Find Your Style
Women
Men
Accessories
Search for clothing, brands, styles...
×
Women
Men
Accessories
Psy Time Magazine
Search
Loading...
No suggestions found
Psychiatry Journal Subscription | Psychiatry Magazine Subscription
psychiatryjournal.in
Psychology Entrance Coaching | MA Clinical Psychology Entrance, M.Phil ...
upseducation.in
Stamp Magazine Subscriptions - Online Magazines Subscriptions.in
magazinesubscriptions.in
PsyTime — Teletype
teletype.in
Get digital access to Time - January 16 - 23, 2023 (Double Issue) issue ...
magzter.com
Indian Celebrities On Time Magazine Cover
indiatimes.com
Psychology Worlds Issue 1: Careers In Psychology A Guide To Careers In ...
amazon.in
Après la rupture, que faire ? Conférence dune psy, Le Verre à Soi ...
allevents.in
"INSOLITE" Online Magazine of Psychology Association 2021 - Union ...
psychology.uccollege.edu.in
Indian Celebrities On Time Magazine Cover
indiatimes.com
Êtes-vous dans le schéma des exigences élevées ? Conférence dune psy ...
allevents.in
TIME Magazine Cover Showing PM Modi With Hitler Moustache Is Fake
newschecker.in
Blue Pottery Hanging Magazine Holder – NEERJA INTERNATIONAL INC
neerja.com
Time Magazine cover showing Hitler's face juxtaposed over Modi's ...
newsmeter.in
Parveen Babi to Manmohan Singh: Indians who appeared on TIME magazine ...
theweek.in
Psychology notes - Bachelor of Arts 2 th Semester PSYCHOLOGY Paper ...
studocu.com
together magazine
togethermagazine.in
MPC-004 - Advanced Social Psychology Past Year Question Paper - Studocu
studocu.com
Reader Research in psychology time in three volumes, edited by AI ...
amazon.in
TIME Magazine Cover Showing PM Modi With Hitler Moustache Is Fake
newschecker.in
MPC-006-24J - June 2024 Exam: Statistics in Psychology - Studocu
studocu.com
Time magazine's list of 100 most influential people
divyabhaskar.co.in
Time Magazine's 2022 Person of the Year: Volodymyr Zelensky and "Spirit ...
currentaffairs.adda247.com
TOWER GOES PSY, Heppenheimer Straße 10, 39052 Caldaro, Italy, Laives ...
allevents.in
Psychology Question Papers - Bachelor of Arts 1 st Semester PSYCHOLOGY ...
studocu.com
Psychology - 2022 Psychology Time: 3 hours qqq: s dt Maximum Marks: 200 ...
studocu.com
Class xi psy - SAMPLE PAPER TERM I EXAMINATION SESSION 2019- CLASS –XI ...
studocu.com
BTS Broke Another YouTube Record, Overtaking Psy This Time! - Entertainment
in.mashable.com
Psychology(2nd)May2019 - Bachelor of Arts 2 nd Semester PSYCHOLOGY Time ...
studocu.com
MPCE-21 - T. MPCE- MASTER OF ARTS (PSYCHOLOGY) Term-End Examination ...
studocu.com
TIME MAGAZINE – Buzzard
buzzard.org
MPC-006: Comprehensive Question Paper for Statistics in Psychology Exam ...
studocu.com
together magazine
togethermagazine.in
together magazine
togethermagazine.in
Psychology Class 11 Ncert With Fullmarks Guide (Set Of 2 Books): Buy ...
flipkart.com
together magazine
togethermagazine.in
together magazine
togethermagazine.in
together magazine
togethermagazine.in
together magazine
togethermagazine.in
together magazine
togethermagazine.in
Viral Photo Likening PM Modi To Hitler Is Not A Real TIME Cover | BOOM
boomlive.in
MPCE-021: Previous Year Exam Papers in Counseling Psychology (2012-2016 ...
studocu.com
Mock Exam 4 - .no any - Mock Exam_ May, MA (Clinical Psychology ...
studocu.com
BA Psychology: Subjects, Colleges, IGNOU, DU, Jobs, Careers, Scope ...
collegesearch.in
Christ College: PSYCHOLOGY
dspace.christcollegeijk.edu.in
How to Analyze People with Psychology: The Ultimate Guide to Speed ...
