Find Your Style
Women
Men
Accessories
Search for clothing, brands, styles...
×
Women
Men
Accessories
Prothrombin Time Curve
Search
Loading...
No suggestions found
Prothrombin Time (PT) and INR Test: Normal Range, Meaning & Uses ...
mydiagnostics.in
Prothrombin Time (PT) and INR Test: Normal Range, Meaning & Uses ...
mydiagnostics.in
Prothrombin Time INR Test (PT INR Test) at ₹349 – healthcare nt sickcare
healthcarentsickcare.com
qlabs PT INR Test Strip -Pack of 12 : Amazon.in: Health & Personal Care
amazon.in
BUY Curve (CRV) in INR on PocketBits!
pocketbits.in
INR vs USD: Why a stronger dollar doesn’t mean the rupee fell by the ...
businesstoday.in
Tissot Watches for Ladies in India Under INR 40,000 – Just In Time
justintime.in
INR Full Form: What is full form of INR?
bankersadda.com
Book Prothrombin Time & International Normalized Ratio (PT-INR ...
pharmeasy.in
Buy Q-1 PRO (PT,INR) Meter- Patient self testing Online for Rs 24,144
colmed.in
Prothrombin Time Test (With INR) - All You Need to Know About | Max Lab
maxlab.co.in
Prothrombin Time (PT/INR) Test Cost - Home Collection, Book Online ...
maxlab.co.in
Buy Coag-Sense Professional Rapid Test Kit, Blood Coagulation Test ...
ubuy.co.in
Prothrombin time, PT/INR Report Format | MS Word & Pdf
labsmartlis.com
PT-INR Test in Pune – Prothrombin Time Blood Clot Check – healthcare nt ...
healthcarentsickcare.com
Prothrombin test time - PROTHROMBIN TIME TEST A prothrombin time (PT ...
studocu.com
Prothrombin time, PT/INR Report Format | MS Word & Pdf
labsmartlis.com
Prothrombin time test - it is lecture notes - Prothrombin time (PT ...
studocu.com
Prothrombin time, PT/INR Report Format | MS Word & Pdf
labsmartlis.com
Prothrombin time, PT/INR Report Format | MS Word & Pdf
labsmartlis.com
Prothrombin time, PT/INR Report Format | MS Word & Pdf
labsmartlis.com
Prothrombin Time (PT/INR) Test Cost - Home Collection, Book Online ...
maxlab.co.in
Prothrombin time, PT/INR Report Format | MS Word & Pdf
labsmartlis.com
Prothrombin time, PT/INR Report Format | MS Word & Pdf
labsmartlis.com
Prothrombin time, PT/INR Report Format | MS Word & Pdf
labsmartlis.com
Prothrombin Time (PT)
flebo.in
Prothrombin time, PT/INR Report Format | MS Word & Pdf
labsmartlis.com
Prothrombin Time (PT/INR) Test Cost - Home Collection, Book Online ...
maxlab.co.in
Prothrombin Time (PT/INR) Test Cost - Home Collection, Book Online ...
maxlab.co.in
Coagulation Reagents | ARKRAY, Inc.
arkray.co.in
Prothrombin time, PT/INR Report Format | MS Word & Pdf
labsmartlis.com
Prothrombin Time (PT/INR) Test Cost - Home Collection, Book Online ...
maxlab.co.in
Prothrombin Time (PT/INR) Test Cost - Home Collection, Book Online ...
maxlab.co.in
Modeling Pharmacokinetic Profiles for Assessment of Anti-Cancer Drug on ...
mdpi.com
Prothrombin Time (PT/INR) Test Cost - Home Collection, Book Online ...
maxlab.co.in
Prothrombin Time (PT)
flebo.in
Offers Banner
pharmeasy.in
Losartan Potassium and Verapamil Hydrochloride Compound Transdermal ...
mdpi.com
Prothrombin Time Test - Price, Normal Ranges, Report & Preparation
orangehealth.in
Prothrombin time, PT/INR Report Format | MS Word & Pdf
labsmartlis.com
State-of-Health Estimate for the Lithium-Ion Battery Based on Constant ...
