Find Your Style
Women
Men
Accessories
Search for clothing, brands, styles...
×
Women
Men
Accessories
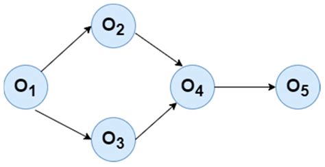
Precedence Relationship
Search
Loading...
No suggestions found
Salary 40,000 INR | Customer Relationship Manager at Sehgal Wheels ...
job-corner.in
Mast Masala Oats | TATA Soulfull | INR 209/- only
soulfull.co.in
ValueQuest Enters PE Segment With INR 1,000 Cr Fund
businessoutreach.in
IPL 2023 Auction: Afghanistan's Naveen-ul-Haq bought by LSG for INR 50 lakh
aninews.in
Scheduling Precedence Constraints among Charging Tasks in Wireless ...
mdpi.com
Scheduling Precedence Constraints among Charging Tasks in Wireless ...
mdpi.com
Scheduling Precedence Constraints among Charging Tasks in Wireless ...
mdpi.com
Project Schedule Management (Time Management)
itechgurus.org
Scheduling Precedence Constraints among Charging Tasks in Wireless ...
mdpi.com
Modeling and Optimization of Assembly Line Balancing Type 2 and E (SLBP ...
mdpi.com
Modeling and Optimization of Assembly Line Balancing Type 2 and E (SLBP ...
mdpi.com
Operator precedence relations - Viable prefixes: a is a viable prefix ...
studocu.com
A small maintenance project consists of the following 10 jobs, whose ...
edurev.in
Network Analysis: CPM - Construction Materials and Management - Civil ...
edurev.in
Solving infix to postfix conversion when there comes same operator in stack
scoop.eduncle.com
CPM and Pert Network Modelling and Time Analysis - Construction Planning
civil.poriyaan.in
Modeling and Optimization of Assembly Line Balancing Type 2 and E (SLBP ...
mdpi.com
Relationships in DBMS - DBMS Tutorial | Study Glance
studyglance.in
Warfarin
firsthope.co.in
A Multi-Stage Methodology for Long-Term Open-Pit Mine Production ...
mdpi.com
Evaluation of Waste Electronic Product Trade-in Strategies in ...
mdpi.com
GATE Past Year Questions: Network Models - Industrial Engineering ...
edurev.in
Evaluation of Waste Electronic Product Trade-in Strategies in ...
mdpi.com
A Multi-Stage Methodology for Long-Term Open-Pit Mine Production ...
mdpi.com
Which among the following operator has highest precedence? - Brainly.in
brainly.in
Precedence Diagram Method: Buy Precedence Diagram Method by unknown at ...
flipkart.com
Evaluation of Waste Electronic Product Trade-in Strategies in ...
mdpi.com
construct a network for the project whose activities and precedence ...
brainly.in
Operating System: GATE CSE 1998 | Question: 24
gateoverflow.in
USD/INR Breaking Imp. Trendline; Is Nifty 50 Topping Out? | Investing ...
in.investing.com
Project Schedule Management (Time Management)
itechgurus.org
GATE CSE 2017 Set 2 | Question: 11 - GATE Overflow for GATE CSE
gateoverflow.in
Order of Precedence of the Government of India
legalbites.in
Reflexive, Symmetric, Transitive, Equivalence & Number of Relations | AESL
aakash.ac.in
Buy Precedence and Arrow Networking Techniques for Construction Book ...
amazon.in
Supplier Relationship Management (SRM): Strategy, KPIs, And Tools
leadsquared.com
A Multi-Stage Methodology for Long-Term Open-Pit Mine Production ...
mdpi.com
Scheduling Precedence Constraints among Charging Tasks in Wireless ...
mdpi.com
Blood Relations- Types, Questions, Solutions, Tricks
sscadda.com
CBSE Relations and Functions Class 12 Mind Map for Chapter 1 of Maths ...
