Find Your Style
Women
Men
Accessories
Search for clothing, brands, styles...
×
Women
Men
Accessories
Ppo Algorithm Formula Basic Math Terms
Search
Loading...
No suggestions found
All Integration Formulas PDF and Sheet for Class 12 Students
adda247.com
Introduction to Algorithm and Data Structures | As per SPPU syllabus
dse.cwipedia.in
Arithmetic progression, Sum, Formula, Notes, Class 10 Ch-5
adda247.com
Backpropagation
niser.ac.in
Rules Of Algebra: Basics Of Algebra
superprof.co.in
Find LCM(Least Common Multiple)of two Numbers.Draw a flowchart ...
brainly.in
The Luhn algorithm illustrated - Example of the Luhn algorithm in practice
stripe.com
Metlife Dental Ppo Plan - Fill Online, Printable, Fillable, Blank ...
pdffiller.com
Logarithm Formula- Explanation, Types, Properties, Examples
adda247.com
formula for sum of terms in GP - Brainly.in
brainly.in
DeepSeek用的GRPO占用大量内存?有人给出了些破解方法
sechub.in
what is division algorithm for polynomial Related: Important ...
edurev.in
F2L Method Explained: Why It Is Essential to Learn F2L to Solve Cube
cubelelo.com
Geometry Formulas- Perimeter, Area, Volume, Examples
adda247.com
What is the Mean in Maths? Definition & Examples | Twinkl
twinkl.co.in
Differentiation Formula, Definition, Concept and Examples
careerpower.in
Important Definitions and Formulas: Polynomials - Mathematics (Maths ...
edurev.in
Important Definitions & Formulas: Polynomials | Mathematics (Maths ...
edurev.in
What is the Mean in Maths? Definition & Examples | Twinkl
twinkl.co.in
Important Definitions and Formulas: Polynomials - Mathematics (Maths ...
edurev.in
Buy Mathematics Formula & Definitions Book Online at Low Prices in ...
amazon.in
Buy Math Keywords - Laminated, 17 x 22 inches - Math Words/Vocabulary ...
desertcart.in
All Algebraic Formulas PDF, Class 10 & 12 Maths Identities
adda247.com
Important Definitions and Formulas: Statistics - Mathematics (Maths ...
edurev.in
Important Formulas of Mathematics Class 10 | NCERT Chapter 6 to 10 ...
esaral.com
Simple Interest in Bengali: Definitions, Formula, Tricks, and Example
adda247.com
Important Definitions and Formulas: Pair of Linear Equations in Two ...
edurev.in
Was ist ein Algorithmus? PowerPoint-Präsentation
twinkl.co.in
Maths Formulas Definitions Equations Theorems For School Students and ...
amazon.in
Important Definitions and Formulas: Polynomials - Mathematics (Maths ...
edurev.in
Important Definitions and Formulas: Polynomials - Mathematics (Maths ...
edurev.in
Important Definitions and Formulas: Triangles - Mathematics (Maths ...
edurev.in
Important Definitions and Formulas: Real Numbers - Mathematics (Maths ...
edurev.in
Important Definitions and Formulas: Polynomials - Mathematics (Maths ...
edurev.in
Important Definitions and Formulas: Triangles - Mathematics (Maths ...
edurev.in
Major Financial Changes from 1st April 2025: UPI Rules, Minimum Balance ...
cleartax.in
Buy Math Keywords s - Laminated, 17 x 22 inches - Math Words/Vocabulary ...
desertcart.in
Bellman-Ford Algorithm - Algorithms - Computer Science Engineering (CSE ...
edurev.in
Buy Engineering mathematics handbook: Definitions, theorems, formulas ...
amazon.in
How to Calculate GST in Excel Sheets?
cleartax.in
How to Memorize Speedcube Algorithms Faster - Cubelelo
cubelelo.com
Important Formulas of Maths Class 10 | NCERT Ch 1 to 5 | Mind Map
esaral.com
Function derivative
niser.ac.in
Important Definitions and Formulas: Pair of Linear Equations in Two ...
edurev.in
Fourier Transform Pair - Inversion Formula For Fourier Transform
civil.poriyaan.in
Mathematics Formula Chart [Hindi Edition] [For Class 9,10,11,12 & All ...
flipkart.com
How to Calculate GST in Excel Sheets?
cleartax.in
Math Vocabulary Posters-Arabic-English (teacher made)
twinkl.co.in
Maths Formulas for Class 6 to 10, Download PDF
adda247.com
Standard Algorithm - Math Division Worksheets
twinkl.co.in
1) To display the even numbers between 1 to 100.Write an algorithm and ...
brainly.in
OVERVIEW OF THERMAL-FLUID SCIENCES: THERMODYNAMICS, HEAT TRANSFER, AND ...
amazon.in
41. the recursion relation to solve x= e using newton-raphson's method ...
scoop.eduncle.com
Solved: What do Abraham Maslow's and Carl Rogers's theories have in ...
gauthmath.com
Goyal ICSE Foundation Math for Class 8 - Latest for 2025-26 Session ...
thebookmasters.in
Algorithm and flowchart to find area and perimeter of circle - Brainly.in
brainly.in
How to Solve Rubik's Cube | 5 Easy Steps | Step by Step Instructions
cubelelo.com
CBSE Class 10 Math Basic Sample Paper 2023 with solutions and marking ...
indiatoday.in
Strassen’s Matrix Multiplication - Algorithms - Computer Science ...
