Find Your Style
Women
Men
Accessories
Search for clothing, brands, styles...
×
Women
Men
Accessories
Pythagorean Theorem Art Project Gary
Search
Loading...
No suggestions found
Pythagoras Theorem Poster (teacher made) - Twinkl
twinkl.co.in
Pythagoras' Theorem Poster and Handout (teacher made)
twinkl.co.in
Printable Pythagorean Theorem Handout for Kids | Twinkl USA
twinkl.co.in
Pythagorean Theorem and Distance Formula — 4 Pixel Art BUNDLE by ...
teacherspayteachers.com
Math Art Prints Archimedean Spiral Eulers Formula Fibonacci Golden ...
desertcart.in
Pythagorean Theorem and Distance Formula — 4 Pixel Art BUNDLE by ...
teacherspayteachers.com
Eighth Grade Pythagorean Theorem Triangle Tangle Worksheet
twinkl.co.in
Pythagoras Theorem - Define, Formula and Solved Example
careerpower.in
Pythagoras Theorem, Math Poster, Kids Room Decor, Classroom Decor, Mat ...
kritinova.in
Notes: Pythagoras Theorem - Mathematics for Grade 10 PDF Download
edurev.in
Six mathematical equations that changed the world - Education Today News
indiatoday.in
Pythagorean Theorem Mazes by Miss Crafty Math Teacher | TPT
teacherspayteachers.com
Verify the Pythagoras Theorem i.e.Hypotenuse^2=Perpendicular^2+Base^2 ...
brainly.in
Solved: Seth is using the figure shown below to prove the Pythagorean ...
gauthmath.com
Eighth Grade Converse of the Pythagorean Theorem Check Activity
twinkl.co.in
Math Poster Set Of Math Posters Fibonacci Golden Spiral Pythagorass ...
desertcart.in
50+ Pythagorean Theorem worksheets for 5th Class on Quizizz | Free ...
quizizz.com
Pythagorean Theorem and Distance Formula — 4 Pixel Art BUNDLE by ...
teacherspayteachers.com
State pythagoras theorem. draw an abstract painting using only right ...
brainly.in
Pythagoras Theorem, Formula, Proof for Class 10
adda247.com
Buy Melody's Hobby Centre Pythagoras Theorem Maths Working Model ...
amazon.in
50+ Pythagorean Theorem worksheets for 5th Class on Quizizz | Free ...
quizizz.com
Eighth Grade Pythagorean Theorem Math Escape Room - Twinkl
twinkl.co.in
Fillable Online Pythagorean Theorem Project - Rankin County School ...
pdffiller.com
Extensions of the theorem of Pythagoras - ePrints@APU
publications.azimpremjiuniversity.edu.in
Pythagoras' Theorem Problem-Solving Worksheets | Maths
twinkl.co.in
Pythagorean Theorem Formula, Equation, Derivation, Examples
pw.live
Pythagoras Theorem, Formula, Proof for Class 10
adda247.com
Buy Math Set of Math s Fibonacci Golden Spiral Pythagoras's Theorem ...
desertcart.in
Buy Maths Set of 4 Math s Fibonacci Golden Spiral Pythagoras's Theorem ...
desertcart.in
Pythagorean Theorem and Distance Formula — 4 Pixel Art BUNDLE by ...
teacherspayteachers.com
50+ Pythagorean Theorem worksheets for 7th Class on Quizizz | Free ...
quizizz.com
an acknowledgement for my maths project.maths project on -Pythagoras ...
brainly.in
Prove pythagoras theorem? - EduRev Class 10 Question
edurev.in
Buy Math Wall Art Fibonacci Spiral Wall Decor Pythagoras's Theorem ...
desertcart.in
Write a Pythagorean triplet whose one member is.(i) 6(ii) 14(iii) 16 ...
brainly.in
View question - Pythagorean Theorem Practice Problems
web2.0calc.com
Eighth Grade Use Pythagorean Theorem To Find the Distance Between Two ...
twinkl.co.in
திசையிலிப் பெருக்கல் மற்றும் வெக்டர் பெருக்கல் (Scalar Product and ...
brainkart.in
Free Art Project at Magical Bridge Playground, Magical Bridge at Red ...
allevents.in
IXL - Pythagoras' theorem: find the length of the hypotenuse (Class ...
