Find Your Style
Women
Men
Accessories
Search for clothing, brands, styles...
×
Women
Men
Accessories
Proverbs 21 5
Search
Loading...
No suggestions found
Proverbs 21:4 in Studentrate - Studentrate Bible - Tamil Christian ...
christsongs.org
Proverbs 5:21. “For the ways of man before the eyes of the LORD, And H ...
tiktok.com
ETC - Proverbs 25:26 A righteous man falling down before the wicked is ...
facebook.com
Proverbs 19:21 | Scripture quotes bible, Bible quotes light, Bible ...
no.pinterest.com
Proverbs 2 Artwork | Bible Art
bible.art
Adbhoot Stories of Proverbs – 21: A entertaining way to learn proverbs ...
amazon.in
The virtuous woman of Proverbs: 21 days of devotional (Devocional ...
amazon.in
Proverbs 21:31 :: God's Love Ministries - Today's Promise
godsloveministries.co.in
Daily Prayer - Revelation 21:5 (NASB) | Daily Bible Verse
daily-bible-verse.net
The Little Book of Proverbs : Holland, Akira: Amazon.in: Books
amazon.in
Michael Porter Quote: “If a strategy meets a goal: It’s working. If a ...
quotefancy.com
Proverbs 21:31 :: God's Love Ministries - Today's Promise
godsloveministries.co.in
Buy A Complete Collection Of English Proverbs: Also The Most Celebrated ...
amazon.in
Proverbs 21:30 :: God's Love Ministries - Today's Promise
godsloveministries.co.in
Buy God the Holy Spirit Archangel Michael's Proverbs Books 1 Thru 5 ...
desertcart.in
Proverbs Classroom Display Posters | Printable Proverbs
twinkl.co.in
Prov 3 5-6 Bible Wall Decor, Book Bible Christian Quote Decor, Bible ...
amazon.in
What Is a Proverb? Poster (teacher made)
twinkl.co.in
16208 MYS-YPR UR EXP Train Route
erail.in
168+ Worksheets for Class 5 | Free Download PDFs
planetspark.in
Buy Dynamic Memory Golden Book Of Proverbs Book Online at Low Prices in ...
amazon.in
Arabic Proverbs (A World of Proverbs Book 11) eBook : Castelli Felice ...
amazon.in
The Phenomenal Proverbs 31 Woman: A Portrait of Strength, Wisdom, and ...
amazon.in
Amazon.in: ProV - Premium Dry Fruits and Spices: ProV Range
amazon.in
Philippians 4:6 :: God's Love Ministries - Today's Promise
godsloveministries.co.in
Proverbs in English with Meanings | Worksheet
twinkl.co.in
Proverbs 3:27 :: God's Love Ministries - Today's Promise
godsloveministries.co.in
Proverbs 3:33 :: God's Love Ministries - Today's Promise
godsloveministries.co.in
Buy Tamil Proverbs: A Classified Collection Book Online at Low Prices ...
amazon.in
Buy Proverbs: Ancient Wisdom for a Postmodern World: 01 Book Online at ...
amazon.in
Proverbs Explained Through Stories - Buy Proverbs Explained Through ...
flipkart.com
500+ Proverbs with Bengali Meaning PDF | ইংরেজি প্রবাদ বাক্য - সাফল্যের ...
safollo.in
assamese medium: অসমীয়া প্ৰবাদ বাক্য ইংৰাজী ভাষাত ৰূপান্তৰ PROVERBS
assamesemedium.in
A man who chases two rabbits catches none
proverbsworld.in
ProV Foods Dry Fruits & Healthy Snacking Store – ProV Store
provfoods.in
Yiddish Proverbs: Buy Yiddish Proverbs by Weingarten Joseph A. at Low ...
flipkart.com
RIC MORRIS (2025) All You Need to Know BEFORE You Go (with Photos ...
tripadvisor.in
BARISTART COFFEE SINGAPORE (SENTOSA) - Restaurant Reviews, Phone Number ...
tripadvisor.in
pls answer this question - Brainly.in
brainly.in
1.21.5 Update (Spring to Life)
docs.fancyinnovations.com
THE MADISON RIVERWALK (San Antonio) - Specialty Hotel Reviews, Photos ...
tripadvisor.in
Investitures I: Something Old, Something New, Something Borrowed ...
allevents.in
MTS: MANAGED TRAVEL SERVICES (2025) All You Need to Know BEFORE You Go ...
tripadvisor.in
ProV International Office Photos
glassdoor.co.in
Buy Tamil Proverbs With Their English Translation: Containing Upwards ...
amazon.in
Kids Open Craft - Winter Break Session 5, Purses and Proverbs, South ...
allevents.in
THE GUARDIAN
incoc.org
NAVNEET Youva | Chemistry Practical Book | 21.5 x 26.5 cm 1 Ruled / 1 ...
flipkart.com
NAVNEET Youva | Chemistry Practical Book | 21.5 x 26.5 cm 1 Ruled / 1 ...
flipkart.com
AL MANSOUR PLAZA HOTEL (Doha) - Hotel Reviews, Photos, Rate Comparison ...
