Find Your Style
Women
Men
Accessories
Search for clothing, brands, styles...
×
Women
Men
Accessories
Q47
Search
Loading...
No suggestions found
INR Full Form: What is full form of INR?
bankersadda.com
Understanding the Saudi Riyal Currency | INR to SAR
orientexchange.in
Anand Kamalnayan Pandit — INR 8,660 Cr (Sri Lotus Developers & Realty ...
economictimes.indiatimes.com
0.1 ETH to INR Converter, How much Convert Ethereum to Indian Rupee ...
exchanger24.org
Top 10 Countries Where INR Has the Highest Value in 2025
currentaffairs.adda247.com
Anand Kamalnayan Pandit — INR 8,660 Cr (Sri Lotus Developers & Realty ...
economictimes.indiatimes.com
Anand Kamalnayan Pandit — INR 8,660 Cr (Sri Lotus Developers & Realty ...
economictimes.indiatimes.com
Anand Kamalnayan Pandit — INR 8,660 Cr (Sri Lotus Developers & Realty ...
economictimes.indiatimes.com
Anand Kamalnayan Pandit — INR 8,660 Cr (Sri Lotus Developers & Realty ...
economictimes.indiatimes.com
Anand Kamalnayan Pandit — INR 8,660 Cr (Sri Lotus Developers & Realty ...
economictimes.indiatimes.com
Best whiskey under INR 1500 for a pocket-friendly drinking experience
lifestyleasia.com
Facts about Indian businessman who is buying Lavasa city for INR 1814 ...
timesofindia.indiatimes.com
Ugro Capital Crosses Inr 10000 crore aum milestone launches 10k ...
psuconnect.in
Anand Kamalnayan Pandit — INR 8,660 Cr (Sri Lotus Developers & Realty ...
economictimes.indiatimes.com
India Saves INR 35,000 Crore By Buying Discounted Oil from Russia » Car ...
carblogindia.com
Indian Rupee (₹) - Buy INR Currency Online at Best Rates
makemytrip.com
BTC to INR Converter, Convert Bitcoin to INR Exchange 2022 - Exchanger24
exchanger24.org
BTC to INR Converter, Convert Bitcoin to INR Exchange 2022 - Exchanger24
exchanger24.org
CA Fresher bags INR 49.20 Lakhs Package in 58th ICAI Campus Placement Event
taxscan.in
Nepal: 5 men arrested for carrying banned Indian rupee notes worth INR ...
aninews.in
INR extends winning streak
msn.com
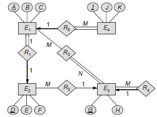
[Solved] Q47 - Find the correct match of definition/Meaning with usage ...
cracku.in
ValueQuest Enters PE Segment With INR 1,000 Cr Fund
businessoutreach.in
usd to inr sbi rate: Latest News & Videos, Photos about usd to inr sbi ...
economictimes.indiatimes.com
Databases: MADE EASY FREE TEST Q47
gateoverflow.in
Lava Yuva Pro is a new sub-8000 INR phone with triple cameras and a ...
digit.in
Can realization of export proceeds be in INR in India?
howtoexportimport.com
Tom Cruise's anti-ageing 'poop' facial costs INR 14,000 per sitting ...
timesofindia.indiatimes.com
Next tranche of Bharat Bond ETF opens tomorrow: 10 things on NFO | Mint
livemint.com
Anticoagulation in Acute Pulmonary Embolism: Which Drug? How Long ...
universimed.com
International Trade Settlement in Indian Rupee (INR)
taxguru.in
India shining: Rupee inches closer to becoming international currency ...
timesnownews.com
Uses and SideEffects of Warfarin: What You Need to Know
medicoverhospitals.in
1 million dong in indian rupees - Brainly.in
brainly.in
How Indian Rupee Stands Against Other Major Currencies
indiatimes.com
USD/INR Cracks Big: Falls 2% in 4 Days! | Investing.com India
in.investing.com
India and Malaysia can now trade in Indian rupee
currentaffairs.adda247.com
List Of Countries That Have Opened Special Rupee Vostro Accounts
indiatimes.com
Coagulation Analyzer - Micropoint Q3 Pro Electrometer PT-INR Trader ...
r2healthcare.in
Is your Rs 500 note real or fake? RBI suggests how to check - Real or ...
