Find Your Style
Women
Men
Accessories
Search for clothing, brands, styles...
×
Women
Men
Accessories
Prospone Formula
Search
Loading...
No suggestions found
Top 10 Countries Where INR Has the Highest Value in 2025
currentaffairs.adda247.com
INR Full Form: What is full form of INR?
bankersadda.com
Understanding the Saudi Riyal Currency | INR to SAR
orientexchange.in
Philips Remote Inr Order Form - Fill Online, Printable, Fillable, Blank ...
pdffiller.com
Ugro Capital Crosses Inr 10000 crore aum milestone launches 10k ...
psuconnect.in
Anand Kamalnayan Pandit — INR 8,660 Cr (Sri Lotus Developers & Realty ...
economictimes.indiatimes.com
Best whiskey under INR 1500 for a pocket-friendly drinking experience
lifestyleasia.com
Facts about Indian businessman who is buying Lavasa city for INR 1814 ...
timesofindia.indiatimes.com
Anand Kamalnayan Pandit — INR 8,660 Cr (Sri Lotus Developers & Realty ...
economictimes.indiatimes.com
Anand Kamalnayan Pandit — INR 8,660 Cr (Sri Lotus Developers & Realty ...
economictimes.indiatimes.com
usd to inr sbi rate: Latest News & Videos, Photos about usd to inr sbi ...
economictimes.indiatimes.com
0.1 ETH to INR Converter, How much Convert Ethereum to Indian Rupee ...
exchanger24.org
INR extends winning streak
msn.com
ValueQuest Enters PE Segment With INR 1,000 Cr Fund
businessoutreach.in
INR 1.2 ratio: Symptoms you should not ignore
medchunk.com
Mast Masala Oats | TATA Soulfull | INR 209/- only
soulfull.co.in
WazirX to Partially Lift INR Withdrawal Suspension Starting August 26 ...
topnews.in
Airtel 499 INR Special Prepaid Plan Price in India - Buy Airtel 499 INR ...
flipkart.com
INR 1.4 ratio: Symptoms you should not ignore
medchunk.com
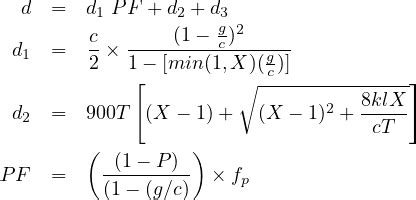
Signalized Intersection Delay Models
civil.iitb.ac.in
Anticoagulation in Acute Pulmonary Embolism: Which Drug? How Long ...
universimed.com
Uses and SideEffects of Warfarin: What You Need to Know
medicoverhospitals.in
Partial Thromboplastin Time Wikipedia, 58% OFF
elevate.in
What kind of gas is propane?|| What is the Use of propane gas ...
chemistrypage.in
Propanol: Formula, Structure, Preparation & Properties | AESL
aakash.ac.in
India shining: Rupee inches closer to becoming international currency ...
timesnownews.com
Write the structural formula of propane-1, 2, 3-triol. - Brainly.in
brainly.in
Write the electron dot structure of propane and also draw its ...
brainly.in
1 million dong in indian rupees - Brainly.in
brainly.in
India and Malaysia can now trade in Indian rupee
currentaffairs.adda247.com
International Trade Settlement in Indian Rupee (INR)
taxguru.in
Warfarin Overview - Active Ingredient - RxReasoner
rxreasoner.com
Propan-2-Ol Formula: Structure, Uses, Properties, Reactions
pw.live
International Trade Settlement in Indian Rupee (INR)
taxguru.in
How Indian Rupee Stands Against Other Major Currencies
indiatimes.com
8 Obat Stroke yang Efektif dan Tersedia di Apotik - Alodokter
alodokter.com
World Currency to Indian Rupee Exchange Rates,Foreign Currency Value in ...
goodreturns.in
Rupee likely to go to 81 82 to the US dollar, or even higher. Here’s ...
businesstoday.in
Sri Lanka and Russia in talks to use the rupee in foreign trade
currentaffairs.adda247.com
Gold Necklace Set for Women | Buy Gold Necklace Set Online India ...