tripadvisor.in
ProV - Dry Fruits, Nuts, Seeds & More
provfoods.in
AL MANSOUR PLAZA HOTEL (Doha) - Hotel Reviews, Photos, Rate Comparison ...
tripadvisor.in
Satin-2150 - 21.45
fingers.co.in
NOVOTEL MUSCAT AIRPORT - Hotel Reviews, Photos, Rate Comparison ...
tripadvisor.in
LA CASA LINDULA - Hotel Reviews & Photos - Tripadvisor
tripadvisor.in
Daily Prayer - Revelation 21:5 (NASB) | Daily Bible Verse
daily-bible-verse.net
ESTRELA DO MAR BEACH RESORT - A BEACH PROPERTY (Goa/Calangute) - Resort ...
tripadvisor.in
SOUTH AFRICAN WANDERER (2025) All You Need to Know BEFORE You Go (with ...
tripadvisor.in
A Technical Look at USD/INR Amid a Record Plunge of Rupee to 78.4 ...
in.investing.com
SOUTH GATE RESIDENCY (Ernakulam) - Hotel Reviews, Photos, Rate ...
tripadvisor.in
THE GUARDIAN
incoc.org
THE TRIPIDEA (2025) All You Need to Know BEFORE You Go (with Photos ...
tripadvisor.in
CESAR GUIDE (2025) All You Need to Know BEFORE You Go (with Photos ...
tripadvisor.in
PADDLER ZONE CAMP (Muni Ki Reti) - Campground Reviews & Photos ...
tripadvisor.in
HOTEL PIGEONS NEST (Port Blair, Andaman and Nicobar Islands) - Hotel ...
tripadvisor.in
NAVNEET Youva | Chemistry Practical Book | 21.5 x 26.5 cm 1 Ruled / 1 ...
flipkart.com
THE MADISON RIVERWALK (San Antonio) - Specialty Hotel Reviews, Photos ...
tripadvisor.in
C CENTRAL RESORT THE PALM (Dubai) - Hotel Reviews, Photos, Rate ...
tripadvisor.in
J23 Inter 2022 PROV RANK LIST - RANK REG. NO June-2023 TERM PROVISIONAL ...
studocu.com
Buy God the Holy Spirit Archangel Michael's Proverbs Books 1 Thru 5 ...
amazon.in
Samsung Essential Series S3 Flat Monitor 27 Inch (68.6 cm) FHD (1,920 x ...
amazon.in
Amazon.in: Buy LET LOVE PROV 3:3-4 9.5 X 12.5"" PAD Book Online at Low ...
amazon.in
Prov Payslip is generated for Jan month. I am new to HCL, joined on 3rd ...
glassdoor.co.in
THE PREV (Kellerberrin) - Specialty Hotel Reviews & Photos - Tripadvisor
tripadvisor.in
UTOPIA RESORT MANALI - Hotel Reviews & Photos - Tripadvisor
tripadvisor.in
KEYS OF ITALY / FLORENCE (2025) All You Need to Know BEFORE You Go ...
tripadvisor.in
DUBAI NOW TOUR (2026) All You Need to Know BEFORE You Go (with Photos ...
tripadvisor.in
The 10 Best Hotel Deals in Cooch Behar (Jan 2026) - Tripadvisor
tripadvisor.in
MARWAN ZENAIDI (2025) All You Need to Know BEFORE You Go (with Photos ...
tripadvisor.in
VIDEO: Aunt Marries Her Nephew In Front Of Her Husband & Daughter At ...
freepressjournal.in
THE GUARDIAN
incoc.org
CRUISE ST. PETE BEACH (2026) All You Need to Know BEFORE You Go (with ...
tripadvisor.in
21/5÷3/35 solve it and explain - Brainly.in
brainly.in
PARK IRIS HOTELS, VIJAYAWADA (Andhra Pradesh) - Hotel Reviews, Photos ...
tripadvisor.in
Varun Buddhadev spoke about 'Swatantrya Veer Savarkar' | વરુણ બુદ્ધદેવે ...
divyabhaskar.co.in
POKAN DOKANI (2025) All You Need to Know BEFORE You Go (with Photos ...
tripadvisor.in
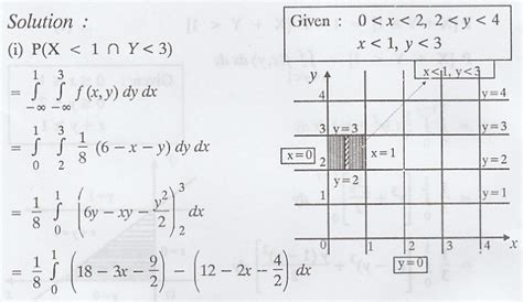
Problems Under Continuous Random Variables
ece.poriyaan.in
G B RESIDENCY (Melmaruvathur) - Hotel Reviews & Photos - Tripadvisor
tripadvisor.in
TRAGEDIA EL POMPEYO: INTRODUCCION Y NOTAS DE M. A. TEIJEIRO FUENT ES ...
