgbis.ces.iisc.ac.in
Human Resources (NCERT Class 8 Geography Chapter 6 Notes)
examboard.in
Class 12 Geography Chapter 2 – The World Population: Distribution ...
amreshacademy.in
Concepts of over-under-and optimum population - Geography Optional for ...
edurev.in
Stats of India | statsofindia.in
statsofindia.in
Population notes - Chapter-6 Geography Population People are themselves ...
studocu.com
NOTES ON POPULATION (PART 1), CHAPTER 6, Class IX, GEOGRAPHY, NCERT ...
edurev.in
Organism and Population Class 12 Notes Biology Chapter 13 [PDF ...
studocu.com
Organisms And Populations - NCERT Book of Class 12 Biology
betrained.in
Population Notes - Class 9 PDF Download
edurev.in
Human Resources (NCERT Class 8 Geography Chapter 6 Notes)
examboard.in
prepare a mind map on the problem of population growth - Brainly.in
brainly.in
Mindmap: Organism and Population - Biology Class 12 - NEET PDF Download
edurev.in
class 8 | Short notes Social science chapter 6 | Geography | Human ...
reliableeducationgroups.in
Population Geography PowerPoint
twinkl.co.in
Rajasthan Census - RPSC Preparation All subjects - RPSC RAS (Rajasthan)
edurev.in
Combined Study of Section 44AB with Section 44AD
taxguru.in
Population Studies - Lecture notes 19 - POPULATION STUDIES The ...
studocu.com
India's Digital Population Census 2027: Caste Enumeration and ...
vajiramandravi.com
Organisms and Population Chapter Notes - Biology Class 12 - NEET PDF ...
edurev.in
How to Exchange Rs 2000 Notes in Bank: Last Date To Exchange, Daily ...
cleartax.in
ICSE Complete Review Notes for Geography – Class 10 (2020-21 Session ...
amazon.in
Seminar ON Kingfisher'S BEAK AND Bullet Train - SEMINAR KINGFISHER’S ...
studocu.com
class 8 | Short notes Social science chapter 6 | Geography | Human ...
reliableeducationgroups.in
Module 4 - Lecture notes - RESEARCH METHODOLGY MODULE IV- SAMPLING ...
studocu.com
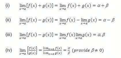
Functions and Limits Notes for Class 12 & IIT JEE
esaral.com
SBI BANK CODE SBCHQ-GEN-PUB-IND-INR MEANING.SBI DIFFERENT TYPES OF ...
digitalhelper.in
Population Studies - Lecture notes 19 - POPULATION STUDIES The ...
studocu.com
CBSE Notes Class 10 Geography Chapter 4 - Agriculture
adda247.com
Notes on Limits Fits and Tolerances - You can check it once. In this ...
studocu.com
Functions and Limits Notes for Class 12 & IIT JEE
esaral.com
Functions and Limits Notes for Class 12 & IIT JEE
esaral.com
Optimum Population Theory - Theories of Population Growth - Geography Notes
prepp.in
Functions and Limits Notes for Class 12 & IIT JEE
esaral.com
Limits - notes - basics engineering Mathematics - Studocu
studocu.com
Class 9 Geography || Chapter 6 जनसंख्या || Population Notes In Hindi ...
amreshacademy.in
Organisms and Population NEET Notes, Download PDF
adda247.com
Functions and Limits Notes for Class 12 & IIT JEE
esaral.com
Supreme Court decision raises concerns about abortion UPSC
iasgyan.in
Population Census-2027 to be Conducted in India Along with Enumeration ...
visionias.in
Limits And Derivatives - NCERT Book of Class 11 Mathematics
betrained.in
Class 9 Geography Chapter 6 Notes - Population Free PDF
edurev.in
TDS and TCS Due Date Chart for FY 2024-25 | AY 2025-26
studycafe.in
Functions and Limits Notes for Class 12 & IIT JEE
esaral.com
Engineering Mathematics Short Notes | Calulus – Functions of Single ...