in.ixl.com
class9 ICSE Maths ML AGGARWAL Chapter Midpoint Theorem
iqclasses.in
What Role did Pythagoras Play in the History of Math?
superprof.co.in
a particle has a displacement of 12 m towards the east and then 6 m ...
brainly.in
பயிற்சி 4.2 : தேல்ஸ் தேற்றமும், கோண இருசமவெட்டித் தேற்றமும் - கேள்வி ...
brainkart.in
பயிற்சி 4.2 : தேல்ஸ் தேற்றமும், கோண இருசமவெட்டித் தேற்றமும் - கேள்வி ...
brainkart.in
Cauchy's residue theorem - Statement, Proof, Formula, Solved Example ...
eee.poriyaan.in
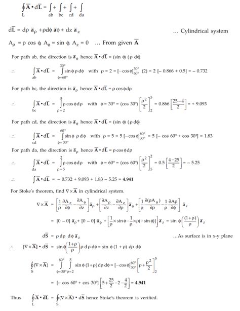
Stoke's Theorem - Definition, Formula, Proof, Example Problems
eee.poriyaan.in
What is the perimeter of triangle ABC? - Brainly.in
brainly.in
A person moves a distance of 3km towards east, then 2 km towards north ...
brainly.in
எடுத்துக்காட்டு கணக்குகள்: டி மாய்வரின் தேற்றம் (de Moivre's Theorem ...
brainkart.in
Cayley-Hamilton Theorem - Worked Example Problems
mech.poriyaan.in
(a) statement of fixed point theorem lein- fixed point iteration fixed ...
eee.poriyaan.in
Write a Pythagorean triplet whose smallest number is 8. - Brainly.in
brainly.in
Parseval 's Relation (or) Theorem (or) Identity - Examples
civil.poriyaan.in
டி மாய்வரின் தேற்றமும் அதன் பயன்பாடுகளும் (de Moivre's Theorem and its ...
brainkart.in
Norton's Theorem - Statement, Proof, Circuit Diagram, Formula, Solved ...
eee.poriyaan.in
Prove that AC2 =AD2+BC×ED+BC2/4 - Brainly.in
brainly.in
Improper Integrals - Theorem, Worked Examples, Exercise with Answers ...
mech.poriyaan.in
Poynting Vector and Poynting Theorem - Electromagnetic Waves
eee.poriyaan.in
Solved Example Problems: Thevenin's, Norton's Theorem
eee.poriyaan.in
திசையிலிப் பெருக்கல் மற்றும் வெக்டர் பெருக்கல் (Scalar Product and ...
brainkart.in
The Ideas of India
narendramodi.in
Stoke's Theorem - Definition, Formula, Proof, Example Problems
eee.poriyaan.in
Divergence Theorem - Definition, Formula, Example Problems
eee.poriyaan.in
Reciprocity Theorem - Statement, Circuit Diagram, Equation, Steps ...
eee.poriyaan.in
Lami's Theorem - with Solved Example Problems
mech.poriyaan.in
Stoke's Theorem - Definition, Formula, Proof, Example Problems
eee.poriyaan.in
Stoke's Theorem - Definition, Formula, Proof, Example Problems
eee.poriyaan.in
Pythagoras Theorem - Formula, Proof, Examples, Applications
mygurukulacademy.in
பயிற்சி 12.4: பேயீஸ்-ன் தேற்றம் (Bayes' Theorem) - புத்தக ...
brainkart.in
பேயீஸ்-ன் தேற்றம் (Bayes' Theorem) - வரையறை, தேற்றம், எடுத்துக்காட்டு ...
brainkart.in
Convolution Theorem - Definition
civil.poriyaan.in
Due to storm and rain a tree broke and fell on a road which prevented ...
brainly.in
டி மாய்வரின் தேற்றமும் அதன் பயன்பாடுகளும் (de Moivre's Theorem and its ...
brainkart.in
Smartworld Project in Gurgaon - Luxury Residences in India
luxuryresidencesindia.in
தேல்ஸ் தேற்றமும், கோண இருசமவெட்டித் தேற்றமும் - கூற்று, நிரூபணம் ...
brainkart.in
Convolution Theorem - Definition
civil.poriyaan.in
வட்ட நாற்கரங்கள் (Cyclic Quadrilaterals) - தேற்றம், எடுத்துக்காட்டு ...
