Find Your Style
Women
Men
Accessories
Search for clothing, brands, styles...
×
Women
Men
Accessories
Postcode Quiz
Search
Loading...
No suggestions found
Flipkart’s flagship Competition- WiRED 5.0, Prizes worth INR 2 Lakhs ...
edubard.in
INR Full Form: What is full form of INR?
bankersadda.com
Reliance presents Quizzing Marathon- Quiz-a-thon 6.0, Prizes worth INR ...
edubard.in
Financial Literacy Quiz by NISM - 01. Suppose you put INR 1000 into a ...
studocu.com
Tata Crucible Corporate Quiz 2021, Prizes worth INR 8.86 Lakhs ...
edubard.in
Take This Quiz, Win Food Vouchers Worth INR 2000
lbb.in
Bangladesh ready to lose INR 240 crore but won't play T20 World Cup ...
insidesport.in
BookMyShow Reports INR 192 Crore Profit Driven by Strong Live Events ...
gigx.in
Bangladesh ready to lose INR 240 crore but won't play T20 World Cup ...
insidesport.in
INR 250 Steam wallet code (Digital Code- Email Delivery within 1 hour ...
amazon.in
hi | MyGov.in
secure.mygov.in
Nigeria Postal Codes: A Comprehensive Guide
pay.hkce.edu.in
😊 Second World War Emoji Code Breaking Quiz
twinkl.co.in
ITPS (International Tracked Packet Service) MCQ, Postal One Liners ...
postalstudy.in
PARCEL (MCQ) Quiz Questions and Answers | Business Parcel, Speed Post ...
postalstudy.in
Postalstudy | Post Office Blog | Materials for | Exams
postalstudy.in
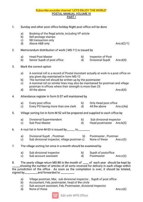
Postal Manual Volume 6 Part 1/Part 3 MCQs/Quiz | GDS To MTS/Postman/PA ...
postalstudy.in
Postal Manual Volume 8 MCQs | IPO/PSS Group B Exam MCQs/Quiz | Postal ...
postalstudy.in
PARCEL (MCQ) Quiz Questions and Answers | Business Parcel, Speed Post ...
postalstudy.in
Postal LDC Exam Important Current Affairs Questions and Answers (50 ...
postalstudy.in
Postal Exams Most Repeated GK (General Knowledge) Questions and Answers ...
postalstudy.in
Postal Exam Monthly MCQ (July 2022) | Post Office LDCE Exam Quiz ...
postalstudy.in
Road Signs Quiz
twinkl.co.in
Postal Quiz questions with answers | Postal Monthly MCQ (One Liners ...
postalstudy.in
MCQ On Postal Rates | Quiz Questions and Answers on Postal Tariff | GDS ...
postalstudy.in
Postal Manual Volume V MCQs/Notes | GDS To PA/SA/Postman/MTS MCQ/Quiz ...
postalstudy.in
Postal Manual Volume 4 MCQs | IPO/PSS Group B Exam MCQs/Quiz | Postal ...
postalstudy.in
Post Office Monthly MCQ (November 2022) | Quiz Questions and Answers on ...
postalstudy.in
BNPL MCQ | Quiz Questions and Answers on Speed Post, Business Parcel ...
postalstudy.in
MCQs on Postal Manual Volume 6 Part 1 | Quiz Questions and Answers on ...
postalstudy.in
MCQs on Postal Manual Volume 6 Part 3 | Quiz Questions and Answers on ...
postalstudy.in
Postalstudy | Post Office Blog | Materials for | Exams
postalstudy.in
Quiz On Banking & Remittances (POSB Schemes) - Postalstudy | Post ...
postalstudy.in
Postal MCQ | Quiz Questions Answers on Post Office June 2022 CIrculars ...
postalstudy.in
Postal Manual Volume II MCQs | IPO/PSS Group B Exam MCQs/Quiz | Postal ...
postalstudy.in
MOCK TEST - ICD 10 CM - ICD 10 CM PRACTICE QUESTIONS - ICD 10 CM ...
studocu.com
Postal Quiz questions with answers | Postal Monthly MCQ (One Liners ...
postalstudy.in
Sharekhan
sharekhan.com
MCQs On GFR 2017 | Quiz On General Financial Rules 2017 | IPO Exam Quiz ...
postalstudy.in
Postal Prohibited Articles MCQ | Quiz Questions and Answers for PO ...
postalstudy.in
DIKSHA - Digital Infrastructure for Knowledge Sharing
diksha.gov.in
नोट पर पहली बार कब दिखे गांधी? अपनी करेंसी को कितना जानते हैं आप ...
