Find Your Style
Women
Men
Accessories
Search for clothing, brands, styles...
×
Women
Men
Accessories
Punctatum Plant
Search
Loading...
No suggestions found
Samsung Reaffirms Commitment to India with INR 1588 Crore Investment to ...
news.samsung.com
Buy Fiesta Wall Mounted Artificial Plants from Home Centre at just INR ...
homecentre.in
Hyvision to Set up Plant Worth INR 40 Crore Near Foxconn Facility in ...
businessoutreach.in
Buy Fiesta Wall Mounted Artificial Plants from Home Centre at just INR ...
homecentre.in
Samsung Reaffirms Commitment to India with INR 1588 Crore Investment to ...
news.samsung.com
Saint-Gobain Unveils 3 New Facilities with Over INR 500 Crore ...
mmindia.co.in
Sintex to Establish INR 350 Cr Manufacturing Plant in Telangana ...
hitex.co.in
RO plant sales and services Products at price INR 35000 in Guwahati ...
blueclean.in
ETP ( Effluent Treatment Plant ) Products at price INR 300000 in Noida ...
ecoprotechetpstp.in
Buy Fiesta Artificial Plants in Pot from Home Centre at just INR 2499.0
homecentre.in
Buy Fiesta Artificial Plants in Pot from Home Centre at just INR 2499.0
homecentre.in
Buy Fiesta Artificial Plants in Pot from Home Centre at just INR 2499.0
homecentre.in
This Goregaon Nursery Is Selling Plants For INR 15
lbb.in
RO plant sales and services Products at price INR 35000 in Guwahati ...
blueclean.in
INR Full Form: What is full form of INR?
bankersadda.com
Amit Shah inaugurates Amul's milk powder, butter plants worth INR 415 ...
agritimes.co.in
NurseryNature Croton Gold Dust Thin Leaves Codiaeum Variegatem ...
amazon.in
Combretum punctatum var. squamosum (Roxb. ex G.Don) M.Gangop. & Chakrab ...
powo.science.kew.org
ASPEN® Gold Dust Narrow Leaf Croton/Codiaeum Variegatum Punctatum ...
amazon.in
Combretum punctatum var. squamosum (Roxb. ex G.Don) M.Gangop. & Chakrab ...
powo.science.kew.org
Mphmi Croton Gold Dust (Thin Leaves), Codiaeum Variegatum Punctatum ...
amazon.in
CHILLATAI Codiaeum Variegatum Punctatum Aureum/Gold Dust Narrow Leaf ...
amazon.in
Kesavardhini Plant (Centratherum Punctatum) Flowering/Ornamental/Medic ...
hugaplant.com
Gachwala Lark Daisy (Centratherum punctatum) Flowering Plant Live ...
amazon.in
Creative Farmer Kesavardhini (Centratherum Punctatum) Plant (The Queen ...
amazon.in
CHILLATAI Codiaeum Variegatum Punctatum Aureum/Gold Dust Narrow Leaf ...
amazon.in
Kesavardhini (Centratherum Punctatum) Medicinal Live Plant – Best of One
bestofone.in
Kesavardhini Plant (Centratherum Punctatum) Flowering/Ornamental/Medic ...
hugaplant.com
Combretum punctatum var. squamosum (Roxb. ex G.Don) M.Gangop. & Chakrab ...
powo.science.kew.org
Indiana Brazilian bachelor's button Brazilian button flower Larkdaisy ...
amazon.in
Eco-Shop Codiaeum Variegatum Punctatum Aureum Gold Dust Narrow Leaf ...
amazon.in
Codiaeum variegatum
plantsrescue.com
Ferns Plants for Sale | Kumaran Nursery Garden Vadipatti, Madurai ...
kumarannurserygarden.com
Dipodium - JungleKey.in Image #50
junglekey.in
Herbarium JCB
indiaflora-ces.iisc.ac.in
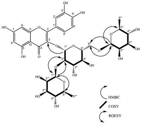
Novel Flavonoid Glycosides of Quercetin from Leaves and Flowers of ...
mdpi.com
Novel Flavonoid Glycosides of Quercetin from Leaves and Flowers of ...
mdpi.com
Codiaeum variegatum
plantsrescue.com
Novel Flavonoid Glycosides of Quercetin from Leaves and Flowers of ...
mdpi.com
Novel Flavonoid Glycosides of Quercetin from Leaves and Flowers of ...
