Find Your Style
Women
Men
Accessories
Search for clothing, brands, styles...
×
Women
Men
Accessories
Pupils Distance Calculate Python Code
Search
Loading...
No suggestions found
inr |Isometric Dots A4 Paper |1 cm Distance Between Dots |Best for ...
amazon.in
Buy Valve Corporation INR 2500 Steam Wallet Code(Digital Code-Email ...
amazon.in
inr |Isometric Dots A2" Plus Size Paper 5 mm Distance Equilateral 3D ...
amazon.in
INR To Yen Conversion: An All Inclusive Guide For 2025
traveltriangle.com
All Under INR 200: Try A Round Of Indoor Laser Tag Delhi | LBB, Delhi
lbb.in
Calculator Program In Python - Explained With Code Examples // Unstop
reliancetup.in
Implement sample code for display student results using python|S-Logix
slogix.in
Pupillary Distance
visionopolis.in
Q-1: Write a program to accept two distances(first distance in feet and ...
brainly.in
Note: For making these specs accurately, we need PD (pupillary distance),
lenskart.com
Calculator Program in Python using while loop
codingwithsid.in
To input the roll number, name, and marks in five subjects of a student ...
brainly.in
Flow chart for distance between two points It's a python program ...
brainly.in
[Expert Answer] write a python program that accepts radius of a circle ...
brainly.in
Python Program to Calculate Simple Interest and Compound Interest
codingwithsid.in
Write a program to read a list of n integers and find their median ...
brainly.in
Blog | Utyl
blog.utyl.in
10. write a simple python program to obtain length and breadth of a ...
brainly.in
write a program in python to enter the mark in 3 subjects and calculate ...
brainly.in
Python program to calculate simple interest and compound interest ...
brainly.in
AISITESY Optical Digital Pupillary Distance Meter Led Pd Meter ...
amazon.in
Basic Python Programming(313011) Practical No 2: Write simple Python ...
kscheme.msbtediploma.in
(Python)Find sum of factorial series: x-x^2/2!+X^4/4!-x^6/6!.......n ...
brainly.in
Python Code in Jupyter Notebook for Linear Regression with Single and ...
studocu.com
WRITE PYTHON CODE TO READ LENGTH AND BREADTH AND DISPLAY AREA OF ...
brainly.in
Enshey 45~82 mm Optical Digital Pupillary Distance India | Ubuy
ubuy.co.in
write a python program to find remainder when a number is divided by ...
brainly.in
Wap in python to find roots of a quadratic equation and its type(real ...
brainly.in
Optimac Digital PD Meter Pupilometer Pupil Distance Meter Optical ...
amazon.in
Source code for calculate the measure of dispersion | S-Logix
slogix.in
How Python Compiler is used by Developers? | FITA Academy
fitaacademy.in
write a python program to find all roots of a quadratic equation ...
brainly.in
write a program to print sum of two numbers. #python - Brainly.in
brainly.in
write the program in python to calculate sum and average of four number ...
brainly.in
Huanyu Digital Pupilometer Optical PD Meter Pupil India | Ubuy
ubuy.co.in
How To Run Python In Cmd | Python Knowledge Base : Go4Hosting
go4hosting.in
GRAStech
grastech.in
GRAStech
grastech.in
Gram's Stain Report Format | MS Word & Pdf
labsmartlis.com
Codemate
codemate.co.in
Interactive and Script Mode in Python :: Teaching Resource by JSP
jsp.shiksha
Pin to Pin Distance - How to Calculate Distance Between Two Pin Codes ...
cleartax.in
NSKMultiservices
pincodes.nskmultiservices.in
Pin to Pin Distance - How to Calculate Distance Between Two Pin Codes ...
cleartax.in
Texas Instruments TI-84 Plus CE Graphing Calculator : Texas Instruments ...
amazon.in
CTC Calculator | Salary Breakdown for Indian Employees
ctccalculator.in
How Does Python Code Work?
