Find Your Style
Women
Men
Accessories
Search for clothing, brands, styles...
×
Women
Men
Accessories
Pyropia Algae Map
Search
Loading...
No suggestions found
AI travel app Mappls KOGO raises INR 90 million in latest round of ...
travel.economictimes.indiatimes.com
AI travel app Mappls KOGO raises INR 90 million in latest round of ...
travel.economictimes.indiatimes.com
Anand Kamalnayan Pandit — INR 8,660 Cr (Sri Lotus Developers & Realty ...
economictimes.indiatimes.com
Buy Casablanca Glass Map Wall Clock - 30cm from Home Centre at just INR ...
homecentre.in
Buy Casablanca Glass Map Wall Clock - 30cm from Home Centre at just INR ...
homecentre.in
AAP approaches Supreme Court seeking release of INR 3,000 cr Delhi Jal ...
lawbeat.in
Toncoin price today, TON to INR live price, marketcap and chart | Suncrypto
suncrypto.in
Buy Garnet Wooden Heart Map Wall Hanging from Home Centre at just INR 199.0
homecentre.in
Buy Garnet Wooden Heart Map Wall Hanging from Home Centre at just INR 199.0
homecentre.in
Buy Casablanca World Map Round Wall Clock from Home Centre at just INR ...
homecentre.in
Buy Nimbus World Map Black Metal Wall Art from Home Centre at just INR ...
homecentre.in
Buy Casablanca World Map Round Wall Clock from Home Centre at just INR ...
homecentre.in
Buy Casablanca World Map Round Wall Clock from Home Centre at just INR ...
homecentre.in
Buy Nimbus World Map Black Metal Wall Art from Home Centre at just INR ...
homecentre.in
Buy Casablanca Glass Map Wall Clock - 30cm from Home Centre at just INR ...
homecentre.in
Buy Casablanca World Map Round Wall Clock from Home Centre at just INR ...
homecentre.in
Buy Casablanca Glass Map Wall Clock - 30cm from Home Centre at just INR ...
homecentre.in
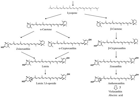
Carotenoid Profiling of a Red Seaweed Pyropia yezoensis: Insights into ...
mdpi.com
Carotenoid Profiling of a Red Seaweed Pyropia yezoensis: Insights into ...
mdpi.com
Carotenoid Profiling of a Red Seaweed Pyropia yezoensis: Insights into ...
mdpi.com
New technology maps detailed movement of microscopic algae, crucial for ...
aninews.in
Carotenoid Profiling of a Red Seaweed Pyropia yezoensis: Insights into ...
mdpi.com
Carotenoid Profiling of a Red Seaweed Pyropia yezoensis: Insights into ...
mdpi.com
Tracking Blue–Green Algae in Lough Neagh with Earth Observation - Mallon
mallontechnology.com
Algae and Its Classification - Biology Class 11 - NEET PDF Download
edurev.in
Toxins | Special Issue : Ecology and Toxicology of Cyanobacteria and ...
mdpi.com
Carotenoid Profiling of a Red Seaweed Pyropia yezoensis: Insights into ...
mdpi.com
Out of Control: India’s Bioinvasion Dilemma and the Way Out - Azim ...
azimpremjiuniversity.edu.in
New Economic Policy 1991, Objectives, Features, Impacts
vajiramandravi.com
Algae: How Climate Changes Cyanobacterial Harmful Algal Blooms ...
dhs.wisconsin.gov
Algae: How Climate Changes Cyanobacterial Harmful Algal Blooms ...
dhs.wisconsin.gov
Carotenoid Profiling of a Red Seaweed Pyropia yezoensis: Insights into ...
mdpi.com
Carotenoid Profiling of a Red Seaweed Pyropia yezoensis: Insights into ...
mdpi.com
Carotenoid Profiling of a Red Seaweed Pyropia yezoensis: Insights into ...
mdpi.com
Annual Temperature Map of India
crl.du.ac.in
Genshin Impact 4.4 Teases Chenyu Vale Map, New Boss & More
gurugamer.com
algae salient features classification in biology: Definition, Types and ...
aakash.ac.in
பொதுப்பண்புகள் - பாசிகள் - தாவரவியல் | General Characteristic features ...
brainkart.in
Buy RDS Maps, World-physical Map at 40.50 INR.
rapiddeliveryservices.in
Alternation of Generations in Algae, Classification & Chlorophyceae ...