mdpi.com
Kagzi Lime-Sai Sharbati Tissue Culture Plants (Citrus x Limon)
celgenbiotech.com
MF Aquatic Plants
mfaquaticplants.in
Buy Herb Plants Online - Herbs for Your Home | MyBageecha
mybageecha.com
Flipkart Deals of the Day: Ongoing offers and discounts to bag right now
lifestyleasia.com
Delicious Mango Ambika Grafted Plants "Mangifera indica"
celgenbiotech.com
Bihar CM Inaugurates 2 MW Canal-Side Solar Plant in Patna
currentaffairs.adda247.com
Plant Synthetic Promoters: Advancement and Prospective
mdpi.com
Russian Red Pomegranate Tissue Culture Plants "Punica Granatum"
celgenbiotech.com
Table kamini Live Plant : Amazon.in: Garden & Outdoors
amazon.in
Buy Herb Plants Online - Herbs for Your Home | MyBageecha
mybageecha.com
Rolling Nature Air Purifying Red Edged Dracaena Marginata Plant in Blue ...
amazon.in
Russian Red Pomegranate Tissue Culture Plants "Punica Granatum"
celgenbiotech.com
Mango Arunika Grafted Plants "Mangifera indica" | Shop Now!
celgenbiotech.com
INR'S Farm Fresh Premium Alfa Alfa Hay ( Lucerne fodder plant ) – My ...
aquaticexperts.in
Russian Red Pomegranate Tissue Culture Plants "Punica Granatum"
celgenbiotech.com
Chromatographic profiling and anthelmintic activity of solvent ...
jabonline.in
Novel Flavonoid Glycosides of Quercetin from Leaves and Flowers of ...
mdpi.com
Delicious Mango Ambika Grafted Plants "Mangifera indica"
celgenbiotech.com
Plant Kingdom: Classification, Examples, and Characteristics
careerpower.in
Collections – Dream Green
dreamgreen.in
Sexual Reproduction in Flower Plants Advantages | AESL
aakash.ac.in
MF Aquatic Plants
mfaquaticplants.in
Shop Mango Mallika Grafted Plants "Mangifera indica"
celgenbiotech.com
Shop Mango Mallika Grafted Plants "Mangifera indica"
celgenbiotech.com
CSIR CIMAP AROMA | Compound Details
aromadb.cimapbioinfo.in
Buy Fern Living Artificial Plants with Cement Pot from Home Centre at ...
homecentre.in
Dipodium - JungleKey.in Image #50
junglekey.in
India-assisted Mangdechhu Hydroelectric Project handed over
constructionworld.in
2025 Yezdi Adventure Prices And All Details
topgearmag.in
MF Aquatic Plants
mfaquaticplants.in
Delicious Mango Ambika Grafted Plants "Mangifera indica"
celgenbiotech.com
Delicious Mango Ambika Grafted Plants "Mangifera indica"
celgenbiotech.com
Models specimen showing symbolic association in root nodules of ...
brainly.in
17 Best Indoor Blooming Plants that Bring Colours to Your Home
interiorcompany.com
Buy Fern Living Artificial Plants with Cement Pot from Home Centre at ...
homecentre.in
Mind Map: Respiration in Plants Notes | EduRev
edurev.in
Buy Gloria Artificial Plants in Ceramic Planter from Home Centre at ...
homecentre.in
First bio-CNG plant in UP likely at Crossings | Ghaziabad News - Times ...
timesofindia.indiatimes.com
Parts of a Plant Diagram, Functions and Plants Types
careerpower.in
Parts of a Plant Diagram, Functions and Plants Types
careerpower.in
Administration of Warfarin Inhibits the Development of Cerulein-Induced ...
mdpi.com
Ludhiana: Officials told to operate biogas plant at Haibowal Dairy ...
hindustantimes.com
Buy Fern Living Artificial Plants with Cement Pot from Home Centre at ...
homecentre.in
Micronutrient Deficiency and Toxicity in Plants | Encyclopedia MDPI
encyclopedia.pub
Why opt for selective pollution control at thermal plants: INR13,000 ...
economictimes.indiatimes.com
Nibe Limited Unveils New State-Of-The-Art Plant To Strengthen Defence ...
freepressjournal.in
Characteristics of C3 and C4 plants - Environmental Biotechnology ...
studocu.com
Financial Modelling of Solar Power Plant (CAPEX, OPEX, Customer and ...
renewableenergystudygroup.in
Buy Fern Living Artificial Plants with Cement Pot from Home Centre at ...