amazon.in
Sanitary Napkins Manufacturer – Saathi: Eco-friendly, period
saathipads.com
Infosys in TIME's 'The World's Best Companies of 2023' List
currentaffairs.adda247.com
भारतातल्या चलनी नोटांवर महात्मा गांधींचा फोटो कसा आला? त्याआधी काय होतं ...
mumbaitak.in
Explained: RBI's move to allow trade settlements in Indian rupee- The Week
theweek.in
Exploring the Human Mind: Industrial Organisational Psychology, June 30 ...
allevents.in
These Indians made it to Time's list of 100 most influential people of ...
timesofindia.indiatimes.com
MPC 005 previous year question papers - No. of Printed Pages : 2 MPC- M ...
studocu.com
MPCE-046 - Previous Year Paper: Applied Positive Psychology Exam - Studocu
studocu.com
Sample Question Paper - 3 - Psychology Class 11 - Humanities/Arts PDF ...
edurev.in
टाइम मैगजीन के कवर पेज नजर आईं Deepika Padukone
hindicurrentaffairs.adda247.com
jan 1, 1872 - Brass Instrument Psychological Test Era in Europe Wilhelm ...
time.graphics
MPC 005 previous year question papers - No. of Printed Pages : 2 MPC- M ...
studocu.com
Rupee slides to fresh all-time low of 83.78 against dollar on forex ...
english.varthabharati.in
The Art of Productivity: Strategies for Achieving More in Less Time ...
amazon.in
Flow: The Psychology of Optimal Experience- I | Rajan Parulekar
rajanparulekar.in
YENEPOYA SCHOOL OF ALLIED HEALTH SCIENCES
ysahs.yenepoya.edu.in
Top fashion magazines in the world – Fashionous
fashionous.in
In Depth Magazine Review Writing Template
twinkl.co.in
Crashing Lira just made your Turkey vacation 50% cheaper | Condé Nast ...
cntraveller.in
Self help book of all time the power of your subconscious mind by ...
flipkart.com
Deepika Padukone Is Charting New Horizons With Her Self-Care Journey ...
grazia.co.in
JioHotstar - Watch TV Shows, Movies, Specials, Live Cricket & Football
hotstar.com
1.2 Scope of Educational Psychology
detsndt.ac.in
See all 27 editions of Vogue’s The Creativity Issue covers | Vogue India
vogue.in
UPSC Monthly Current Affairs Magazine – May 2022 – PDF Download
adda247.com
LA DEL PROCESO - Kris R. - LETRAS.COM
letras.com
William James, father of American Psychology, established the first ...
time.graphics
Priyanka Chopra’s guide to making it in Hollywood | GQ India
gqindia.com
This 'Coin Watch' is the last one minted before Independence ...
architecturaldigest.in
lisa su work culture: Latest News & Videos, Photos about lisa su work ...
economictimes.indiatimes.com
US Standard Paper Sizes For Printing Framing Shanty Town, 51% OFF
elevate.in
The NorthCap University catalog
opac.ncuindia.edu
BAJAJ DOMINAR 400 ACCESSORIES & TOURING PARTS
indianbikersmagazine.in
Max Verstappen world champion of Formula 1 2022
lifestyleasia.com
Buy Decorations At Evergreen Christmas Centre | LBB, Chennai
lbb.in
With new design on the way, a short photo history of the Rupee One note
scroll.in
Innov8 R City - Coworking Space and Shared Office Space in Ghatkopar ...
myhq.in
Street Triple 765 R Model | For the Ride
triumphmotorcycles.in
Climate change adding layer of vulnerability to fragile Himalayas ...
theweek.in
Post demonetisation, Centre wants to change security features of ...
scroll.in
UPSC Monthly Current Affairs Magazine January 2023 (English Printed ...
flipkart.com
PsyTime — Teletype
teletype.in
FIVE RUPEE NOTE Arts - Antiques Patna 162749742
clickindia.com
Artur Beterbiev vs Dmitry Bivol 2 and Joseph Parker vs Martin Bakole ...