jagranjosh.com
23 Draw the network for the project whose activities and their ...
brainly.in
Parseval 's Relation (or) Theorem (or) Identity - Examples
civil.poriyaan.in
precedence इन हिंदी - precedence का अर्थ - precedence मीनिंग इन हिंदी
hindlish.in
Operator precedence - these note for python students - Bsc. Computer ...
studocu.com
Blood Relation, Types, Chart, Reasoning Tricks and Questions
sscadda.com
Modeling and Optimization of Assembly Line Balancing Type 2 and E (SLBP ...
mdpi.com
Blood Relation, Types, Chart, Reasoning Tricks and Questions
sscadda.com
CPM and Pert Network Modelling and Time Analysis - Construction Planning
civil.poriyaan.in
My Relationship Circles Worksheet | Twinkl Resources
twinkl.co.in
4.jpg
vedveethi.co.in
Buy TOTWOO Products Online at Best Prices in India | Ubuy
ubuy.co.in
GATE Past Year Questions: Network Models - Industrial Engineering ...
edurev.in
IANSWIRE
ians.in
Is This A Good Relationship? Worksheet (teacher made)
twinkl.co.in
India Nepal Relations
studyiq.com
Jaw relation santhosh - Copy - CONTENTS Introduction Guidelines ...
studocu.com
Modeling and Optimization of Assembly Line Balancing Type 2 and E (SLBP ...
mdpi.com
Arrange the operator given below in order of higher to lower precedence ...
brainly.in
Navon Task | Guide & template | Experiments on Testable
testable.org
Interplanar spacing,simple crystal structure - 10 INTERPLANAR SPACING c ...
studocu.com
Precedence IT Services | Process
precedenceit.in
Centre state relations upsc notes 42 - Centre-State Relations [UPSC ...
studocu.com
The relation between Youngs modulus (E) and bulk modulus (K) is given ...
edurev.in
Modeling and Optimization of Assembly Line Balancing Type 2 and E (SLBP ...
mdpi.com
A Multi-Stage Methodology for Long-Term Open-Pit Mine Production ...
mdpi.com
Venn Diagrams - VENN DIAGRAMS Which of the following diagrams indicates ...
studocu.com
How To Have A Healthy Relationship | Femina.in
femina.in
Blood Relation Questions for CUET PG and Law Exams
adda247.com
Optimization techniques - Basic Steps in PERT / CPM Planning. The ...
studocu.com
‘Democracy takes precedence’: Denmark moves to extend veil ban to ...
msn.com
Structure–Activity Relationship Studies Based on Quinazoline ...
mdpi.com
2023-12-12 iphone SE
sunwize.co.in
verbal reasoning on blood relation Questions and Answers | ExamFriend ...
examfriend.in
PERT CPM MCQ industrial engineering mcq
homeacademy.in
State the formula giving relation between electric field intensity and ...
brainly.in
The unit vectors satisfy the following relationships
archive.nptel.ac.in
Ishani Dave & Rishikesh Gadhvi Live – DAIICT Garba 2025 | AllEvents
allevents.in
Relationship 3 – Abir Space
abirspace.com
precedence meaning in Hindi | precedence के हिंदी अर्थ | हिन्दवी डिक्शनरी
hindwidictionary.com
Parent/Teacher Communication Tips
twinkl.co.in
Anticoagulation in Acute Pulmonary Embolism: Which Drug? How Long ...
universimed.com
What is a Predator? - Answered - Twinkl Teaching Wiki
twinkl.co.in
Reflexive, Symmetric, Transitive, Equivalence & Number of Relations | AESL
aakash.ac.in
explain the relationship between AC and MC - Brainly.in
brainly.in
Relation between cp and cv? - EduRev Class 11 Question
edurev.in
Blood Relations
campusgate.in
A Tax team determined their audit client could benefit from a tax ...
brainly.in
Relationship 2 – Abir Space
abirspace.com
Modeling and Optimization of Assembly Line Balancing Type 2 and E (SLBP ...
mdpi.com
Find the relation between LCM and HCF. - Brainly.in
brainly.in
Relation between electric field E and current density J derive it ...