economictimes.indiatimes.com
Wen Price | WEN to USD Converter, Chart and News
binance.com
Failed Startups - Startups That Could Not Taste Success in their Journey
businessoutreach.in
Rupee likely to go to 81 82 to the US dollar, or even higher. Here’s ...
businesstoday.in
International Trade Settlement in Indian Rupee (INR)
taxguru.in
Five Times The RBI Has Withdrawn Or Demonetised Indian Currency Notes
indiatimes.com
How Indian Rupee Stands Against Other Major Currencies
indiatimes.com
Did You Know About India's Rs 10,000 Rupee Note
indiatimes.com
List Of Countries That Have Opened Special Rupee Vostro Accounts
indiatimes.com
Fed’s 75 bps Hike: Rupee Falls to Record Low, Sets Eye for ‘82 ...
in.investing.com
How Indian Rupee Stands Against Other Major Currencies
indiatimes.com
Rupee Depreciation: Will India's Exports Stand To Gain? | Investing.com ...
in.investing.com
RBI’s short USD/INR forward book remains stable- analysis By Investing.com
in.investing.com
Cameras under 10000: Buy top digital cameras online in India (2024)
lifestyleasia.com
USD/INR Breaking Imp. Trendline; Is Nifty 50 Topping Out? | Investing ...
in.investing.com
Sri Lanka and Russia in talks to use the rupee in foreign trade
currentaffairs.adda247.com
Gold Necklace Set for Women | Buy Gold Necklace Set Online India ...
manubhai.in
In charts: As the rupee sinks touches 80 against the dollar, what does ...
scroll.in
Gold Necklace Set for Women | Buy Gold Necklace Set Online India ...
manubhai.in
USD/INR at Record High! Why RBI is Failing to Curb the Rupee’s Fall ...
in.investing.com
Budget 2023: Tax saving under new tax regime vs old tax regime for Rs 7 ...
businesstoday.in
Buy Gold Pendant Set with Earrings Online India | Latest Gold Pendant ...
manubhai.in
Fake notes worth over Rs 14 lakh in Rs 500 denominations seized in Odisha
odishatv.in
Cryptocurrency Prices, Charts and Market Cap
suncrypto.in
Indian Financial System, 5e by H R Machiraju
vikaspublishing.com
Gold Necklace Set for Women | Buy Gold Necklace Set Online India ...
manubhai.in
Buy Diamond Necklace Online | Diamond Set Online Manubhai Jewellers
manubhai.in
Wedding Gold & Diamond Jewellery set with Price | Buy Bridal Gold ...
manubhai.in
International Trade Settlement in Indian Rupee (INR)
taxguru.in
Mumbai Indians: 5 players MI can release ahead of IPL 2026 auction ...
crickettimes.com
RBI Pushing Printing Presses To Work 24/7 To Print ₹500 Notes To ...
indiatimes.com
The Essential Vitamin K Foods Lists for Warfarin Users: With More Than ...
amazon.in
Gold Necklace Set for Women | Buy Gold Necklace Set Online India ...
manubhai.in
Online Forex Trading And Currency Trading In India
samco.in
Tatcha Indigo Overnight Repair: Benefits & Full Review - Epicfashion
epicfashion.in
Collections
svbventures.in
Diamond Necklace Designs | Buy Diamond Necklace Set Online at Best ...
manubhai.in
Buy Gold Set Online | Gold Set by Manubhai.
manubhai.in
Set of Bubble Grip Vacuum Flask With 2 Stainless Steel cups in Gift Box ...
brandedcorporategift.com
Buy Antique Set Online | Antique Set by Manubhai.
manubhai.in
Inflation or disinflation - Where are dollar & rupee moving? - The ...
economictimes.indiatimes.com
Buy Gold Earrings Online | Gold Earrings by Manubhai.
manubhai.in
USDINR – Is It A Price Action Pullback Or Shakeout ? | Investing.com India
in.investing.com
MGT-6 Form Filing Process and Key Requirements
taxguru.in
Light Weight Gold Jewellery with price | Daily Wear Gold Jewellery Online
manubhai.in
Buy Gold Bangles Online India with Latest Designs - Manubhai Jewellers
manubhai.in
MSN Money
msn.com
8 Obat Stroke yang Efektif dan Tersedia di Apotik - Alodokter
alodokter.com
Latest Car & Bike News & Reviews | BBC Topgear India Magazine
topgearmag.in
Diamond Necklace Designs | Buy Diamond Necklace Set Online at Best ...