way2safety.blogspot.com
population registration sample Doc Template | pdfFiller
pdffiller.com
99% Global Population Breathe Air That Exceeds Quality Limits: WHO
odishatv.in
Impact Of Demonetisation Of Rs 500 & 1000 Notes On Travel
traveltriangle.com
collect data on the population of tiger for the last 10 years in India ...
brainly.in
Women and Men in India 2022: Sex ratio improves but female ...
downtoearth.org.in
Genome-wide association studies (GWAS) | Encyclopedia MDPI
encyclopedia.pub
Organisms And Populations - NCERT Book of Class 12 Biology
betrained.in
Haryana GK Notes 2023: All You Need To Know About Haryana Static Awareness
sscadda.com
Income from Salaries - TAX NOTES - CHAPTER 4 HEADS OF INCOME CHAPTER ...
studocu.com
Limits Class 11 Notes Maths
edurev.in
ITR 2 Salary Break-up AY 2025-26 – Details for New ITR-2 Filing
cleartax.in
NEET Ecology Notes | Ecosystem, Population, Biodiversity, Environment ...
topprs.in
sample 送料無料でお届けします - その他
portfolio.cept.ac.in
Foreign Exchange Management Act 1999 (FEMA)
adda247.com
Strategy for Survival: Exploration of the Limits to Further Population ...
amazon.in
China: Shanghai to limit population to 25 million by 2035 to tackle ...
scroll.in
China: Shanghai to limit population to 25 million by 2035 to tackle ...
scroll.in
The Epidemiology and Genetics of Hyperuricemia and Gout across Major ...
mdpi.com
Class 11 Revision Notes Limits and Derivatives - Revision Notes Class ...
studocu.com
TDS Rate Chart FY 2024-25
studycafe.in
Summary of revised SB/SC death claim sanction Limits in Post Office
potoolsblog.in
GSTN issues Advisory on Auto-population of HSN-wise summary from e ...
taxscan.in
Twenty22-India on the move: Gujarat Census 2011 :Snapshotz
twenty22.in
Buy Local Limit Theorems for Inhomogeneous Markov Chains: 2331 (Lecture ...
amazon.in
Florida 2000: Summary Population and Housing Characteristics: 2000 ...
amazon.in
TDS Rate Chart for FY 2024-25
basicshikshanews.in
Important Time Limits in India Constitution (Prelims 2016 ,SSc ,State ...
xaam.in
🏈 It's the Big Game Census 2024!
content.govdelivery.com
RBI extends time limit to Deposit/Exchange 2000 Rupee notes till ...
taxscan.in
RBI Asks Banks to Stop Issuing Rs 2,000 Notes With Immediate Effect ...
thewire.in
Is There A Limit To The Human Population On Earth? | Times Knowledge India
timesknowledge.in
How a Credit Limit is Set And Why Is It Important?
cardinsider.com
Importance of studying economics - Informs decisions Economists provide ...
studocu.com
Draw a double bar graph of both Punjab and odisha ( rainfall of year ...
brainly.in
Section -147 Reopening of Assessment / Reassessment – Horrendous ...
taxguru.in
CA FINAL SCPM - Strategic Cost Management: Last Minute Revision Notes ...
studocu.com
Mains Answer Writing | UPSC | IAG Gyan
iasgyan.in
GST Council notes Clarifications on Taxability of Personal Guarantee ...
taxscan.in
PAN NUMBER
studycafe.in
Demographic transition theory - CLASS ASSIGNMENT Q: Discuss the theory ...
studocu.com
Limit Tests - LIMIT TESTS 1. LIMIT TEST FOR CHLORIDES Apparatus ...