brainkart.in
டி மாய்வரின் தேற்றம் (de Moivre's Theorem) - வரையறை, தேற்றம், நிரூபணம் ...
brainkart.in
வெக்டரைக் கூறுகளாகப் பிரித்தல் (Resolution of Vectors) - வரையறை ...
brainkart.in
Solved Example & Practice Problems: Lami's theorem
mech.poriyaan.in
பயிற்சி 7.3: அணிக்கோவைகளுக்குக் காரணித் தேற்றத்தின் பயன்பாடு ...
brainkart.in
பயிற்சி 4.2 : தேல்ஸ் தேற்றமும், கோண இருசமவெட்டித் தேற்றமும் - கேள்வி ...
brainkart.in
Convolution Theorem - Definition
civil.poriyaan.in
Thevenin's Theorem - Statement, Proof, Circuit Diagram, Formula, Solved ...
eee.poriyaan.in
பயிற்சி 4.2 : தேல்ஸ் தேற்றமும், கோண இருசமவெட்டித் தேற்றமும் - கேள்வி ...
brainkart.in
Cayley-Hamilton Theorem - Worked Example Problems
mech.poriyaan.in
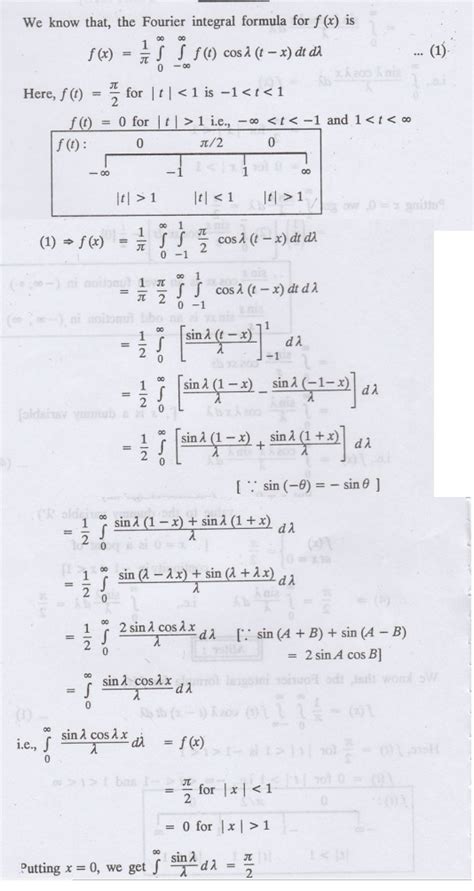
Statement Of Fourier Integral Theorem - Examples
civil.poriyaan.in
பயிற்சி 7.3: அணிக்கோவைகளுக்குக் காரணித் தேற்றத்தின் பயன்பாடு ...
brainkart.in
Statement Of Fourier Integral Theorem - Examples
civil.poriyaan.in
Angular velocity ratio Theorem - Kinematics of Mechanisms - Theory of ...
mech.poriyaan.in
பயிற்சி 2.8: டி மாய்வரின் தேற்றமும் அதன் பயன்பாடுகளும் (de Moivre's ...
brainkart.in
Convolution Theorem - Definition
civil.poriyaan.in
Limit of a Function - Definition, Theorem, Solved Example Problems ...
mech.poriyaan.in
Partial Derivatives - Definition, Theorem, Worked Examples, Exercise ...
mech.poriyaan.in
The Reciprocity Theorem - Statement, Proof, Circuit Diagram, Formula ...
eee.poriyaan.in
Convolution Theorem - Definition
civil.poriyaan.in
Lamis Theorem - Derivation, Statement & Examples - Physics - Aakash | AESL
aakash.ac.in
சராசரி மதிப்புத் தேற்றம் (Mean Value Theorem) - வகை நுண்கணிதம் ...
brainkart.in
பயிற்சி 2.8: டி மாய்வரின் தேற்றமும் அதன் பயன்பாடுகளும் (de Moivre's ...
brainkart.in
பயிற்சி 2.8: டி மாய்வரின் தேற்றமும் அதன் பயன்பாடுகளும் (de Moivre's ...