dowithme.in
write a program to input side of a square. calculate and display area ...
brainly.in
Write a program to find the factorial of a number in python - Brainly.in
brainly.in
How To Write Your First Code In Python
seekho.in
Buy ABIDE Pupillary Distance Ruler PD Meter Eye Distance PD ruler eye ...
ubuy.co.in
Stacks | Learn Everything about Stacks in DSA
talentbattle.in
10 Highest Currencies In The World With Strongest Currency Value ...
goodreturns.in
Buy Python GUI Programming with Tkinter: Design and build functional ...
ubuy.co.in
write a program to accept a number from 1 to 7 and display the name of ...
brainly.in
Asset Beta & Market Beta In Python | Investing.com India
in.investing.com
Measure my PD | PD Measurement | Pupils Distance | Get PD — Teletype
teletype.in
write a python program to find average of list of numbers entered ...
brainly.in
Write a program to calculate the product of two numbers. #python ...
brainly.in
GRAStech
grastech.in
Zakat Explained With Simple Calculations | Zakat Vs Income Tax - Learn ...
learnaboutislam.in
Calculation of Tender or Quotation - Overheads, Cost Accounting - Cost ...
edurev.in
[Answered] write a menu driven program to calculate area of circle and ...
brainly.in
Write a program to create a menu-driven calculator that performs basic ...
brainly.in
Write a program to input distance between two cities (in kms) through ...
brainly.in
Mindmap: Motion and Measurement of Distance Notes | EduRev
edurev.in
Stand out navy blue corset top – Kostume County
kostumecounty.com
Pin to Pin Distance - How to Calculate Distance Between Two Pin Codes ...
cleartax.in
SBI BANK CODE SBCHQ-GEN-PUB-IND-INR MEANING.SBI DIFFERENT TYPES OF ...
digitalhelper.in
Write a program to calculate simple interest using c++ - Brainly.in
brainly.in
Write a python program to calculate simple and compound interest when ...
brainly.in
Python - Notex
harshityadav.in
Write a python program they inputs a student marks in 5 subjects out of ...
brainly.in
C Language Video
vedveethi.co.in
Buy Freenove ESP32-WROVER CAM Board (Compatible with Arduino IDE ...
ubuy.co.in
Write a program to calculate distance using this formula: distance ...
brainly.in
Selection Sort Visualizer | Simple Sorting Animation with Code in JS, C ...
dsavisualizer.in
Buy NERF Vortex Aero Howler Neon Foam Ball, Classic Long-Distance ...
ubuy.co.in
Resistor Colour Code Calculator | Mouser India
mouser.in
Final Python Lab Manul - Ex(1) Simple interest Aim: To compute to find ...
studocu.com
write a program to calculate 5% of the discount on python - Brainly.in
brainly.in
Pin to Pin Distance - How to Calculate Distance Between Two Pin Codes ...
cleartax.in
Python-1 - python assignments - The Complete Python Course Duration: 20 ...
studocu.com
AirAsia's cheapest ticket ever!-Malaysia Domestic tickets for 12 MYR ...
airlineblog.in
Gold & Silver Indices | GSI Historical Data | Bullion India
bullionindia.in
write a program accept length and breadth of a rectangle. calculate and ...
brainly.in
Pin to Pin Distance - How to Calculate Distance Between Two Pin Codes ...
cleartax.in
Solved: Some pupils in two different classes take a test. There are 16 ...
gauthmath.com
Write a program in java to accept names and temperature of 10 cities ...
brainly.in
Python program to compute and print “even” and “odd” numbers of first n ...
brainly.in
SBI BANK CODE SBCHQ-GEN-PUB-IND-INR MEANING.SBI DIFFERENT TYPES OF ...
digitalhelper.in
Pin to Pin Distance - How to Calculate Distance Between Two Pin Codes ...
cleartax.in
SBI BANK CODE SBCHQ-GEN-PUB-IND-INR MEANING.SBI DIFFERENT TYPES OF ...