skysports.com
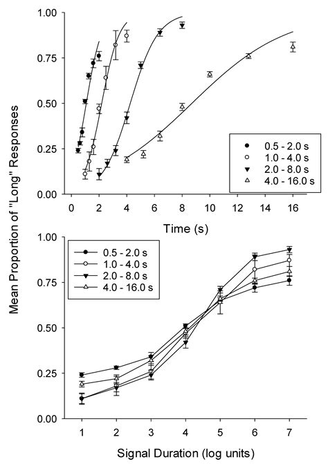
Weber’s Law and the Scalar Property of Timing: A Test of Canine Timing
mdpi.com
Falling rupee: India should let its currency weaken to contain current ...
scroll.in
Buy Personalised En Vogue Magazine Cover Online Digital at Best Prices ...
giftcart.com
Energize Your Mind: Learn the Art of Mastering Your Thoughts, Feelings ...
amazon.in
Watch: Padmaavat’s Khalibali featuring Ranveer Singh mashed up with Psy ...
scroll.in
Adi R Questionnaire Pdf - Fill Online, Printable, Fillable, Blank ...
pdffiller.com
The Tenant eBook : McFadden, Freida: Amazon.in: Kindle Store
amazon.in
This Mumbai-based couple travelled across India for 200 days. Here’s ...
cntraveller.in
English CAPS Planning and Record Sheet - Grade R
twinkl.co.in
University of Perpetual Help System Dalta | University Fees, Admission ...
careerplus.org.in
Rupee has a symbol! IIT-ian's design selected - Rediff.com Business
business.rediff.com
University of Perpetual Help System Dalta | University Fees, Admission ...
careerplus.org.in
Malayalam actor Sasi Kalinga passes away at 59- The Week
theweek.in
How to insert minimum stay for a longer period of time
mappingmaster.com
Gayathrie Wiki, Affairs, Today Omg News, Updates, Hd Images Phone Number
goprofile.in
University of Perpetual Help System Dalta | University Fees, Admission ...
careerplus.org.in
India Russia Trade Imbalance - UPSC Current Affairs - IAS GYAN
iasgyan.in
Lyceum Northwestern University, Dagupan - Philippines | University ...
careerplus.org.in
Rupee value increases to 65 per US dollar. How will it impact the ...
scroll.in
How to Interpret a Correlation Coefficient r - India Dictionary
1investing.in
Lyceum Northwestern University, Dagupan - Philippines | University ...
careerplus.org.in
Dhanteras 2020: Day, significance, Puja Muhurat and other details
scroll.in
B.R.AMBEDHKAR PNGS || DR. B. R. AMBEDKAR FULL HD IMAGES FREE || DR. B ...
editingworld.in
Farasha Presents-A Walk In The Forest, AtréYoga Studio | LBB
lbb.in
OPINION: The economy’s problem is one of purchasing power, not ...
theweek.in
Maruti Suzuki Wagon R 1.2L ZXI Plus Petrol price, specs, mileage ...
carz4sale.in
Inside The Virtual World Of Aditya Ramesh: Founder of DALL·E and co ...
homegrown.co.in
Nicardia Retard 20 Tablet | Uses, Side Effects, Price | Apollo Pharmacy
apollopharmacy.in
Omegle Alternatives: Find Random Video Chat & Make New Friends!
login.yip.kerala.gov.in
Buy pre-owned Kawasaki Ninja ZX-10R | Boss Rides
bossrides.in
Related Searches
Prothrombin Time INR
INR Blood
Prothrombin Time and INR Chart
Normal INR
INR Meaning
PT/INR Test
Low INR
INR Range
What Is INR
High INR
INR Scale
Therapeutic INR
INR Calculation
INR Levels
INR Medical
Calculate Prothrombin Time From INR
INR Table
INR Pathway
PT/INR Ratio
PT/INR Normal Value
INR Diagram
Home INR Monitoring
INR Medical Term
INR Standard
ค่า INR คือ
Prothrombin Time vs INR
INR Formula
INR High Means
PTT Normal Range
INR Clots
INR Reference Range
Warfarin INR. Check
INR Equation
INR Measures
Prothrobin Time and INR
Elevated PT/INR
INR Score Meaning
What Is Abnormal INR
Prothrombin Time versus INR
INR Example
INR Blood Clot
INR Calculator
High INR Treatment
International INR
Printable INR Chart
Prothrombin Time to INR Conversion Chart
Convert Prothrombin Time 19 to INR
INR Testing Machines for Home
Pro Time INR Result Sheet
PT and PTT Coagulation Cascade
Search
×
Search
Loading...
No suggestions found