Find Your Style
Women
Men
Accessories
Search for clothing, brands, styles...
×
Women
Men
Accessories
Prototype Ar2 Entropy Zero 2
Search
Loading...
No suggestions found
MRP [INR 5,000 to INR 15000] Television Extended Warranty 2 Years Price ...
flipkart.com
Ethereum Price | ETH Price Index, Live Chart and INR Converter - Binance
binance.com
JADE Products at price INR 22701 in Indorė | Best Furniture store In Indore
wolfcasa.in
Qualcomm Snapdragon AR2 Gen 1 processor got announced for augmented ...
digit.in
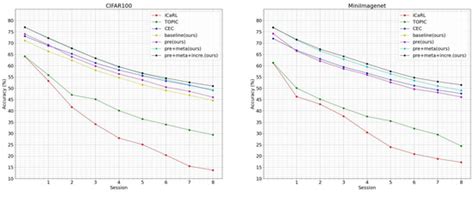
Few Shot Class Incremental Learning via Efficient Prototype Replay and ...
mdpi.com
Few Shot Class Incremental Learning via Efficient Prototype Replay and ...
mdpi.com
Few Shot Class Incremental Learning via Efficient Prototype Replay and ...
mdpi.com
Few Shot Class Incremental Learning via Efficient Prototype Replay and ...
mdpi.com
Half-Life 2: Entropy Zero Uprising - The Unofficial Sequel
thegamefox.net
Few Shot Class Incremental Learning via Efficient Prototype Replay and ...
mdpi.com
Prototype®2
store.playstation.com
Few Shot Class Incremental Learning via Efficient Prototype Replay and ...
mdpi.com
Few Shot Class Incremental Learning via Efficient Prototype Replay and ...
mdpi.com
Understanding the Distinctions between AR1 and AR2 Model
shallbd.com
The Formation and Phase Stability of A-Site High-Entropy Perovskite Oxides
mdpi.com
Half-Life 2: Entropy Zero Uprising - The Unofficial Sequel
thegamefox.net
Explained: Processes on Various Plots - Properties of Fluid - GATE ...
edurev.in
Mastering Thermal Equilibrium - Part 2 - Basic Thermodynamics for GATE ...
edurev.in
Mind Maps for Thermodynamics Revision - Class 11, JEE, NEET
esaral.com
Principle of increase of entropy
home.iitk.ac.in
Thermodynamics: Definition, Types, Laws, Terms and Properties
allen.in
The BCC/B2 Morphologies in AlxNiCoFeCr High-Entropy Alloys
mdpi.com
N6 - HE with Hydraulic Press - Entropy in Basic Thermodynamics - GATE ...
edurev.in
Discuss closed, open and isolated thermodynamic system with neat sketch ...
brainly.in
Properties of pure substances - thermodynamics - Studocu
studocu.com
Second Law of Thermodynamics Formula, Definition, Examples for Class 11
adda247.com
Basics Work Transfer Concepts - 9 for GATE Mechanical Engineering ...
edurev.in
First Law of Thermodynamics - Equation, Derivation, Limitations
careerpower.in
Vortex SPARC AR II 1x22 mm 2 MOA Reflex Red Dot Sight | 4.7 Star Rating ...
opticsplanet.com
9x15cm Double Sided Universal PCB Prototype Board – QuartzComponents
quartzcomponents.com
First Law of thermodynamics and applications - The First Law and Its ...
studocu.com
Information Entropy As a Basic Building Block of Complexity Theory
mdpi.com
The entropy change involved in the isothermal reversible expansion of 2 ...
brainly.in
Entropy
home.iitk.ac.in
Entropy
home.iitk.ac.in
Buy Thermodynamics for Chemists. Book Online at Low Prices in India ...
amazon.in
Thermodynamics - NCERT Book of Class 11 Physics Part II
betrained.in
7HZ x Crinacle Zero: 2 10mm Dynamic Driver In-Ear Monitor
headphonezone.in
Sunil Gavaskar urged BCCI to restrict Salary for uncapped players to ...
bhaskarenglish.in
CBSE Class 11 Chemistry Notes Chapter 6 Thermodynamics
pw.live
Nikhil has some I-rupee coins and some 2-rupee coins in his piggy-bank ...
brainly.in
Equation of first laws of thermodynamics - Brainly.in
brainly.in
P-T Diagram, T-V Diagram of Pure Substances - Thermodynamics
mech.poriyaan.in
Few Shot Class Incremental Learning via Efficient Prototype Replay and ...