aakash.ac.in
Algae: Characteristics, Reproduction & Evolution | AESL
aakash.ac.in
Cryptogams Type
ivh.bsi.gov.in
Alternation of Generations in Algae, Classification & Chlorophyceae ...
aakash.ac.in
Alternation of Generations in Algae, Classification & Chlorophyceae ...
aakash.ac.in
Buy Hubbard Scientific 3D Alaska AK2421 Map | A True Raised Relief Map ...
ubuy.co.in
Carotenoid Profiling of a Red Seaweed Pyropia yezoensis: Insights into ...
mdpi.com
algae salient features classification in biology: Definition, Types and ...
aakash.ac.in
Buy Casablanca Glass Map Printed Wall Clock - 30cm from Home Centre at ...
homecentre.in
Algae: Characteristics, Reproduction & Evolution | AESL
aakash.ac.in
Algae and Fungi in Biology: Definition, Types and Importance | AESL
aakash.ac.in
5 Drugs Requiring Pharmacogenomic Testing
learn.mapmygenome.in
Basfoliar® Algae seaweed fertilizer Improve plant growth - PL Agro ...
plagro.in
Archive
pclub.in
Buy Philippine Map Map Of Philippines Filipino Map Products Online ...
ubuy.co.in
Tourism Industry: Tamil Nadu govt to have Coimbatore, Madurai on metro ...
travel.economictimes.indiatimes.com
Buy Philippine Map Map Of Philippines Filipino Map Products Online ...
ubuy.co.in
Seismic zoning Map of India
crl.du.ac.in
Buy Philippine Map Map Of Philippines Filipino Map Products Online ...
ubuy.co.in
Buy RDS Maps, World-political Map at 40.50 INR. by...
rapiddeliveryservices.in
Buy Casablanca Glass Map Printed Wall Clock - 30cm from Home Centre at ...
homecentre.in
World Maps Art Prints | Optimalprint
optimalprint.in
Reflections Touch
rmall.in
Fish, Algae, Krill or Cod Liver Oil: Which Omega-3 Source Is Best for ...
ithrive.shop
Should You Invest in Silver in 2025? | FinEdge
finedge.in
Holdfast and frond is used by which class of algae? - EduRev NEET Question
edurev.in
Rates | The Blackbuck Lodge, Velavadar
theblackbucklodge.in
Buy Corsica Brezza Set of 2 Canvas World Map Picture Frames - 50x50cm ...
homecentre.in
Which are the top commodities exported from each state? (FY20)
finshots.in
Buy Scratch Off Travel Map Products Online at Best Prices | Ubuy India
ubuy.co.in
Draw a neat diagram of a unicellular alga and label the following parts ...
brainly.in
Buy Philippine Map Map Of Philippines Filipino Map Products Online ...
ubuy.co.in
International Trade Settlement in Indian Rupee (INR)
taxguru.in
Buy Corsica Brezza Set of 2 Canvas World Map Picture Frames - 50x50cm ...
homecentre.in
Buy Philippine Map Map Of Philippines Filipino Map Products Online ...
ubuy.co.in
Buy Philippine Map Map Of Philippines Filipino Map Products Online ...
ubuy.co.in
draw a well diagram of blue-green algae(nostoc) - Brainly.in
brainly.in
SONU ACADEMY: Algae | Structure of Algae | Mode of nutrition in Algae ...
sonuacademy.in
GPS Satellite Map: Street View – Apps on Google Play
play.google.com
Buy Philippine Map Map Of Philippines Filipino Map Products Online ...
ubuy.co.in
Buy Philippine Map Map Of Philippines Filipino Map Products Online ...
ubuy.co.in
Buy Philippine Map Map Of Philippines Filipino Map Products Online ...
ubuy.co.in
Buy Philippine Map Map Of Philippines Filipino Map Products Online ...
ubuy.co.in
Trademark Filing & Registration Cost / Fees In India @INR 4500 -SSRANA
ssrana.in
Buy Splendid Black Textured Metal Map Wall Art from Home Centre at just ...
homecentre.in
Buy Casablanca Glass Map Printed Wall Clock - 30cm from Home Centre at ...
homecentre.in
Erythroplusia pyropia | Moths
mothsofindia.org
Phaeophyceae and Rhodophyceae Characteristics & Importance | AESL
aakash.ac.in
Buy Philippine Map Map Of Philippines Filipino Map Products Online ...
ubuy.co.in
Fragmentation in spirogyra — lesson. Science CBSE, Class 10.
yaclass.in
Buy Casablanca Glass Map Printed Wall Clock - 30cm from Home Centre at ...