mdpi.com
Prothrombin time, PT/INR Report Format | MS Word & Pdf
labsmartlis.com
Efficient Bacteria Inactivation by Ultrasound in Municipal Wastewater
mdpi.com
RealTraps - Room Measuring Series
realtraps.com
Displacement versus time curve for a particle executing S.H.M. is shown ...
allen.in
Desquamating rash with hepatitis | Pediatric Oncall Journal
pediatriconcall.com
what is BOD in detail ? with the help of diagram - Brainly.in
brainly.in
Adaptive Inertia and Damping Coordination (AIDC) Control for Grid ...
mdpi.com
Prothrombin Time Test: Cost, Procedure, Risk & Normal Range
medicoverhospitals.in
Prothrombin Time Test - Price, Normal Ranges, Report & Preparation
orangehealth.in
Displacement versus time curve for a particle executing SHM is shown in ...
tardigrade.in
The displacement time curve of a particle is shown in the figure. The ...
allen.in
The output current versus time curve of a rectifier is shown in the ...
tardigrade.in
The velocity time curve of a moving point is shown in Fig. Find the ...
allen.in
Prothrombin time, PT/INR Report Format | MS Word & Pdf
labsmartlis.com
Impact Resistance of a Fiber Metal Laminate Skin Bio-Inspired Composite ...
mdpi.com
The displacement-time curves of two objects A and B are shown in the ...
tardigrade.in
Peran Parameter Prothrombin Time (PT) dan Activated Partial ...
alomedika.com
Resistor Power Rating Derating and Temperature Coefficient
digikey.in
RealTraps - Room Measuring Series
realtraps.com
Practical Maintenance » Blog Archive » Fatigue Test and Creep Test
practicalmaintenance.net
Practical Maintenance » Blog Archive » I-T Diagram and Cooling Curves
practicalmaintenance.net
Third Trimester Diet Plan: What To Eat And What To Avoid | Maxlab
maxlab.co.in
RealTraps - Room Measuring Series
realtraps.com
Practical Maintenance » Blog Archive » I-T Diagram and Cooling Curves
practicalmaintenance.net
Practical Maintenance » Blog Archive » Phase Diagrams (Part 1)
practicalmaintenance.net
A body is moving unidirectionally under the influence of a source of ...
allen.in
Features Of Indifference Curves, Meaning And Significance
pw.live
Recloser-Based Decentralized Control of the Grid with Distributed ...
mdpi.com
Displacement versus time curve for a particle executing SHM is shown in ...
allen.in
Taylor’s Square Root of Time Fitting Method - Determination of ...
edurev.in
Third Trimester Diet Plan: What To Eat And What To Avoid | Maxlab
maxlab.co.in
Types of Economy Class 12 – Capitalist, Socialist & Mixed Economy Explained
sarkariedge.co.in
Bacterial growth curve - GROWTH CURVE AND KINETICS The growth of ...
studocu.com
Velocity-time curve for a body moving with constant acceleration is ...
brainly.in
Buy Clifton Fabric 3-Seater Sofa with Right Curve - Beige from Home ...
homecentre.in
Molicel INR21700-P42A 3.6V 4200mAh Lithium-Ion Battery - Thingbits India
thingbits.in
PowerCad electrical engineering design software
powercad.in
Acceleration versus time curve for a particle moving in a straight line ...
allen.in
Prothrombin-Mutation G20210A | DocMedicus Gesundheitslexikon
gesundheits-lexikon.com
Coagulation Analyzer - Micropoint Q3 Pro Electrometer PT-INR Trader ...
r2healthcare.in
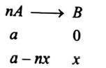
For a first order reaction, n A longrightarrow B whose concentration vs ...
tardigrade.in
The sketch in the figure shows displacement time curve of a sinusoidal ...
allen.in
Mucoadhesive In Situ Rectal Gel Loaded with Rifampicin: Strategy to ...
mdpi.com
Electrical tests for terminal blocks | Phoenix Contact
phoenixcontact.com
SMS Hospital
smshospital.in
गुरुत्वाकर्षण क्या है? यह कैसे उत्पन्न होता है - Government Jobs ...
examgoalguru.in
How to Interpret a Correlation Coefficient r - India Dictionary
1investing.in
The velocity time (v-t) graph for a body thrown vertically upward ...
brainly.in
Practical Maintenance » Blog Archive » Iron and Steel
practicalmaintenance.net
From ₹3.30 To ₹83.94/USD: The Indian Rupee’s Evolution From ...