mdpi.com
First law of thermodynamics Video Lecture - Physics
edurev.in
Plz give explanation for entropy change in reversible and irreversible
scoop.eduncle.com
Order Of Reaction : Zero Order And First Order | Science Vision
sciencevision.in
Rupees 20 Bi-Mettallic Circulating Coins of India -2019-20 – Stamp Digest
stampdigest.in
Understanding the Meaning of an R-squared Value of 0.5
shallbd.com
gulf-rupee-history-india-why-gulf-countries-used-indian-rupee | Bhaskar ...
bhaskarenglish.in
A man has rs. 312 in the denominations of one-rupee notes, five-rupee ...
brainly.in
Universal PCB Prototype Board 2.54mm Hole Pitch
makerbazar.in
Rank these systems in order of decreasing entropy. Rank from highest to ...
ask.learncbse.in
Horizon Zero Dawn Remastered for PC – PC Requirements & Features ...
playstation.com
USD/INR forecast: Here’s why the Indian rupee is soaring By Invezz
in.investing.com
Understand the JavaScript Object and Prototype (Video)
blog.ganeshpilli.in
Star Wars Smart R2D2 : Amazon.in: Toys & Games
amazon.in
[PDF] Thermodynamics Handwritten notes For JEE , NEET , Class 11 Physics
jeeneetforall.in
Edens Zero Season 2 Set to Premiere in 2023
in.ign.com
Zenless Zone Zero - Official Zhu Yuan Character Demo Trailer
in.ign.com
Grade R Transportation Matching Shadows Activity
twinkl.co.in
Lecture note of Entropy - Lecture note Entropy: What is the change in ...
studocu.com
Optimus robot's prototype unveiled by Elon Musk, CEO of Tesla
currentaffairs.adda247.com
Grade R: Listening and Draw (teacher made) - Twinkl
twinkl.co.in
Grade R - Coding - Pattern Recognition: Threes
twinkl.co.in
State-of-Health Estimate for the Lithium-Ion Battery Based on Constant ...
mdpi.com
Zenless Zone Zero - PS5 Games | PlayStation (India)
playstation.com
SUOMY Stellar Cylone White Matt Helmet– Moto Central
motocentral.in
The Entropy Centre
me.ign.com
Buy Ruth May/Susanne M. Winterling: Prototype 2 (New Hangout) Book ...
amazon.in
In thermodynamics, a process is called reversible when In ...
brainly.in
The cost of ten pencils is rupee 25 and the cost of five chart paper is ...
brainly.in
Monex MNX-AR2 Mop Set Price in India - Buy Monex MNX-AR2 Mop Set online ...
flipkart.com
derivation a=v^2/r acceleration of circular motion - Brainly.in
brainly.in
Wagon R Car Music System - Wagon R Android Stereo | Woodman
hiwoodman.com
Commercial Mowers | ZTrak™ Z960 Zero-Turn Mower | John Deere US
deere.com
Leena has 117 rupees in form of 5 ruee coins and 2 rupee coins. Thr ...
brainly.in
Indian Rupee against US Dollar since 1947 - Insights
news.faltupana.in
7HZ Salnotes Zero 10mm Dynamic Driver In Ear Earphone (Unboxed)
headphonezone.in
Statistical Inference on the Shannon Entropy of Inverse Weibull ...
mdpi.com
Fundamentals Of Thermodynamics 7th Edition - Buy Fundamentals Of ...
flipkart.com
FM-216-AR2-P Panasonic Industrial Automation Sales | Sensors ...
digikey.in
A New Local Fractional Entropy-Based Model for Kidney MRI Image Enhancement
mdpi.com
The Raspberry Pi Zero 2 was just released and it gets an OctoPrint ...
community.octoprint.org
DRAGON BALL: Sparking! ZERO Ultimate Edition
store.playstation.com
PROTOTYPE™
playstation.com
Ретродропы — зачем проекты раздают миллионы долларов?\r Whitelist Media ...
teletype.in
US Military To Deploy Navy Ships, USS Gerald R Ford Closer To Israel To ...
timesnownews.com
Data analysis using R and Python | R
r.fossee.in
Entropy Reusable Cable 3.5m (1/box), Patient Monitoring | GE HealthCare ...
services.gehealthcare.in
Find the number of notes. If number of 1 rupee note is 4 times the ...
brainly.in
Altered Intracellular Milieu of ADAR2-Deficient Motor Neurons in ...
mdpi.com
Buy Entropy Resins Super Sap CLR Epoxy Resin 1 Gallon (128 oz ...
desertcart.in
Thermodynamic Properties, Hysteresis Behavior and Stress-Strain ...
mdpi.com
The kinetic energy of one mole of an ideal gas is E=3/2 RT. Then Cwill ...