aajtak.in
Location and Place QR Code Quiz Cards (teacher made)
twinkl.co.in
Products | Best IT Company in Lucknow - DigiCoders
digicoders.in
Images de Quiz Questions – Téléchargement gratuit sur Freepik
fr.freepik.com
Postal Manual Volume VI Part 3 MCQs | GDS To PA/SA/Postman/MTS MCQ ...
postalstudy.in
Postal Manual Volume II MCQs | IPO/PSS Group B Exam MCQs/Quiz | Postal ...
postalstudy.in
Official Postal articles (Quiz)
potoolsblog.in
Road Safety Quiz PowerPoint – CfE Teaching Resource
twinkl.co.in
Postal Manual Volume 8 MCQs | IPO/PSS Group B Exam MCQs/Quiz | Postal ...
postalstudy.in
FHB Volume 1 MCQ | Postal Financial Hand Book(FHB) Volume I MCQs/Quiz ...
postalstudy.in
Postal Manual Volume V MCQs | GDS To PA/SA/Postman/MTS MCQ | Postal ...
postalstudy.in
The Countryside Code Rule Worksheets | Primary Resource
twinkl.co.in
Post Office Guide Part 2 MCQ | PO Guide Part 2 One Liners, Quiz ...
postalstudy.in
Postal Manual Volume VI Part 1 MCQs | GDS To PA/SA/Postman/MTS MCQ ...
postalstudy.in
Fillable Online HG - Harrogate 4-Digit Postcode Area and District Map ...
pdffiller.com
Postal Manual Volume VI Part 1 MCQs | GDS To PA/SA/Postman/MTS MCQ ...
postalstudy.in
SB Orders 2022 MCQ | Download SB Orders 2022 Quiz Questions Answers One ...
postalstudy.in
Book Of BO Rules | Book Of Branch Post Office Rules | MCQs | Quiz for ...
postalstudy.in
Official Postal Articles MCQ | Quiz Questions and Answers on PO Guide ...
postalstudy.in
Road Safety Quiz - Twinkl - KS1 Resources - PSHE
twinkl.co.in
Vitamin B12 Report Format | MS Word & Pdf
labsmartlis.com
IPO Exam Quiz | IPO Exam MCQs (Multiple Choice Questions & Answers ...
postalstudy.in
Wayground – Apps on Google Play
play.google.com
DAA all-quizzes - Good - Courses » Design and Analysis of Algorithms 1 ...
studocu.com
Postal Manual Volume 4 MCQs | IPO/PSS Group B Exam MCQs/Quiz | Postal ...
postalstudy.in
Postal Manual Volume VI Part 3 MCQs | GDS To PA/SA/Postman/MTS MCQ ...
postalstudy.in
Netflix says Paramount bid 'doesn't pass sniff test' as Warner battle ...
in.marketscreener.com
GDS to MTS MCQ Series Part 1 - Postalguide
postalguide.in
MCQ On Redirection of Postal Articles | Quiz Questions and Answers on ...
postalstudy.in
SEN Code of Practice Training Quiz (teacher made) - Twinkl
twinkl.co.in
Postal Manual Volume II MCQs | IPO/PSS Group B Exam MCQs/Quiz | Postal ...
postalstudy.in
Percentages -Quiz for postal examination
potoolsblog.in
Buy Postcode Sector - (S4) - South East England - Wall -Plastic Coated ...
desertcart.in
[FREE] Best Online Multiple Choice Html Quiz Generator - 3schools
3schools.in
Postal Manual Volume II MCQs | IPO/PSS Group B Exam MCQs/Quiz | Postal ...
postalstudy.in
bing+news+quiz+answers+2024+today+groblersdal+postal+worker - EduRev Search
edurev.in
Graduate Aptitude Test-Biotechnology (GAT-B) Previous Years' Paper (Solved)
mystore.in
Swachh Bharat MCQ | Quiz Question and Answers on Swachh Bharat Mission ...
postalstudy.in
Postal Manual Volume VI Part 3 MCQs | GDS To PA/SA/Postman/MTS MCQ ...
postalstudy.in
The Da Vinci Code Quiz Book (Novel Trivia 1) eBook : Wheelwright, Wayne ...
amazon.in
India shining: Rupee inches closer to becoming international currency ...
timesnownews.com
Philately MCQ | Quiz Questions and Answers on Philately | Post Office ...
postalstudy.in
Postal LDC Exams Most Important Genral Knowledge (GK) Question Answers ...
postalstudy.in
Unlocking JavaScript Modern Coding: Understanding Code Through Examples ...
amazon.in
Funny Personality Quiz - App on Amazon Appstore
amazon.in
Postal Manual Volume II MCQs | IPO/PSS Group B Exam MCQs/Quiz | Postal ...
postalstudy.in
Postal Manual Volume V MCQ | Postal Manual Volume 5 Definitions One ...
postalstudy.in
IPO Exam MCQ Book by Postal Examination Preparation | 3700 Quiz ...