edurev.in
How to Calculate GST in Excel Sheets?
cleartax.in
Write an algorithm and draw a flowchart to print the nos from 1 to 10 ...
brainly.in
How to Use Excel Like a Pro: 29 Easy Excel Tips, Tricks, & Shortcuts - Blog
appsmanager.in
How to Calculate GST in Excel Sheets?
cleartax.in
Define algorithm and explain different symbols used in flowchart ...
gtu-paper-solution.com
How to Calculate GST in Excel Sheets?
cleartax.in
50+ Repeated Subtraction worksheets for 6th Class on Quizizz | Free ...
wayground.com
Ashwani Blog
blog.ashwanikumarsingh.in
SONOFF Basic R4 WiFi ESP32 Chip Smart Switch 10A 2400W Smart Scene ...
b2b.itead.in
Viscosity Formula, Symbol, Viscosity of Water Meaning, Unit
adda247.com
Math AA SL-Formula Booklet - © International Baccalaureate Organization ...
studocu.com
Segment of a Circle: Definitions, Types, Area with Formula, How to ...
collegesearch.in
How to Calculate GST in Excel Sheets?
cleartax.in
What is Set Mathematics? - Answered - Twinkl Teaching Wiki
twinkl.co.in
Explain DFS and BFS with example | summer-2014
gtu-paper-solution.com
Fillable Online ACT MATH FORMULA REVIEW Fax Email Print - pdfFiller
pdffiller.com
Question and Answer - MindStudy
mindstudy.in
All Integration Formulas- PDF, List, Sheet for Class 12
adda247.com
Important formulas in 10th class for mathematics - Brainly.in
brainly.in
Maths formulas of class 8 maharashtra state board - Brainly.in
brainly.in
CBSE Class 10 Math Basic Sample Paper 2023 with solutions and marking ...
indiatoday.in
write an algorithm and draw a flow chart to find sum of digits of a ...
brainly.in
CBSE Class 10 Math Basic Sample Paper 2023 with solutions and marking ...
indiatoday.in
Partial Thromboplastin Time Wikipedia, 58% OFF
elevate.in
CBSE Releases Class 12 Mathematics Syllabus 2022-23
studycafe.in
Algorithms and Flow Chart - C Tutorial | Study Glance
studyglance.in
Math Real World Problems Worksheets | Math Activity
twinkl.co.in
Explain the working of the Prim’s algorithm with suitable example ...
gtu-paper-solution.com
How to Calculate GST in Excel Sheets?
cleartax.in
Culture of Animal Cells: A Manual of Basic Technique and Specialized ...
amazon.in
Units and Dimensions
physicsadvisor.in
These Basic Math Riddles Will Make You Scratch Your Head.
jagranjosh.com
What is the Golden Ratio? - Twinkl
twinkl.co.in
Derive the expression in an optical fibre for (i) Acceptance angle (ii ...
akhandduttaengineering.in
Working Principle of Transformer: Definitions, Examples, Parts, and ...
collegesearch.in
Self Determination Theory Basic Psychological Needs In Motivation ...
desertcart.in
The radius of first Bohr orbit of hydrogen atom is 0.529 A - CBSE Class ...
ask.learncbse.in
How to Calculate GST in Excel Sheets?
cleartax.in
.Write an algorithm and draw a flowchart to print N odd numbers ...
brainly.in
Solve the following algebra questions for practice of SSC CGL
qmaths.in
50+ Repeated Addition worksheets for 8th Class on Quizizz | Free ...
quizizz.com
What is an Outlier? (teacher made)
twinkl.co.in
Indefinite Integral Formulas - LearningScience
learningscience.co.in
Buy Kindergarten Math Worksheets, Numbers 1-10 Comparing Numbers ...
etsy.com
The ratio of average shear stress to maximum shear stress in a prismat ...
zonetech.in
Which of the following sorting algorithms has the lowest worst-case ...
edurev.in
what do you mean by Young's modulus of elasticity drive the formula for ...
brainly.in
CBSE Class 10 Maths Board Exam on March 21: Check Topper Answer Sheet ...
jagranjosh.com
De Broglie Wavelength Equation | Science Vision
sciencevision.in
CBSE Class 10 Math Basic Sample Paper 2023 with solutions and marking ...
indiatoday.in
Basic Mathematical Operation
marabommaikadai.in
Bank Statement Worksheet (teacher made) - Twinkl
twinkl.co.in
Valency of first 50 elements - Brainly.in
brainly.in
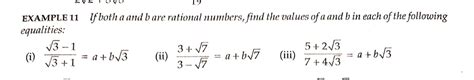
if both a and b are rational numbers , find the values of a and b in ...
brainly.in
Which sorting algorithm has the best asymptotic runtime complexity ...
brainly.in
50+ Repeated Subtraction worksheets for 6th Class on Quizizz | Free ...
wayground.com
50+ Repeated Addition worksheets for 8th Class on Quizizz | Free ...
quizizz.com
50+ Repeated Subtraction worksheets for 6th Class on Quizizz | Free ...
wayground.com
NCERT Solutions for Class 8 Maths - Amresh Academy
amreshacademy.in
50+ Repeated Addition worksheets for 8th Class on Quizizz | Free ...
wayground.com
ICSE Class 10 Mathematics Syllabus 2023 - 2024: Unit-wise Class 10th ...
jagranjosh.com
Search
×
Search
Loading...
No suggestions found