freepressjournal.in
Floral Curve Ring – Zever4u
zever4u.com
Stunning Design, Superior Photography, and Power-Packed Performance ...
vivonewsroom.in
Quantifying Quality: The Pavement Condition Index | CAG
cag.org.in
DCP Test (Decarboxy Prothrombin PIVKA-II) at ₹3999 – healthcare nt sickcare
healthcarentsickcare.com
Gold Price History in India: Historical Chart, Trends and Rates
cleartax.in
A body is moving unidirectionally under the influence of a source of ...
allen.in
Curved vs Flat Monitor: A New Perspective on Monitor Choice | BenQ India
benq.com
find the angle between the polar curves r=a(1-costheta) and r=(1 ...
brainly.in
КАК ПОНИМАТЬ РЫНОК: краткая инструкция для взрослых — Teletype
teletype.in
Buy Clifton Fabric 3-Seater Sofa with Right Curve - Beige from Home ...
homecentre.in
Buy Clifton Fabric 3-Seater Sofa with Right Curve - Beige from Home ...
homecentre.in
Buy The Best Pre-Built & Custom Built Gaming PCs in India | SMC ...
smcinternational.in
State-of-Health Estimate for the Lithium-Ion Battery Based on Constant ...
mdpi.com
How to find the pedal of the curve r = a(1+cos theta) with respect to ...
brainly.in
Spacetime cycles in Multiverse with stopped time curves eBook ...
amazon.in
SMS Hospital
smshospital.in
Velocity-time curve for a body moving with constant acceleration is ...
brainly.in
Buy Absolute Anticoagulant Journal: A Comprehensive logbook for ...
desertcart.in
Recloser-Based Decentralized Control of the Grid with Distributed ...
mdpi.com
Find the angle btw the radius vector and tangent of curve r=(1-sin ...
brainly.in
FACULTIES || Centre of Bio-Medical Research, Lucknow
cbmr.res.in
Minispir Handheld PC-Based Spirometer with BTPS Sensor - MIR
spirometry.com
Home Assistant: Open source Python3 home automation - deel 5 ...
gathering.tweakers.net
Length of Valley Curve Based on Headlight Sight Distance & Comfort Criteria
apsed.in
Find a Cartesian equation for the curve and identify it. r2 cos2θ=1 ...
ask.learncbse.in
SMS Hospital
smshospital.in
Find the angle between the curves r=a/1 cos theta and r=a/1-cos theta ...
brainly.in
Introduction to Motion Class 11 Notes | EduRev
edurev.in
Find the angle between radius vector and tangent r=a(1+sin theta ...
brainly.in
Related Searches
Prothrombin Time Chart
Prothrombin Time Test
Prothrombin Time PT
Prothrombin Time High
Prothrombin Time Procedure
INR Blood Test
Prothrombin Time Normal Range
Prolonged Prothrombin Time
Prothrombin Time vs aPTT
Prothrombin Time Report
Thrombin Time vs Prothrombin Time
INR Levels Normal Range
INR Testing Machines for Home
Prothrombin Time Formula
Prothrombin Gene Mutation
Fibrinogen
Activated Prothrombin Time
Prothrombin Time Normal Range Values
Partial Thromboplastin Time
Prothrombin Time with INR Tube Color
Prothrombin Time Pathway
Protrombin
Prothrombin Time Nursing
Prothrombin Time Coumadin
Prothrombin Time Principle
Prothrombin Time Reagent
Prothrombin Time and Liver Damage
Increased Prothrombin Time
What Is INR
International Normalized Ratio
Prothrombin Time Explained
Hematology Prothrombin Time
Prothrombin Time Test Results
INR Lab
INR Blood Test Result
Hemoglobin Test
Prothrombin Time Detect
Safe Prothrombin Time for Surgery
Significance of Prothrombin Time
Prothrombin Time Chart.pdf
What If Prothrombin Time Is High
Prothrombin Time Procedure Steps
Coagulation Studies
Prothrombin Time Calculator
Templates for Prothrombin Time
Prothrombin Time and Clotting Time
Raised Prothrombin Time
Prothrombin Time in Neonates
Prothrombin Time Conversion Chart
Elevated aPTT
Search
×
Search
Loading...
No suggestions found