Find Your Style
Women
Men
Accessories
Search for clothing, brands, styles...
×
Women
Men
Accessories
Publishers Proven Process Chart Examples
Search
Loading...
No suggestions found
TRX Price to Indian Rupee | Convert TRX to INR
binance.com
INR
indiannaturalrubber.com
Steam’s New Update Will Remove Games and DLC Priced at Below INR 82.28 ...
in.ign.com
UGC Approved Journal Equivalent to Peer Reviewed Journal International ...
ierj.in
How to Self-Publish a Book: A Step-by-Step Guide
double9books.com
The Writing Process Chart (Cheap Charts) : Schaffer, Frank, School ...
amazon.in
Next steps slide Images - Free Download on Freepik
freepik.com
Start To Finish Self-Publishing: A Proven Process for Selling Your Book ...
amazon.in
Praveen Aroma
praveenaroma.com
Free Performance Assessment Flowchart Templates
edrawsoft.com
What Are the Types, Uses, and Benefits of Loops in Flowcharts?
edrawmax.wondershare.com
Flowchart, Process Map, Workflow drawn by Microsoft Visio | Freelancer
freelancer.in
Fertigungsprozess Flussdiagramm Leitfaden
edrawsoft.com
Flussdiagramm erklärt: Bedeutung, Art, Erstellung, Verwendung und Beispiel
edrawsoft.com
30+ उदाहरण सहित जानिए Flowchart क्या हैं। Hindi में।
visme.co
Machine Learning—A Review of Applications in Mineral Resource Estimation
mdpi.com
What Are the Types, Uses, and Benefits of Loops in Flowcharts?
edrawmax.wondershare.com
How to Build a Financial Close Process Flowchart | Workiva
workiva.com
Tense Chart in English: Types and Rules with Examples
oswalpublishers.com
Tense Chart in English: Types and Rules with Examples
oswalpublishers.com
An assembly activity is represented on an operation process chart be t ...
zonetech.in
Buy Proven Chart Patterns for Options Trading: In Charts We Trust (The ...
amazon.in
15+ SWOT Analysis Examples for Students - Oswal Publishers
oswalpublishers.com
USD/INR Cracks Big: Falls 2% in 4 Days! | Investing.com India
in.investing.com
Fertigungsprozess Flussdiagramm Leitfaden
edrawsoft.com
Report Writing: Format, Topics, Examples for Class 10 & 12 - Oswal ...
oswalpublishers.com
Fertigungsprozess Flussdiagramm Leitfaden
edrawsoft.com
Agreement report charts and data exports
helpx.adobe.com
Fluvial Landforms Meaning, Processes, Types, Diagram, Examples
studyiq.com
IELTS Process Chart Task 1: Tips, Questions & Sample Answers
shiksha.com
Fertigungsprozess Flussdiagramm Leitfaden
edrawsoft.com
Descriptive Writing Class 9: Format, Topics, and Examples - Oswal ...
oswalpublishers.com
How to Become Topper in Class 8: Proven Tips and Study Plans - Oswal ...
oswalpublishers.com
Life Processes Class 10 Notes Science Chapter 5 Free PDF
edurev.in
Ranipet Tannery Effluent Treatment Co.Ltd.
ranitec.com
Buy Therapeutic Recreation Processes and Techniques, 8th Ed.: Evidence ...
amazon.in
Partial Thromboplastin Time Wikipedia, 58% OFF
elevate.in
Life Processes - Class 10 Chapter 6 Short Notes (Mind Maps)
esaral.com
Tense Chart, with Rules and Examples, in English PDF
adda247.com
Chemical Process Principles: Material and Energy Balances (Part - 1 ...
flipkart.com
37 Proven Time Management Tips For Students | Ultimate Guide
oswalpublishers.com
PROVEN CHART PATTERNS FOR OPTIONS TRADING: IN CHARTS WE TRUST (THE ...
amazon.in
Report Writing: Format, Topics, Examples for Class 10 & 12 - Oswal ...
oswalpublishers.com
Buy Time Analysis Of Price Charts Explained With Real Chart Examples ...
desertcart.in
HealthIndia Insurance TPA Services Pvt. Ltd.
healthindiatpa.com
Buy Make Money With Chart Patterns: A Complete Trading Guide for Stock ...
amazon.in
Diary Entry for Class 9 | Format, Topics & Examples
oswalpublishers.com
Report Writing: Format, Topics, Examples for Class 10 & 12 - Oswal ...
oswalpublishers.com
37 Proven Time Management Tips For Students | Ultimate Guide
oswalpublishers.com
tell something about class 10 life process chapter - Brainly.in
brainly.in
Project Management Pm Process Flow Laminated Wall Chart 34 5 ...
desertcart.in
Self-Care for Smart Girls with ADHD: A Proven Girl’s Guide Moving into ...
amazon.in
Agreement report charts and data exports
helpx.adobe.com
Report Writing: Format, Topics, Examples for Class 10 & 12 - Oswal ...
oswalpublishers.com
Top 15 SWOT Analysis Examples for Students [2024]
oswalpublishers.com
Top 15 SWOT Analysis Examples for Students [2024]
oswalpublishers.com
Life Processes - Class 10 Chapter 6 Short Notes (Mind Maps)
esaral.com
Buy Carson Dellosa 37-Piece R.A.C.E. Writing Strategy Bulletin Board ...
desertcart.in
Buy Realistic Stock Trading Analysis: Descending Triangles Explained ...