manubhai.in
Buy Diamond Necklace Online | Diamond Set Online Manubhai Jewellers
manubhai.in
Stand out navy blue corset top – Kostume County
kostumecounty.com
Track Orders – Tailor Kadai
tailorkadai.in
Diamond Necklace Designs | Buy Diamond Necklace Set Online at Best ...
manubhai.in
Diamond Earrings Designs | Buy Diamond Earrings Online India - Manubhai ...
manubhai.in
Buy Gold Earrings Online | Gold Earrings by Manubhai.
manubhai.in
Buy Gold Ring Online | Gold Ring by Manubhai.
manubhai.in
Buy Absolute Anticoagulant Journal: A Comprehensive logbook for ...
desertcart.in
Smart things to know about the rupee exchange rate - Smart things to ...
economictimes.indiatimes.com
Get the Best Saudi Riyal to Indian Rupees Conversion Rates in India
orientexchange.in
Ayat Silver Nosepins
wizzowl.com
Manubhai Jewellers | Gold & Diamond Jewellers in Borivali, Mumbai
manubhai.in
Contact-us – Permanent Magnets Ltd
pmlindia.com
All about Bandarful coffee liqueur by Himmaleh spirits
lifestyleasia.com
Buy Antique Set Online | Antique Set by Manubhai.
manubhai.in
India Tourism
traveltrendstoday.in
**Page Title:** "Top 10 Saree Trends Every Woman Must Know in 2024 ...
sanjarcreation.com
The Changing Skyline of Oragadam
magicbricks.com
Thalapathy Vijay net worth: Movie fee, properties & other luxury assets
lifestyleasia.com
Back To Black: | Grazia India
grazia.co.in
Warfarin Sodium | CAS No- 129-06-6 | Simson Pharma Limited
simsonpharma.com
MI Squad WPL 2026: Complete Mumbai Indians Player List with Prices in ...
sportskeeda.com
Manubhai Jewellers | Gold & Diamond Jewellers in Borivali, Mumbai
manubhai.in
Buy Real Diamond Set Online | Real Diamond Set by Manubhai.
manubhai.in
Warfarin Impurity 1 | CAS No- 2514748-07-1 | Simson Pharma Limited
simsonpharma.com
Thyrocare Founder Partners With YEA and Magnifiq Capital Trust to ...
businessoutreach.in
Watch Khelna Bari TV Serial 27th October 2022 Full Episode 163 Online ...
zee5.com
Certifications
pasteljade.com
Welingkar Institute of Management - NewsWire
newswire.nokomis.in
ZEITGEIST ADA 2026
zeitgeistconference.in
Warfarin R-Isomer | CAS No- 5543-58-8 | NA
chemicea.com
Related Searches
Q47 Bus
Q48 Bus
Q47 Route
Q47 Bus Route Map
Q69
Q32 Bus
MTA Bus Company
Q84 Bus
MTA Bus Service
Octane Q47 Elliptical
Q74 Bus
Octane Fitness Q47
Q60 Bus Route Map
Q47 Bus Front
Q47 Nissan
Q39 Bus Route
MTA Bus Stop
Q43 Bus Route Map
MTA Bus New Flyer
Q45 Bus
Q72 Bus
MTA M60
Q67 Map
Q60 Bus Schedule
Q49 Bus
Old Q47 Line Map
Q7 Bus Map
GMAT Focus Quant Quesitons Q47
MTA Xd40
M60 Bus Stops NYC
LaGuardia NYC MTA
Q77 Bus Route
MTA Bus Orion V
MTA Bus Orion VII
Octane Elliptical Machines
MTA Hybrid Bus
MTA Queens Bus Routes
Octane Q47 Serial Number Location
MTA Bus Airport
Octane Q47e Elliptical
MTA Brooklyn Bus Map
Q97 Bus
Octane Fitness Elliptical Machine
Octane 37E Elliptical
MTA Regional Bus Operations Bus Fleet
Q33 Bus
M60 Bus
Octane Q47
Q60 Bus Map
MTA RTS
Search
×
Search
Loading...
No suggestions found