homecentre.in
What is algae protein? — Teletype
teletype.in
Buy Corsica Brezza Set of 2 Canvas World Map Picture Frames - 50x50cm ...
homecentre.in
Algae: Characteristics, Reproduction & Evolution | AESL
aakash.ac.in
Buy Corsica Brezza Set of 2 Canvas World Map Picture Frames - 50x50cm ...
homecentre.in
Buy Dk History Map By Map Products Online at Best Prices in India | Ubuy
ubuy.co.in
Buy Corsica Brezza Set of 2 Canvas World Map Picture Frames - 50x50cm ...
homecentre.in
Buy Corsica Brezza Set of 2 Canvas World Map Picture Frames - 50x50cm ...
homecentre.in
Geological map of India
crl.du.ac.in
Draw a flow chart showing classification of kingdom Plantae. - Brainly.in
brainly.in
Buy Corsica Nimbus Metal World Map Globe Wall Art from Corsica by Home ...
homecentre.in
Mind Map: Cell: The Unit of Life Notes | EduRev
edurev.in
MP Govt to Award ₹239 Crore to 94,000 Top Scoring Class 12 Students ...
jagranjosh.com
Buy Dk History Map By Map Products Online at Best Prices in India | Ubuy
ubuy.co.in
35 Houses for Sale in Brentwood | Properstar
properstar.in
The Suzuki GSX-R 1000 is Back From the Dead, and Possibly Better Than Ever
msn.com
Mindmap: Light Notes | EduRev
edurev.in
india-map-puzzle-kids-wooden-toys-for-kids-3-jigsaw-puzzles-for-adults ...
mystore.in
Google Maps Rolls Out New Feature That Allows You To Check Air Quality ...
in.mashable.com
Buy Corsica Nimbus Metal World Map Globe Wall Art from Corsica by Home ...
homecentre.in
Mindmap: Mechanical Properties of Solids Notes | EduRev
edurev.in
Cameras under 10000: Buy top digital cameras online in India (2024)
lifestyleasia.com
Mindmap: Tracing Changes Through A Thousand Years Notes | EduRev
edurev.in
Buy Diamond Necklace Online | Diamond Set Online Manubhai Jewellers
manubhai.in
Next tranche of Bharat Bond ETF opens tomorrow: 10 things on NFO | Mint
livemint.com
Chart Of The Day: 40 Years Of Gold » Capitalmind - Better Investing
premium.capitalmind.in
Buy Corsica Nimbus Metal World Map Globe Wall Art from Corsica by Home ...
homecentre.in
Warfarin R-Isomer | CAS No- 5543-58-8 | NA
chemicea.com
Hotel Sridhi
hotelsridhi.in
Uses and SideEffects of Warfarin: What You Need to Know
medicoverhospitals.in
Ports & Shipping Industry in India - Maritime Industry in India
investindia.gov.in
Related Searches
Algae Bloom Map
Pyropia Tenera
Florida Algae Bloom Map
Toxic Algae Bloom
Red Algae Map
Pyropia Yezoensis
Red Algae Genus Pyropia
Red Algae Porphyra Pyropia
Algae Bloom Graffic
Lake Erie Algae Bloom Map
Map of Algae Farms Us
California Algae Bloom Map
Algae Exospore
Algae On a GIS Map
Lake Anna Algae Bloom Map
3M Algae Map
Algue Pyropia Yezoensis
California Algae Flowering Map
Algae Alerts Map
USA Blue Green Algae Map
VDH Algae Bloom Map
Where Does Algae Grow Map
Callander Bay Algae Bloom
Meiosporangia Algae
Is Algae Irritant Contaminant Map
Pyropia Abbottae
Algal Bloom Map
Algae Bloom Spirulina
Blue Green Algae Map in Ontario
Olpidiopsis On Red Algae
Algae Blooms Louisianna Map
Osthoseria Algae
Pyropia Haetensis
Pyropia Acantophora
Red Algae Distribution Map India
Macroalga Pyropia Yezoensis
Pyropia Tanegashimensis
Algae Blooms World Map
Mississippi Map of Algae Blooms
Best Algae Growing Regions in the World Map
Red Algae Bloom in Caribbean Map
Algae Bioreactor Locations Map
Where in the World Red Algae Live Map
Mississippi Map of Algae Blooms Not Florida
Pyropia Conchocoelis Microscope
Red Algae Region On a Map
Algae Bloom Cancun Mexico Map
Komia Algae
Algae Growing in an Asian Country Map
Algae Map
Search
×
Search
Loading...
No suggestions found