desertcart.in
Report Writing: Format, Topics, Examples for Class 10 & 12 - Oswal ...
oswalpublishers.com
20 Proven Exam Study Hacks For Students 2024
oswalpublishers.com
Buy Complete Process Color Finder: For Desktop Publishers and Graphic ...
amazon.in
Fermentation- Examples, Diagram, Meaning, Reaction, Process
adda247.com
Letter to Editor: Format, Topics and Examples Class 9, 10, 11, & 12
oswalpublishers.com
What are Phonological Processes? - Answered - Twinkl Teaching Wiki
twinkl.co.in
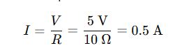
Ohm’s Law – Definition, Experiment, Derivation, and Examples - Oswal ...
oswalpublishers.com
Descriptive Writing Class 9: Format, Topics, and Examples - Oswal ...
oswalpublishers.com
Tense Chart in English, Rules, Examples and its Types
careerpower.in
OneMoreStep
onemorestep.in
37 Proven Time Management Tips For Students | Ultimate Guide
oswalpublishers.com
Buy Fibonacci Extensions & Projections Explained With Real Chart ...
desertcart.in
How did a variety of cultural processes play an important role in ...
ask.learncbse.in
The Flow Play Method. Teaching Kids English Like a Native.: 7 proven ...
amazon.in
Arbeitsablaufdiagramm-Beispiele zum Download
edrawsoft.com
Indian Publishers and Chat GPT
frontlist.in
200+ Best Praising Words in English with Examples - Oswal Publishers
oswalpublishers.com
Process | National Food 'n' Spices
nfns.in
Word formation - MCQs ~ UG English
ugenglish.in
Flow chart on life processes class 10 - Brainly.in
brainly.in
5 Proven Ayurvedic Medicines For Irregular Periods – HealthFab
healthfab.in
Buy Stick With It: A Scientifically Proven Process for Changing Your ...
amazon.in
Wild Animals Educational Chart: Buy Wild Animals Educational Chart by ...
flipkart.com
Ohm’s Law – Definition, Experiment, Derivation, and Examples - Oswal ...
oswalpublishers.com
Filtration: Definition, Process, Types & Examples | AESL
aakash.ac.in
Kalyani Publishers
kalyanipublishers.co.in
“Mastering Trading Charts: A Complete Guide to Patterns, Timeframes ...
amazon.in
Letter to Editor, Format, Topics and Examples Class 9 to 12
oswalpublishers.com
BIG Downside: USD/INR Cracks to 9-Month Low! | Investing.com India
in.investing.com
1001 Ways to Market Your Books: Includes over 1000 proven marketing ...
amazon.in
Employee Surveys: Practical and Proven Methods, Samples, Examples ...
amazon.in
37 Proven Time Management Tips For Students | Ultimate Guide
oswalpublishers.com
Proven Process Logo - Pngsource
pngsource.in
37 Proven Time Management Tips For Students | Ultimate Guide
oswalpublishers.com
Ohm’s Law – Definition, Experiment, Derivation, and Examples - Oswal ...
oswalpublishers.com
Descriptive Writing Class 9: Format, Topics, and Examples - Oswal ...
oswalpublishers.com
Maslow's Hierarchy of Needs Pyramid Diagram - Edraw
edrawsoft.com
37 Proven Time Management Tips For Students | Ultimate Guide
oswalpublishers.com
Fragmentation: Definition, Diagram, Examples and its Process
careerpower.in
20 Proven Exam Study Hacks For Students 2025
oswalpublishers.com
IELTS Process Chart Task 1: Tips, Questions & Sample Answers
shiksha.com
49 Processes of Project Management - Based on PMBOK 6th Edition
itechgurus.org
Letter Writing in English: Types, Formats, Examples and Writing Tips ...
oswalpublishers.com
Top 15 SWOT Analysis Examples for Students [2024]
oswalpublishers.com
Buy Understand Your Buyer: 100+ ways to communicate with, engage and ...
amazon.in
Understanding Polymer Processing: Processes and Governing Equations ...
amazon.in
Ohm’s Law – Definition, Experiment, Derivation, and Examples - Oswal ...
oswalpublishers.com
Descriptive Writing Class 9: Format, Topics, and Examples - Oswal ...
oswalpublishers.com
Three step infographic process chart template design vector | Free Vector
freepik.com
GST Export Invoice with Foreign Currency Billing
billingsoftware.in
Hindi Varnamala Chart For Kids | 20x30Inch (51x76cm)| Laminated chart ...
flipkart.com
Buy Realistic Stock Trading Analysis: Ascending Triangles Explained ...
desertcart.in
Ein detaillierter Leitfaden zum PPT Flussdiagramm für Lagerprozesse
edrawsoft.com
20 Proven Exam Study Hacks For Students 2024
oswalpublishers.com
Steel Exchange India Ltd
seil.co.in
Hindi Varnamala Chart For Kids | 20x30Inch (51x76cm)| Laminated chart ...
flipkart.com
50+ Colours Name in English & Hindi: Learn with Examples - Oswal Publishers
oswalpublishers.com
Buy Yoyoboko Premium Magnetic Chore Chart for 1-2 Kids - A Proven ...
ubuy.co.in
Beyond the Sales Process: 12 Proven Strategies for a Customer-Driven ...
amazon.in
Different types of Life Processes and Nutrition Class 10 Notes | EduRev
edurev.in
Theory & Solved Problems in Chemical Principles and Process Calculations
khannapublishers.in
Search
×
Search
Loading...
No suggestions found