studocu.com
laws of tangent in maths: Definition, Types and Importance | AESL
aakash.ac.in
[New] WHO Air Quality Guidelines 2021 to Save Lives Globally
aqi.in
Currency of Japan, Know about Symbol, Denominations and Facts
currentaffairs.adda247.com
Credit note: Meaning, Format, Uses, Benefits, Process, Time Limit and ...
cleartax.in
Chart: What Are the Average Marriage Ages Around the World? - The Wire
thewire.in
Lifting & Crane safety - Hazards & Precautions - Safety Notes
safetynotes.in
Concept of Efficiency - Economics Concepts, Business Economics and Finance
edurev.in
Some Relief For Aam Aadmi, Old 500 And 1000 Rupee Notes Valid Till Nov ...
indiatimes.com
Notice Of Assessment - Fill Online, Printable, Fillable, Blank | pdfFiller
notice-of-assessment.pdffiller.com
U.S. Supreme Court refuses to 'Free the Nipple' in topless women case
dtnext.in
MCQs On POSB Deceased Claim Sanction Limits | Approver limits of ...
postalstudy.in
CHART SUMMARY OF LIMIT OF AMOUNT OF CASH TRANSACTION UNDER INCOME TAX
studycafe.in
How to download transaction receipt from ICICI Bank?
howtoonline.in
Chapter Notes: Operations on Large Numbers Class 5 Notes | EduRev
edurev.in
PMG Registry Featured Set: Malaysia Complete Set | PMG
pmgnotes.in
[Download] IAS Topper Notes for Geography Optional- VP Gautham (AIR-138 ...
xaam.in
GSTN issues Updated Advisory on GST Invoice Reporting: Time Limit ...
taxscan.in
J&K Delimitation Panel | UPSC Current Affairs | IAS GYAN
iasgyan.in
Credit and debit notes [section 34 of CGST Act, 2017
taxguru.in
Time limit to issue invoices, debit note, credit note under GST
cleartax.in
RBI increases ATM withdrawal limit to Rs 10,000 per card per day ...
ibtimes.co.in
Biocides - Super Concentrate RO Antiscalant & Dispersant Trader ...
rasayan.in
Summary Chart showing Taxation of Shares and Mutual Funds
studycafe.in
Biocides - SDIC : Sodium Dichloroisocyanurate Manufacturer from New Delhi
rasayan.in
Demonetisation: Satish Acharya’s cartoons trace the hardships of note ...
scroll.in
Einstein,Podolsky & Rosen
home.iitk.ac.in
Related Searches
Population Growth Names
Aesthetic Notes Population
Limit Growth Rates
Geography Class 9 Population Notes
Population and Migration
Geography Class 12 Notes
Populations Notes Assignment
Indian Population
Limits to the Population Growth
Population Composition
Population Studies Notes
Population Chapter Notes
Natural Population Growth
Population Census Notes
People and Population Note
Population Growth Factors
Population Limits Visual Graphics
Population Composition Meaning
Class 12th Notes
Class 9 SST Population Notes
Population Growth in Ecology
What Limits Population Growth
Population Geography Math Problems
Geography Grade 10 Population Notes.pdf
What Is the Central Limit Theorem
Revision Guide for the Population
Organisms and Populations Aakash Notes
Us Population Graph
Grade 7 Population Growth Notes
Theorems of Limits
Population Grade 6 Geography
Population Revision Guide Ideas
Population Wittern
Growth Rates Limis
Population Growtth Using Limits
How to Limit Population Growth
Boards Written Population
Graph of Population Growing Without Limits
Populating
Population and Environment Post
Central Limit Theorem Formula
India Population Change
Doodle Notes On Population Geography
Predict the Out Comes of Population Composition
Population and Development Notes.pdf
Ecological Limits and Size of Population
Gowing Popualtion
Limits Involvign Population Growth
Class 12 Geography Ch. 1 Population Notes
Variance Formula of Finite Population in Central Limit Theorem
Search
×
Search
Loading...
No suggestions found