brainly.in
Warfarin Dose Adjustment Chart - Fill Online, Printable, Fillable ...
pdffiller.com
Blood thinning Diet: Foods to eat and foods to avoid | Sprint Medical
sprintmedical.in
Relation between Law and Morality
legalbites.in
precedence इन हिंदी - precedence का अर्थ - precedence मीनिंग इन हिंदी
hindlish.in
Tally intoducion - +91 9902882559 tallybooks@sahajindia Home About us ...
studocu.com
precedence meaning in Hindi | precedence के हिंदी अर्थ | हिन्दवी डिक्शनरी
hindwidictionary.com
Cancer Horoscope Today, 1st October 2025 – Relationships, Balance ...
economictimes.indiatimes.com
Unit - sem 1 notes - PARUL UNIVERSITY - FACULTY OF ENGINEERING ...
studocu.com
Falcon Firewall Management: Host Firewall
electroon.com
11 Which of the following Venn diagrams best represents the ...
brainly.in
भारत-म्यांमार संबंध
adda247.com
Stream Ranbir Learns of Guruji's Relation Season 1 Episode 97 – Ranbir ...
hotstar.com
Legislative relations between centre and state - Legislative relations ...
studocu.com
Unit 4 - This notes are useful all of the students - Unit 4 ...
studocu.com
5 tips for acing an online job interview | TechGig
content.techgig.com
Warrant of Precedence Issued by the President's Secretariat ...
delhiassembly.delhi.gov.in
Business Models and Sustainability Plans in the FinTech, InsurTech, and ...
mdpi.com
drive the relation between linear velocity and angular velocity ...
brainly.in
INFIX EXPRESSION TO POSTFIX USING STACK - EXPERIMRNT 5 INFIX EXPRESSION ...
studocu.com
What is the weight of the ethyl alcohol that exactly fills a 185. 0 mL ...
brainly.in
When producing a movie, the post production can only begin once the ...
brainly.in
14 Warning Signs Of A Toxic Relationship You Should Never Ignore ...
femina.in
Coagulation Analyzer - Micropoint Q3 Pro Electrometer PT-INR Wholesaler ...
r2healthcare.in
Evaluation of Waste Electronic Product Trade-in Strategies in ...
mdpi.com
Union Bank of India Account Statement - Paisabazaar
paisabazaar.com
FriendsSquare
friendssquare.in
Modeling and Optimization of Assembly Line Balancing Type 2 and E (SLBP ...
mdpi.com
Embassy of India, Monrovia, Liberia
indianembassymonrovia.gov.in
how did you get -2.303 in the picture attached below in the final steps ...
brainly.in
Related Searches
Precedence Chart
Precedence Network Diagram
Precedence Diagram Example
Precedence Diagramming
Precedence Diagram Method
Order of Precedence
Start to Finish Relationship
Precedence Relations
Aon Precedence Diagram
Precedence Meaning
Precedence Table
Precedence Relationships Project Management
Activity Precedence Diagram
Precedence Diagram Method Software
Precedence Mapping
Precedence Math
Precedence Diagram Template
The Different Relationships in a Precedence Diagram
Define Precedence
Precedence Diagramming Method PMP
Apply Precedence
Precedence Relation Table
Precedence Research
Historical Precedence
Predecessor Activity
SQL Precedence
Precedence Studies
Precedence Definition
PDM Relationships
Precedence of Law
Precedence Notation
Precedence Rule
Line Precedence
Precedence Vocabulary Meaning
Take Precedence
Precedence It
Critical Path Method
How to Do Precedence Diagrams
SQL Query Precedence
Mathematical Precedence
Highest Precedence
Precedent Diagramming
Data Type Precedence
Dependency Relationship in Project Management
Precedence Rules Computer Science
Scriptures Precedence
Construction Order of Precedence
Precedence Synonym
Precedence Study in Design
Precedence in Tagalog
Search
×
Search
Loading...
No suggestions found