edurev.in
waveshare 2.7inch E-Ink Display HAT,264x176 Pixel Black,White Two-Color ...
amazon.in
Geekworm Raspberry Pi Zero 2 W Gigabit Ethernet Expansion Board X303 ...
amazon.in
Owens Corning R- 25 Attic Unfaced Fiberglass Batt Insulation 64-sq ft ...
lowes.com
Buy Electronics-Salon 4x Prototype Breakout PCB Shield Board Kit for ...
desertcart.in
(Q2) The given linear polynomial y = f(x) has (a) 2 zeros (b) 1 zero ...
iqclasses.in
3. Madhu's piggy bank contains 5- rupee and 10- rupee coins. The number ...
brainly.in
Horizon Zero Dawn™ Complete Edition
store.playstation.com
Buy Zero Sugar Variety Soda Pack-Diet: Dr. Pepper, Coca cola, Seagram ...
desertcart.in
Raspberry Pi Zero 2 W (Wireless/Bluetooth) 2021 (RPi Zero 2 WH ...
amazon.in
What is meant by zero error of a vernier callipers ?how is it ...
brainly.in
Turin Spray Bottle for chlorination Make Disinfectant at Home Now ...
wonderchef.com
How To Build High-Quality Website Prototype With The Most Powerful Tool
serpstat.com
Buy Sun Zero 2-Pack Kenzie Trellis Jacquard Blackout Rod Pocket Curtain ...
ubuy.co.in
Understanding Zero Trust. What is it? | SSLTrust
ssltrust.in
DRAGON BALL: Sparking! ZERO
store.playstation.com
Buy sb components Raspberry Pi Zero 2 W with Built-in WiFi and ...
desertcart.in
Electric potential due to solid sphere - Brainly.in
brainly.in
Modeling, Evaluating, and Applying the eWoM Power of Reddit Posts
mdpi.com
If, for a given substance, `T_(B)` is the melting point and `T_(A)` is ...
allen.in
Dynamic Entropy - XKCD中文站
xkcd.in
1969 Dodge Charger R/T Revived After Near Disaster
motortrend.com
Zebronics Jet PRO Premium Wired Gaming On Ear Headphone with LED for ...
amazon.in
Argon Forty Aluminium POD Case for Raspberry Pi Zero 2 W|Modular Case ...
amazon.in
Buy Owootecc Retro GPi CASE With Raspberry Pi Zero W and 32G SD Card ...
desertcart.in
About The National Test House (NTH): UPSC Current Affairs
iasgyan.in
Related Searches
Gonome Entropy Zero 2
Bad Cop Entropy Zero 2
Clone Cop Entropy Zero 2
Entropy Zero 2 Logo
Wilson Entropy Zero 2
Entropy Zero 2 Wallpaper
Zero Entropy Art
3650 Entropy Zero 2
Half-Life Entropy Zero 2
Scar Zero Entropy Zero 2
Entropy Zero 2 Radio Guy
Gnome Entropy Zero 2
Entropy Zero 2 Wallpaper 4K
Entropy Zero 2 Main Menu
Entropy Zero 2 Pit Drone
AR2 Prototype
Entropy Zero 2 Gauss Pistol
Entropy Zero 2 Husk
3650 Entropy Zero 2 Revolver
Entropy Zero 2 The Man Who Solid World
Entropy Zero 2 AR2 Prototype Alyx SMG
Entropy Zero 2 Rebel Jeep
Entropy Zero 2 Workshop Map
Entropy Zero 2 Metrocop
Wilson My Beloved Entropy Zero 2
Entropy Zero 2 Elite Metrocop
Entropy Zero 2 Plasma Rifle
Entropy Zero 2 Gonome Female
Entropy Zero 2 Icon
Wiilson Entropy Zero 2
Plan B Entropy Zero 2
Entropy Zero 2 Main Character
Entropy Zero 2 Rebels
Entropy Zero 2 Temporal Crab
Entropy Zero 2 Gonard
Entropy Zero 2 Goo Poster
Clone Cop Entropy Zero 2 Camera
Entropy Zero 2 Tactical Rebels
Entropy Zero Uprising
Entropy Zero 2 Artwork
Entropy Zero 2 Wilson Meme
Entropy Zero 2 Bullsquid
Gate in Entropy Zero 2
Entropy Zero 2 Wepons
Entropy Zero 2 Antlion Guard
Entropy Zero 2 Rebel Weapons
Traitor Lead Entropy Zero 2
Entropy Zero 2 Maps
Entropy Zero 2 Best Music
Entropy Zero 2 Shotgunner
Search
×
Search
Loading...
No suggestions found