Find Your Style
Women
Men
Accessories
Search for clothing, brands, styles...
×
Women
Men
Accessories
Predoxide 50mg
Search
Loading...
No suggestions found
BAKE
BAKE 3% Benzoyl Peroxide + Peptide Milky Face Wash - 100ml
317
myntra.com
Purexa
Purexa Set Of 4 Peroxide Mouthwash For Strain Removal - 100 ml Each
289
myntra.com
Purexa
Purexa Set Of 3 Peroxide Mouthwash For Strain Removal - 100 ml Each
219
myntra.com
Replenix Acne Solutions Benzoyl Peroxide Wash Face Wash - Price in ...
flipkart.com
The Derma Co 2.5% Benzoyl Peroxide Gel Face Wash - Price in India, Buy ...
flipkart.com
The Derma Co 2.5% Benzoyl Peroxide Gel Face Wash - Price in India, Buy ...
flipkart.com
The Derma Co 2.5% Benzoyl Peroxide Gel Face Wash - Price in India, Buy ...
flipkart.com
Panoxyl Acne Foaming Wash Benzoyl Peroxide Face Wash - Price in India ...
flipkart.com
The Derma Co 2.5% Benzoyl Peroxide Gel Face Wash - Price in India, Buy ...
flipkart.com
Humane Benzoyl Peroxide 10% Acne Treatment Body & Face Wash - Price in ...
flipkart.com
Panoxyl 4% Benzoyl Peroxide Acne Creamy Wash 6 oz Face Wash - Price in ...
flipkart.com
The Derma Co. 2.5% Benzoyl Peroxide Gel Face Wash | With Ceramide ...
amazon.in
The Derma Co. 2.5% Benzoyl Peroxide Gel Face Wash | With Ceramide ...
amazon.in
The Derma Co. 2.5% Benzoyl Peroxide Gel Face Wash | With Ceramide ...
amazon.in
Buy Bake 2% Salicylic Acid + Benzoyl Peroxide Body Acne Clearing Soap ...
clinikally.com
Buy Bake 2% Salicylic Acid + Benzoyl Peroxide Body Acne Clearing Soap ...
clinikally.com
Buy Bake 2% Salicylic Acid + Benzoyl Peroxide Body Acne Clearing Soap ...
clinikally.com
DrSong Dr Song Benzoyl Peroxide Wash 10% - Acne Treatment India | Ubuy
ubuy.co.in
Panoxyl Panoxyl Acne Foaming Wash 10% Benzoyl Peroxide 5.5 Oz Face Wash ...
flipkart.com
Buy Clean & Clear Continuous Control Benzoyl Peroxide Acne Face Wash ...
ubuy.co.in
Buy Clean & Clear Continuous Control Benzoyl Peroxide Acne Face Wash ...
ubuy.co.in
DermDoc 2.5% Benzoyl Peroxide Face Wash For Clear Skin
buydermdoc.com
Buy Humane Maximum-Strength Acne Wash - 10% Benzoyl Peroxide Acne ...
ubuy.co.in
Neutrogena Rapid Clear Stubborn Acne Face Wash with 10% Benzoyl ...
amazon.in
Buy Neutrogena Rapid Clear Stubborn Acne Face Wash with 10% Benzoyl ...
ubuy.co.in
Clindamycin 1% + Benzoyl Peroxide 5% Cream Medox Pharmaceuticals
company.pharmahopers.com
Buy Acne Foaming Wash Benzoyl Peroxide 10% Maximum Strength ...
ubuy.co.in
MANKIND AcneStar Soap 75 gm - Benzoyl Peroxide Soap Bar Price in India ...
flipkart.com
Conidap - Adapalene & Benzoyl Peroxide gel - Ronish Bioceuticals
pharmavends.com
MANKIND AcneStar Soap 75 gm - Benzoyl Peroxide Soap Bar Price in India ...
flipkart.com
Buy RM Benzoyl Peroxide Face & Body Gel 5% Medical grade Micronized ...