brainkart.in
நிலை வெக்டர்கள் (Position vectors) - வரையறை, தேற்றம், எடுத்துக்காட்டு ...
brainkart.in
New Project in Ahmedabad | Residential Flat-Apartment in Praharsh ...
onestopproperty.in
Improper Integrals - Theorem, Worked Examples, Exercise with Answers ...
mech.poriyaan.in
மீதித் தேற்றம் (Remainder Theorem) - விளக்கம், எடுத்துக்காட்டு, தீர்வு ...
brainkart.in
De Morgan Theorem Project - Micro Project on De Morgan's Theorem ...
studocu.com
தேல்ஸ் தேற்றமும், கோண இருசமவெட்டித் தேற்றமும் - கூற்று, நிரூபணம் ...
brainkart.in
Varignon's Theorem of Moments - with Solved Example Problems
mech.poriyaan.in
Statement Of Fourier Integral Theorem - Examples
civil.poriyaan.in
Bloch's Theorem for Particles in a Periodic Potential - Statement ...
mech.poriyaan.in
Limit of a Function - Definition, Theorem, Solved Example Problems ...
mech.poriyaan.in
M3M The Cullinan Noida | Luxury Homes & Commercial Space
realtyassistant.in
Thevenin's Theorem - Statement, Proof, Circuit Diagram, Formula, Solved ...
eee.poriyaan.in
Boolean Algebra - Basic operations, Theorem, Formula, Truth Table ...
mech.poriyaan.in
Parseval 's Relation (or) Theorem (or) Identity - Examples
civil.poriyaan.in
Varignon's Theorem of Moments - with Solved Example Problems
mech.poriyaan.in
Artist Proposal Template - Fill Online, Printable, Fillable, Blank ...
pdffiller.com
அணிக்கோவைகளுக்குக் காரணித் தேற்றத்தின் பயன்பாடு (Application of factor ...
brainkart.in
பயிற்சி 4.2 : தேல்ஸ் தேற்றமும், கோண இருசமவெட்டித் தேற்றமும் - கேள்வி ...
brainkart.in
Related Searches
Pythagorean Theorem Art
Pythagorean Theorem Art Project
Pythagorean Spiral Art Project
Pythagorean Theorem Project Ideas
Pythagorean Theorem Pixel Art
Pythagorean Theorem Project 5th Grade
Pythagorean Theorem Art Project Basketball
Pythagorean 3D Art Project
Pythagoras Theorem Project
Pythagorean Theorem Art for Art Students
Pythagorean Theorem Graphing Project Math
Pythagorean Theorem in Art Formalism
Pythagorean Theorem Art Shaded
Pythagorean Theorem Math Fair Project
Gary the Snail Pythagorean Theorem Spiral
Pythagorean Theorem Project Model
Pytageroem Thereom Art Project
Pythagorean Theorem Garden Bed Project
Pythagouras Art Project
Pythagorean Theorem Pileart Projects
Pytageroem Thereom Art Project Candy
Gary the Snail Pythagoren Theorem Spiral
What Is Pythagorean Theorem Pixel Art
Pythagorean Theorem Project into a Seashell
Pythagorean Theorem Art Examples
Islamic Geometric Art Pythagorean Theorem
Pythagorean Theorem Mystery Pattern
Pythagoras Theorem Working Model
Pythagoras Art Activity
Pythagorean Theorem Square Project
Pythagorean Theorem Art Year 2
Pythagorean Theorem Instagram Project Examples
Pythagorean Theorem Project 17 Triangle Ideas
Pythagorean Theorem Drawing Activity
Pythagorean Theorem Art Mural
Pythagorean Thoerem Art
Opposite Day Art Math Project
Pythagorean Theorem Project Work for Class 7
Unit 8 Project Rubric Pythagorean Theorem
Pythagorean Theorem in Art and Animation
Pythagorean Theorem Poster
Unit 8 Pythagorean Theorem Pixel Art Project Module 8
The Pythagorean Theorem Projects On Paper
Pythagorean Theorem Math Craft
Phathgrons Theorem Project
Pythagorean Theorem Design
Pythagoren Spiral Project Eye
Pythagorean Theorem Cut Out Activity
Pythagorean Theroem Project Artwork
Pythagorean Theorom Art
Search
×
Search
Loading...
No suggestions found