postalstudy.in
KS2 Morse Code Worksheet (teacher made) - Twinkl
twinkl.co.in
Postal Manual Volume 8 MCQs | IPO/PSS Group B Exam MCQs/Quiz | Postal ...
postalstudy.in
Postal Products and Services MCQ | Quiz Questions and Answers on Post ...
postalstudy.in
Postal Manual Volume V MCQs/Notes | GDS To PA/SA/Postman/MTS MCQ/Quiz ...
postalstudy.in
Latest IPPB MCQs | New Quiz Questions and Answers on IPPB in PDF ...
postalstudy.in
LTC Questions and Answers (MCQ) | LTC (Leave Travel Concession) Quiz ...
postalstudy.in
GDS To PA/SA/Postman/MTS MCQ | PO Guide Part 2 MCQs-56 Questions and ...
postalstudy.in
नोट पर पहली बार कब दिखे गांधी? अपनी करेंसी को कितना जानते हैं आप ...
aajtak.in
Data Entry Skill Test (DEST) for PA SA Exam 2023 | Postal Assistant (PA ...
postalstudy.in
Postal Manual Volume 4 MCQs | IPO/PSS Group B Exam MCQs/Quiz | Postal ...
postalstudy.in
नोट पर पहली बार कब दिखे गांधी? अपनी करेंसी को कितना जानते हैं आप ...
aajtak.in
Postal Manual Volume 4 MCQs | IPO/PSS Group B Exam MCQs/Quiz | Postal ...
postalstudy.in
MCQs On Postal Articles Recovery Of Dues In Respect Of Unpaid and ...
postalstudy.in
1 million dong in indian rupees - Brainly.in
brainly.in
Postal Manual Volume V MCQs | GDS To PA/SA/Postman/MTS MCQ | Postal ...
postalstudy.in
CCS CCA 1965 MCQ | CCS CCA (Central Civil Services (Classification ...
postalstudy.in
India and Malaysia can now trade in Indian rupee
currentaffairs.adda247.com
10 Short Riddle Ideas for Kids
twinkl.co.in
Book Of BO Rules | Book Of Branch Post Office Rules | MCQs | Quiz for ...
postalstudy.in
Code of Conduct for Government Employees Final Quiz Answers - Postalguide
postalguide.in
Buy UK Postcode Wall - Laminated Large Wall - 120cm X 83cm - Clearly ...
desertcart.in
Buy Code Lyoko Trivia Book: Everthing You Need to Know about Code Lyoko ...
desertcart.in
नोट पर पहली बार कब दिखे गांधी? अपनी करेंसी को कितना जानते हैं आप ...
aajtak.in
Postal Manual Volume V MCQs | GDS To PA/SA/Postman/MTS MCQ | Postal ...
postalstudy.in
POSB Interest Rates Chart for the period from 01.07.2021 to 30.09.2021 ...
postalstudy.in
Postal Manual Volume V MCQs | GDS To PA/SA/Postman/MTS MCQ | Postal ...
postalstudy.in
Women's Formal Watches – oscpnitin
test-shivani.myshopify.com
GDS To PA/SA/Postman/MTS MCQ | PO Guide Part 2 MCQs-56 Questions and ...
postalstudy.in
Postal Manual Volume 4 MCQs | IPO/PSS Group B Exam MCQs/Quiz | Postal ...
postalstudy.in
Duties of Letter Box Peon | MCQ Quiz Questions and Answers on Letter ...
postalstudy.in
Group B Exam Question Paper for the year 2020 - Postalstudy | Post ...
postalstudy.in
Related Searches
Liverpool Postcode
Postcode for UK
Valid UK Postcode
Postcode Meaning
Postcode Number
Pick My Postcode
Fake Postcode
English Postcodes
UK Postcode List
SS Postcode
Liverpool Postcode Areas
Postcode Lottery Presenters
Quiz About the UK
Funny Postcodes
Me Postcode Area Map
Audlem Postcode
Postcode Loterij
Belfast Postcode Map
UK Postcode Format
Example of Postcode
Postocode
AB Postcode Map
Postcode Map Plotter
Postcodes UK Finder
Define Postcode
Spreadsheet for Postcodes
0L44bb Postcode
Birmingham Postcode Map
Postcode. Sign
Picture Rounds On Quiz
Postcode Shfaram
Merseyside Liverpool Postcode
Check These Postcodes
United Kingdom Postcode
Book of Postcodes
Quiz Picture Rouynds
What Polar Is My Postcode
Full Post Code London
Picture Quiz Postcode Chemistry
HU Postcode
Decode Postcode
W POS Codes
UK Postcode Sample
Postcode Elements
Quiz and Bingo
How to Write Postcode
Postcode Parts
UK Postcode Reference
Weird Postcode
2845 Postcode
Search
×
Search
Loading...
No suggestions found