manubhai.in
Buy Diamond Necklace Online | Diamond Set Online Manubhai Jewellers
manubhai.in
Diamond Necklace Designs | Buy Diamond Necklace Set Online at Best ...
manubhai.in
MGT-6 Form Filing Process and Key Requirements
taxguru.in
Indian Rupee against US Dollar since 1947 - Insights
news.faltupana.in
Cryptocurrency Prices, Charts and Market Cap
suncrypto.in
Buy Diamond Necklace Online | Diamond Set Online Manubhai Jewellers
manubhai.in
Gold Necklace Set with Price | Buy Gold Necklace Set Online
manubhai.in
USD/INR at Record High! Why RBI is Failing to Curb the Rupee’s Fall ...
in.investing.com
Postpone-72
leeford.in
Top 10 Best Colour Combinations for Sarees in 2024
hutsandlooms.com
electron dot structure of propane with circles and cross - Brainly.in
brainly.in
Light Weight & Daily Wear Gold Necklace Set Designs (2025) | Buy Gold ...
manubhai.in
Fake notes worth over Rs 14 lakh in Rs 500 denominations seized in Odisha
odishatv.in
Back To Black: | Grazia India
grazia.co.in
Convert Currency in Number to Words (Indian Rupees) - Version 2 | Live ...
livetolearn.in
draw the structure of ISO propane - Brainly.in
brainly.in
Diamond Earrings Designs | Buy Diamond Earrings Online India - Manubhai ...
manubhai.in
Warfarin sodium in India - Chemicalbook.in
chemicalbook.in
Primolut-N Tablet | Uses, Side Effects, Price | Apollo Pharmacy
apollopharmacy.in
Indian Financial System, 5e by H R Machiraju
vikaspublishing.com
1,3-Propanodiol CAS 504-63-2 | 807481
merckmillipore.com
Buy Antique Set Online | Antique Set by Manubhai.
manubhai.in
Light Weight Gold Jewellery with price | Daily Wear Gold Jewellery Online
manubhai.in
Warfarin R-Isomer | CAS No- 5543-58-8 | NA
chemicea.com
Buy INR's Farm Fresh Premium Pellets Food for Rabbits | 1 KG Advanced ...
amazon.in
Strength of Solution Formula, Units and Calculation - Chemistry ...
aakash.ac.in
Buy Gold Set Online | Gold Set by Manubhai.
manubhai.in
Indonesian Rupiah - Buy IDR Currency Online in India
makemytrip.com
structural formula of 2- methyl propane - Brainly.in
brainly.in
Six Brothers Mahura: India’s Very Own Luxury Heritage Spirit
lifestyleasia.com
RBI’s short USD/INR forward book remains stable- analysis By Investing.com
in.investing.com
Buy Asdfger Products Online at Best Prices in India | Ubuy
ubuy.co.in
In osmotic pressure method, molecular mass of polymers can be obtained ...
scoop.eduncle.com
Manur - Decannulation challenge
manurhospital.in
draw the structure of2, 2 dimethyl propane.and,of butanol also - Brainly.in
brainly.in
EPR Registration and Compliance
taxguru.in
USD/INR forecast: Indian rupee analysis ahead of RBI decision By Invezz
in.investing.com
USDINR – Is It A Price Action Pullback Or Shakeout ? | Investing.com India
in.investing.com
How many covalent bonds are present in propane with molecular formula ...
brainly.in
10-Hydroxy Warfarin | CAS No- 83219-99-2 | Simson Pharma Limited
simsonpharma.com
Molecular formula of propane is c3h8 . From this draw its structural ...
brainly.in
Collections
svbventures.in
Warfarin Sodium | CAS No- 129-06-6 | Simson Pharma Limited
simsonpharma.com
Best hard seltzers in India for a refreshingly low-calorie drinking ...
lifestyleasia.com
Certifications
pasteljade.com
Buy Gold Earrings Online | Gold Earrings by Manubhai.
manubhai.in
Rupee Depreciation: Will India's Exports Stand To Gain? | Investing.com ...