ubuy.co.in
Bzostar - Benzoyl Peroxide 5% Gel - Ronish Bioceuticals
pharmavends.com
Benzonix Gel Wash 50 gm Price, Uses, Side Effects, Composition - Apollo ...
apollopharmacy.in
Buy BENZOYL PEROXIDE 2.5% HIGHLY POTENT FORMULATION FOR EFFECTIVE ...
pharmeasy.in
Benzoyl Peroxide vs. Salicylic Acid, Good for Acne? | LovelySkin
lovelyskin.com
Brevoxyl 4 % Face Wash (50): Uses, Side Effects, Price & Dosage | PharmEasy
pharmeasy.in
Is there any benefit to using an acne face wash under your arms ...
vogue.in
The Derma Co. 2.5% Benzoyl Peroxide Spot Corrector | With Niacinamide ...
amazon.in
Brevoxyl 4 % Face Wash (50): Uses, Side Effects, Price & Dosage | PharmEasy
pharmeasy.in
Salicylic Acid VS Benzoyl Peroxide
thedeconstruct.in
Dr. Zenovia Skincare 10% Benzoyl Peroxide Acne Cleanser | LovelySkin
lovelyskin.com
CLEAR Daily Skin Clearing Treatment | 2.5% Benzoyl Peroxide | Paula's ...
paulaschoice.com
CLEAR Daily Skin Clearing Treatment | 2.5% Benzoyl Peroxide | Paula's ...
paulaschoice.com
Skin Care Tips for Acne: Salicylic Acid vs Benzoyl Peroxide for Pimples ...
vogue.in
PanOxyl Acne Creamy Wash Daily Control, Face & Body, India | Ubuy
ubuy.co.in
PanOxyl Acne Creamy Wash Daily Control, Face & Body, India | Ubuy
ubuy.co.in
PanOxyl Acne Creamy Wash Daily Control, Face & Body, India | Ubuy
ubuy.co.in
Buy PanOxyl 4 Acne Creamy Wash, 4% Benzoyl Peroxide 6 oz (Pack of 8 ...
ubuy.co.in
Buy PanOxyl 4 Acne Creamy Wash, 4% Benzoyl Peroxide 6 oz (Pack of 8 ...
ubuy.co.in
Buy PanOxyl Acne Creamy Wash, 4% Benzoyl Peroxide 6 Ounce, (Pack of 2 ...
ubuy.co.in
Buy PanOxyl 4 Acne Creamy Wash, 4% Benzoyl Peroxide 6 oz (Pack of 8 ...
ubuy.co.in
Buy PanOxyl 4 Acne Creamy Wash, 4% Benzoyl Peroxide 6 oz (Pack of 8 ...
ubuy.co.in
Benzoyl Peroxide Gel: Uses and Side Effects for Acne Treatment
medicoverhospitals.in
Buy PanOxyl 4 Acne Creamy Wash, 4% Benzoyl Peroxide 6 oz (Pack of 8 ...
ubuy.co.in
Buy PanOxyl 4 Acne Creamy Wash, 4% Benzoyl Peroxide 6 oz (Pack of 8 ...
ubuy.co.in
Benzoyl Peroxide 2.50%/5.00%/10.0% Gel Athens Wellness
company.pharmahopers.com
Generic Powerful Acne Treatment Serum Micronized Benzoyl Peroxide And ...
flipkart.com
Benzoyl peroxide for Acne: Benefits, Usage and Side Effects
medicoverhospitals.in
Acnefree Severe Maximum Strength Repair Lotion 10% Benzoyl Peroxide 2Oz ...
flipkart.com
Benzoyl Peroxide Soap 2.5% Astonea Pharma Pvt. Ltd.
company.pharmahopers.com
Adapalene (As Microsphere) 0.1%, Benzoyl Peroxide 2.5% Gel Pharminox L
company.pharmahopers.com
Mankind AcneStar Soap Benzoyl Peroxide Soap Bar 75 gm
cureka.com
Mankind AcneStar Soap Benzoyl Peroxide Soap Bar 75 gm
cureka.com
Benzoyl peroxide ee finanka: Hagaha
medicoverhospitals.in
Clindamycin and Benzoyl Peroxide Gel: Benefits for Sensitive Skin
medicoverhospitals.in
Benzoyl Peroxide Chemical Manufacturer, Supplier from Mumbai
greenchemicals.co.in
Benzoyl Peroxide 5% Generic for Oxy Balance Acne India | Ubuy
ubuy.co.in
Buy Acne Face Toner For Acne Spots & Pigmentation | Teenilicious ...