casadellibro.com
KASHID HERITAGE BEACH RESORT (Maharashtra) - Lodge Reviews & Photos ...
tripadvisor.in
AFRICA GREEN TOURS (2025) All You Need to Know BEFORE You Go (with ...
tripadvisor.in
LA FAMILLE BERBERE (Ait Youl) - Hotel Reviews & Photos - Tripadvisor
tripadvisor.in
DO SOCORRO DIVE ADVENTURES (2026) All You Need to Know BEFORE You Go ...
tripadvisor.in
COCOTEL EL PUEBLO DE HERMANO RESORT (Batangas/Lian) - Guesthouse ...
tripadvisor.in
ARIEL DE LEON (2026) All You Need to Know BEFORE You Go (with Photos ...
tripadvisor.in
LA LOMA DEL MANGO (Malena) - B&B Reviews & Photos - Tripadvisor
tripadvisor.in
10 BEST Places to Visit in Wardha - UPDATED 2022
tripadvisor.in
«Фігури Технічного Аналізу» — Teletype
teletype.in
WIND N WAVES RESORT (Alibaug, Maharashtra) - Hotel Reviews, Photos ...
tripadvisor.in
HOTEL AMJECO (San Isidro del General) - Hotel Reviews, Photos, Rate ...
tripadvisor.in
LE COLLINES RESORT (Vagamon, Kerala) - Resort Reviews, Photos, Rate ...
tripadvisor.in
HOTEL GURU ESTATE (Puri, Odisha) - Hotel Reviews, Photos, Rate ...
tripadvisor.in
Fijian PM Sitiveni Ligamamada Rabuka To Visit India Aug 24–26, Hold ...
freepressjournal.in
HOTEL EL EDÉN (Montevideo) - Hotel Reviews & Photos - Tripadvisor
tripadvisor.in
Entry of Jio Financial Services in the stock market | શેરબજારમાં Jio ...
divyabhaskar.co.in
ZADAR SAILING (2026) All You Need to Know BEFORE You Go (with Photos ...
tripadvisor.in
ZANZIBAR IBRAHIM TOURS (2025) All You Need to Know BEFORE You Go (with ...
tripadvisor.in
A Complete Collection Of Scottish Proverbs (1721): Buy A Complete ...
flipkart.com
Auflage für Säule oben links PROV Tesla Modell 1086237 91 in Kiew ...
fast-alles.net
IGHOUD PARK (2025) All You Need to Know BEFORE You Go (with Photos ...
tripadvisor.in
ENTRECUEVAS (Setenil de las Bodegas) - Lodging Reviews, Photos, Rate ...
tripadvisor.in
INDE EN DIRECT (2025) All You Need to Know BEFORE You Go (with Photos ...
tripadvisor.in
CASA COM PISCINA PARA TEMPORADA E FINAL DE SEMANA (Ubatuba, Sao Paulo ...
tripadvisor.in
MALAPASCUA EXOTIC ISLAND DIVE RESORT (Malapascua Island, Cebu Island ...
tripadvisor.in
BE YOUR GUIDES - CHIANG MAI (2025) All You Need to Know BEFORE You Go ...
tripadvisor.in
Bible Verses About Houses - Christian Worship
jesussongs.in
JARDIM SECRETO (Penedo) - Hostel Reviews & Photos - Tripadvisor
tripadvisor.in
LE PAIN QUOTIDIEN (Istanbul) - Hotel Reviews, Photos, Rate Comparison ...
tripadvisor.in
CATHERINE HUBERT GIROD (2025) All You Need to Know BEFORE You Go (with ...
tripadvisor.in
KAYAK 33 (2026) All You Need to Know BEFORE You Go (with Photos ...
tripadvisor.in
Related Searches
Proverbs 6 9
Proverbs 5 12
Proverbs 21 12
Proverbs 21 35
Proverbs 16 25
Proverbs 13 11
Proverbs 16 2
Proverbs 5 22
Proverbs 21 15
Proverbs 21 20
Old English Proverbs
Proverbs 8 35
21st Psalm
Proverbs 24 29
Proverbs 14:5
Proverbs 10 1
Proverbs 5 18
Revelation 21:5
Proverbs 1 5-7
Proverbs 23 15
Proverbs 19:8
Proverbs 20:3
Proverb Chapter 5
Proverbs 12 26
Proverbs Worksheet
Proverbs 4:13
Proverbs 21V 5
Proverbs Verses
Proverbs 21 NLT
Proverbs 21:31
Proverbs 1 33
Proverbs 21 5 Wallpaper
Desktop Wallpaper Proverbs
Proverbs 3 5 6 Printable
Proverbs 21 Bible Verse
Proverbs 1:7 9
Ancient African Proverbs
Proverbs 21 30
Galatians 5 21
Love Proverbs
Book of Proverbs 5 21
Proverbs for Work
Proverbs 18 5 Meme
Proverbs 3:5-6 Tattoo
Proverbs of Hard Work
Proverbs 15 vs 20
Song of Solomon Bible
Proverbs 27 6
Genesis 26 5
Proverbs 3 5 Coloring Page
Search
×
Search
Loading...
No suggestions found