digitalhelper.in
Please help with in-hand salary calculation Deloitte India Deloitte ...
glassdoor.co.in
I made a patch with python code in a frame box , so u can talk to ...
forum.vvvv.org
Wildcraft SLEEK MEDIUM Duffle Bag in bulk for corporate gifting ...
brandedcorporategift.com
IPL 2018: Wankhede Stadium Mumbai and Indian cricket history ...
architecturaldigest.in
Code in Place 2023 | Stanford University Free Course | Learn Free ...
study2night.in
Mandatory HSN/SAC Codes in GST Invoices from 01.04.2021
taxguru.in
Program to Count Total Number of Notes in Given Amount | Python Program ...
rakeshmgs.in
Kedarnath Yatra Package From Ahmedabad,Kedarnath Yatra Package From ...
chardhamtrip.in
Write a program in c to find the area and perimeter of a circle ...
brainly.in
Measuring Distance of Planets Astronomical Units Worksheet
twinkl.co.in
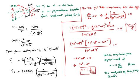
Two particles A and B ,each having a charge Q,are place a distance d ...
brainly.in
[Solved] The distance between two letters in the English alphabet is ...
studocu.com
SBI BANK CODE SBCHQ-GEN-PUB-IND-INR MEANING.SBI DIFFERENT TYPES OF ...
digitalhelper.in
Pin to Pin Distance - How to Calculate Distance Between Two Pin Codes ...
cleartax.in
Hyundai Creta Vs Maruti Suzuki Grand Vitara: Comparing Top-end Variants ...
cartoq.com
Millsaps College Courses & Fees 2025: Popular Programs, Eligibility
shiksha.com
write an algorithm and flowchart for calculating weight of motor bike ...
brainly.in
Python Full Stack Developer Course Syllabus (2025 Updated) | Vtricks
vtricks.in
Write a program to accept Basic salary of an employee. Calculate and ...
brainly.in
Printable Pd Ruler - Fill Online, Printable, Fillable, Blank | pdfFiller
pupillary-distance.pdffiller.com
59 Online teacher jobs in India - Work from home | Glassdoor
glassdoor.co.in
Design a flowchart to Input marks in three subjects. Calculate ...
brainly.in
Python slip program list - 1. Write a python script for conversion ...
studocu.com
University of Rajshahi Courses & Fees 2025: Popular Programs, Eligibility
shiksha.com
Python program to calculate simple interest using function - Brainly.in
brainly.in
JNU@glance
jnujaipur.ac.in
University of the South Pacific Courses & Fees 2025: Popular Programs ...
shiksha.com
Related Searches
Python Simple Calculator Code
Simple Code for Calculator in Python
Tip Calculator Python Code
Python Code Calculator Example
Basic Python Calculator Code
Calculator Using Python
Calculator Source Code
Python Calculator Project
Python Code for Calculator with Operations
How to Code Python
Advanced Python Code
How to Write Code in Python
Python Calculator Program
Python Calculator Code Copy and Paste
Python Starting Code
Python Code Block
Scientific Calculator Python
Make a Calculator in Python
Python Code Lines
Input Code Python
Python Calculation
Pseudocode Python
Creating a Calculator in Python
Complex Python Code
Python Formula
Python Calc Code
Python Script
BMI Calculator Python
How to Calculate in Python
Making a Calculator in Python
Python Exit Code
Calcu Python
Python Function Calculator Code
Calacutor Python Code
Python Code Error
Flowchart for Simple Calculator
Python Code for Calculator Simple Format
Code to Make a Calculator Shape in Python
C# Calculator
Pyton Calculator Code Simple
Python Calculator Code One Line
Print Function Python
Python Introduction
Python Grade Calculator
Tkinter Calculator
Star in Python Code
Simple GUI Python
Calculator Code in Python Class 11
Python 3 Calculator
Simple Python Code Examples
Search
×
Search
Loading...
No suggestions found