fixderma.com
Paknet Creamy Wash 50 gm Price, Uses, Side Effects, Composition ...
apollopharmacy.in
Buy Acne Face Gel For Acne Spots & Pigmentation | Teenilicious ...
fixderma.com
Paknet Creamy Wash 50 gm Price, Uses, Side Effects, Composition ...
apollopharmacy.in
Paknet Creamy Wash 50 gm Price, Uses, Side Effects, Composition ...
apollopharmacy.in
Epiduo Gel 30 gm Price, Uses, Side Effects, Composition - Apollo Pharmacy
apollopharmacy.in
Buy Neutrogena Clear Pore Facial Cleanser / Face Mask containing Kaolin ...
amazon.in
Paknet Creamy Wash 50 gm Price, Uses, Side Effects, Composition ...
apollopharmacy.in
Paknet Creamy Wash 50 gm Price, Uses, Side Effects, Composition ...
apollopharmacy.in
Buy Neutrogena Clear Pore Facial Cleanser / Face Mask containing Kaolin ...
amazon.in
Persol AC 2.5 - Tube of 30 g Gel : Amazon.in: Health & Personal Care
amazon.in
Peroclin 5% Gel 15 gm Price, Uses, Side Effects, Composition - Apollo ...
apollopharmacy.in
Buy PanOxyl Antimicrobial Acne Creamy Wash, 4% Benzoyl Peroxide, 6 ...
ubuy.co.in
Buy PanOxyl Antimicrobial Acne Creamy Wash, 4% Benzoyl Peroxide, 6 ...
ubuy.co.in
Buy PanOxyl Antimicrobial Acne Creamy Wash, 4% Benzoyl Peroxide, 6 ...
ubuy.co.in
Buy PanOxyl Antimicrobial Acne Creamy Wash, 4% Benzoyl Peroxide, 6 ...
ubuy.co.in
Buy PanOxyl Antimicrobial Acne Creamy Wash, 4% Benzoyl Peroxide, 6 ...
ubuy.co.in
CeraVe Acne Treatment Face Wash, Salicylic Acid India | Ubuy
ubuy.co.in
Here Are The Best Clean And Clear Face Washes For Men That Will Help ...
mensxp.com
Pharmaceutical Gel - Clindamycin Phosphate Nicotinamide And Allantoin ...
glasierwellness.in
Diathorn - 100% Natural Neem,Kerala,Giloy Jamun & Sea Buckthorn juice ...
pharmavends.com
The reaction of benzoyl chloride with phenol in presence of NaOH is called
tardigrade.in
ACNESTAR SOAP 75GM, Price, Composition & Generic Alternatives - Medkart
medkart.in
Benzoyl chloride is prepared from benzoic acid by
tardigrade.in
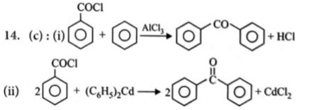
Which of the following reactions will give benzophenone? (i) Benzoyl ...
tardigrade.in
The reaction of phenol with benzoyl chloride to give phenyl benzoate is ...
tardigrade.in
Walgreens | Walgreens
walgreens.com
Deriva Bpo Gel: Uses, Side Effects, Price & Dosage | PharmEasy
pharmeasy.in
Paknet 4 % Cream (50): Uses, Side Effects, Price & Dosage | PharmEasy
pharmeasy.in
PanOxyl | Walgreens
walgreens.com
Buy OLLIZA GEL 50GM Online & Get Upto 60% OFF at PharmEasy
pharmeasy.in
Benzac AC 5% Gel ஹிந்தியில் பயன்கள், நன்மைகள், பக்க விளைவுகள், விலை in ...