homecentre.in
Shop Mango Mallika Grafted Plants "Mangifera indica"
celgenbiotech.com
Buy Indoor Plants Online From Paudhe Lagao | LBB
lbb.in
Micronutrient Deficiency and Toxicity in Plants | Encyclopedia MDPI
encyclopedia.pub
Hibiscus 'Midnight Marvel' Seeds – Garden Mithra
gardenmithra.com
Buy Fern Living Artificial Plants with Cement Pot from Home Centre at ...
homecentre.in
Buy Gloria Artificial Plants in Ceramic Planter - Women's Day Gift from ...
homecentre.in
M-Tech Gardens
mtechgardens.com
A New Wave | Grazia India
grazia.co.in
Future Green Power Solutions Pvt. Ltd. in Jaipur, India
fgps.in
Buy Fern Living Artificial Plants with Cement Pot from Home Centre at ...
homecentre.in
SMALL PETS – My Aquarium Store
aquaticexperts.in
Buy Gloria Artificial Plants in Ceramic Planter from Home Centre at ...
homecentre.in
Kranz Anatomy: Diagram, Menaing, Significance & C4 Plants | AESL
aakash.ac.in
Design Case Study of 200KW On-Grid Solar Power Plant
renewableenergystudygroup.in
Buy Hisow Artificial Potted Plants, 2 Packs Small Potted Fake Plants ...
ubuy.co.in
Buy Gloria Artificial Plants in Ceramic Planter from Home Centre at ...
homecentre.in
Rimi Garden® Bougainvillea Promotor Liquid Fertilizer Premium Essential ...
amazon.in
Buy Gloria Artificial Plants in Ceramic Planter from Home Centre at ...
homecentre.in
List some common plant diseases. - Brainly.in
brainly.in
Buy Gloria Artificial Plants in Ceramic Planter from Home Centre at ...
homecentre.in
CSIR CIMAP AROMA | Compound Details
aromadb.cimapbioinfo.in
SHOP 360 GARDEN Mimosa Pudica, Touch me not, Lajalu, Sensitive Plant ...
amazon.in
Shop At Floral World Gardening Store Mylapore | LBB, Chennai
lbb.in
Buy Gardyn 2.0 Vertical Indoor Garden Hydroponics Growing System ...
ubuy.co.in
Buy Gloria Artificial Plants in Ceramic Planter from Home Centre at ...
homecentre.in
A New Wave | Grazia India
grazia.co.in
Best Online Shopping Store in Bangalore for Top Global Brands | Ubuy
ubuy.co.in
How dangerous are interactions between herbal medicines and prescribed ...
msn.com
Pentas Pink - Flowering Plants – Exotic Flora
exoticflora.in
Green Money Plant with Moss Stick – unlimitedgreens
unlimitedgreens.com
Fertilization in Plants, Definition, Process and its Types
careerpower.in
Related Searches
Hypericum Punctatum
Polygonum Punctatum
Microsorum Punctatum
Centratherum Punctatum
Microsorum Punctatum Grandiceps
Myctophum Punctatum
Cyrtopodium Punctatum
Mnium Punctatum
Aextoxicon Punctatum
Persicaria Punctata
Anthoceros Punctatum
Pink Hypericum
Microsorum Diversifolium
Viburnum Punctatum
Pterolobium Punctatum
Krishnaparni Plant
Fern Punctatum
Di Podium Punctatum
Carcinosoma Punctatum
Linum Punctatum
Shyam Tulsi Plant
Hilly Flowering Plants
Combretum Punctatum
Kesardam Plant
Rhizomnium Punctatum
Kasubanggi Plant
Microsorum Punctatum Fern Mother Plant
Centratherum Punctatum Cass
Vascularied Flowering Plant
Gaiadendron Punctatum
Gulbas Flowering Plants
Sadarhbari Flowering Plant
White Hypericum
Microsorum Punctatum Green Flame
Hypericum Native Range
Cristacirrhitus Punctatus
Singra Plant
Hypericum Pumctatum
Carcinosoma Punctatum Large
Nitophyllum Punctatum
Bulbophyllum Punctatum
Kalasparn Plant
Codiaeum Variegatum Punctatum Aureum Indoor Plant
Carcinosoma Punctatum Monster
Cerithium Punctatum
Persicaria Punctatum
Hypericum Blue Leaf
Search
×
Search
Loading...
No suggestions found