in.investing.com
Beginner's guide to Formula 1, see F1 2023 season teams, drivers and ...
businesstoday.in
Buy Antique Set Online | Antique Set by Manubhai.
manubhai.in
Manubhai Jewellers | Gold & Diamond Jewellers in Borivali, Mumbai
manubhai.in
F1 2024 calendar, dates, line-ups and results: Formula 1 GP schedule on ...
skysports.com
GP Formula- Sum of n Terms, Sum of Infinite GP
adda247.com
Shahid Kapoor net worth: Movie fees, annual income, cars, houses & more
lifestyleasia.com
Signalized Intersection Delay Models
civil.iitb.ac.in
Signalized Intersection Delay Models
civil.iitb.ac.in
2,2-Bis[4-(4-aminophenoxy)phenyl]propane 13080-86-9 | Tokyo Chemical ...
tcichemicals.com
Plus Size Wine Cotton Linen Kurta Coord Set
amydus.com
Aiwo Breath Easy – Aiwo Limited
aiwo.com
IPL 2026: Why did CSK release Matheesha Pathirana? CEO Kasi Viswanathan ...
crickettimes.com
Light Weight Diamond Jewellery with price | Daily Wear Diamond ...
manubhai.in
Buy Asdfger Products Online at Best Prices in India | Ubuy
ubuy.co.in
Latest Car & Bike News & Reviews | BBC Topgear India Magazine
topgearmag.in
The Sabarmati Report movie ending explained: What occurred in Godhra?
lifestyleasia.com
Track Orders – Tailor Kadai
tailorkadai.in
Unseasonal Rath Yatra row: Puri Gajapati Maharaja writes letters to ...
odishatv.in
Buy Intermittent Fasting for Women Over 50: Winning Formula to Reset ...
amazon.in
Propagation Delay Calculation of CMOS Inverter - Electrical Engineering ...
edurev.in
Hurun India 2025: 10 billionaire Indians who entered the rich list this ...
economictimes.indiatimes.com
Warfarin: View Uses, Side Effects and Medicines
truemeds.in
AlphaMale Premium Delay Mist - Climax Control and India | Ubuy
ubuy.co.in
Signalized Intersection Delay Models
civil.iitb.ac.in
Buy Antique Set Online | Antique Set by Manubhai.
manubhai.in
Draw structure of 2-hydroxy-1,2,3-propanetricarboxylic acid - Brainly.in
brainly.in
C.R Formula, History, Proposal, Significance & Failure of Rajaji Formula
studyiq.com
Good Times Stickers - Bestseller
oddgiraffe.com
2-Propanol anhydrous, 99.5 67-63-0
sigmaaldrich.com
Taxila Business School Placements 2025 | Highest & Average Package
taxila.in
Buy Diamond Necklace Online | Diamond Set Online Manubhai Jewellers
manubhai.in
Signalized Intersection Delay Models
civil.iitb.ac.in
2,2-Dimethoxy Propane for Synthesis 927675 Research & Laboratory ...
hplcindia.com
Related Searches
INR Ratio
PT/INR Formula
INR Equation
Warfarin Dose INR
PT/INR Table
INR vs PTT
INR Meaning
PT to INR Conversion
INR Scale
INR Calculation
INR Lab Test
Blood INR Chart
INR Index
Normal INR Value
INR Computation
INR Calculator
INR Formula Example
INR Blood Test Machine
INR Dosing
INR Goal Chart
INR Normal Range Chart
INR Form
Prothrombin Time and INR Chart
1 INR
Coumadin INR Dosing Chart
What Is INR
INR Hematologia
High INR
Isi INR
aPTT and INR
INR Medical Term
Med Math Formulas
How to Calculate INR
Normal INR Levels Chart
INR Values
INR Explained
INR Stands For
Therapeutic INR Level
INR Word
PT/INR Sheets
Elevated PT/INR
INR Diagram
International Normalized Ratio INR
INR Medical Abbreviation
Manual INR Calculation
INR Calculo
INR 5
INR Adjust
USD to INR Formula in Excel
How Is INR Calculated
Search
×
Search
Loading...
No suggestions found