apollopharmacy.in
Buy Clean & Clear Persa-Gel 10 Acne Medication Spot Treatment with ...
amazon.in
Benzac Ac 2.5% Gel 20 gm Price, Uses, Side Effects, Composition ...
apollopharmacy.in
Brevoxyl 4 % Cream (20): Uses, Side Effects, Price & Dosage | PharmEasy
pharmeasy.in
Buy Clean & Clear Persa-Gel 10 Acne Medication Spot Treatment with ...
amazon.in
Remove Makeup and Debris With Glymed Plus Cleansers | LovelySkin™
lovelyskin.com
Buy Clean & Clear Persa-Gel 10 Acne Medication Spot Treatment with ...
amazon.in
How to get rid of pimple marks? Follow these 4 effective methods
lifestyleasia.com
Buy AZAH ACNE PATCH|TRANSPARENT HYDROCOLLOID PATCHES QUICK ACNE|60 ...
pharmeasy.in
Bengel AC 2.5% Gel | Uses, Side Effects, Price | Apollo Pharmacy
apollopharmacy.in
Clindac Ap Gel | Uses, Side Effects, Price | Apollo Pharmacy
apollopharmacy.in
Buy Clean & Clear Persa-Gel 10 Acne Medication Spot Treatment with ...
amazon.in
Urea Synthesis from Isocyanides and O-Benzoyl Hydroxylamines Catalyzed ...
mdpi.com
2,5-Bis-O-[4-[[4-[[[4-(acryloyloxy)butoxy]carbonyl]oxy]benzoyl]oxy ...
tcichemicals.com
The Crystal Structure of Nα-p-tosyl-lysyl Chloromethylketone-Bound ...
mdpi.com
1,3,5-Tri-O-benzoyl-alpha-D-ribofuranose 22224-41-5 | Tokyo Chemical ...
tcichemicals.com
9-Benzoyl-3,6-dibromo-9H-carbazole 912850-81-8 | Tokyo Chemical ...
tcichemicals.com
3-(Trifluoromethyl)benzoyl Chloride 2251-65-2 | Tokyo Chemical Industry ...
tcichemicals.com
Pernex Ac 5 % Gel 20 GM | Order PERNEX AC 5 % GEL 20 GM Online at Truemeds
truemeds.in
Free HR Job Profile Assistant: Streamline Hiring with upGrowth Custom GPT
upgrowth.in
Gel de adapaleno y peróxido de benzoilo: usos, efectos y precauciones
medicoverhospitals.in
Skin Purging vs. Breaking Out: How to Tell the Difference
paulaschoice.in
बेंजोयल पेरोक्साइड से कैसे करें मुंहासों का इलाज | How to Treat Acne ...
mensxp.com
NCERT Solutions for Class 12 Chemistry Chapter 13 Amines
oswalpublishers.com
बेंजोयल पेरोक्साइड से कैसे करें मुंहासों का इलाज | How to Treat Acne ...
mensxp.com
Related Searches
Purexa Set Of 4 Peroxide Mouthwash For Strain Removal - 100 ml Each
Purexa Set Of 3 Peroxide Mouthwash For Strain Removal - 100 ml Each
Purexa Set Of 2 Peroxide Mouthwash For Strain Removal - 100 ml Each
Purexa Set Of 6 Peroxide Mouthwash For Strain Removal - 100 ml Each
FIXDERMA COSMETIC LABORATORIES 2% Benzoyl Peroxide B-Prox 10 Wash Face Wash - 100ml
YUTIKA Professional 40 Volume 12% Hydrogen Peroxide Hair Developer - 1Litre
YUTIKA Professional 20 Volume 12% Hydrogen Peroxide Hair Developer - 1000 ml
Be Bodywise 2.5% Benzoyl Peroxide Facewash Deep Cleanses & Reduces Sebum Production-100ml
Teenilicious Acne Face Cleanser With Benzoyl Peroxide - 60g
Teenilicious Acne Face Gel With Benzoyl Peroxide For Inflamed Acne Prone Skin-30gm
Search
×
Search
Loading...
No suggestions found