Find Your Style
Women
Men
Accessories
Search for clothing, brands, styles...
×
Women
Men
Accessories
Quantic Polynomial
Search
Loading...
No suggestions found
INR Full Form: What is full form of INR?
bankersadda.com
A Rail Fault Diagnosis Method Based on Quartic C2 Hermite Improved ...
mdpi.com
Solved: The figure shows the graph of a quartic polynomial function ...
gauthmath.com
find a quadratic polynomial whose zeros are negative of the zeros of ...
brainly.in
find the quartic polynomial the sum of whose zeros is 17 and the ...
brainly.in
[Video] Let f(x) be a quadratic polynomial in x such that f(x) \\geq 0 ...
cracku.in
View question - Monic Quartic Polynomial
web2.0calc.com
Cayley-Hamilton Theorem - Worked Example Problems
mech.poriyaan.in
if alpha, beta, are the zeros of quartic polynomial 9x square -1, the ...
brainly.in
Galois groups of Quartic Polynomials - Mathematics –II - AMU - Studocu
studocu.com
Cayley-Hamilton Theorem - Worked Example Problems
mech.poriyaan.in
Description: Description: Description: Description: Description: D ...
cse.iitk.ac.in
Newton's divided difference interpolations - Solved Example Problems
eee.poriyaan.in
Newton's divided difference interpolations - Solved Example Problems
eee.poriyaan.in
Objectives_template
archive.nptel.ac.in
New Functions from given functions - Definition, Solved Example ...
mech.poriyaan.in
[Video] Q50 - Let f(x) be a quadratic polynomial in x such that f(x ...
cracku.in
If one of the zeros of the quadratic polynomial(k - 1) x2 + k x + 1 is ...
edurev.in
Cayley-Hamilton Theorem - Worked Example Problems
mech.poriyaan.in
write all the equations of quartic and polynomial - Brainly.in
brainly.in
2.3.2 Newton-Gregory Backward Difference Interpolation polynomial:
archive.nptel.ac.in
Cayley-Hamilton Theorem - Worked Example Problems
mech.poriyaan.in
System Identification via Polynomial Transformation Method
home.iitk.ac.in
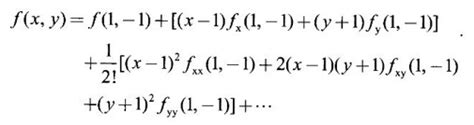
Taylor's Expansion for Function of Two Variables - Theorem, Worked ...
mech.poriyaan.in
Polynomial- Definition, Formula, Types, Function, Degree, Example
adda247.com
Taylor's Expansion for Function of Two Variables - Theorem, Worked ...
mech.poriyaan.in
write any polynomial in one variable - Brainly.in
brainly.in
Questions and Answers - Solved Example Problems | Functions of Several ...
mech.poriyaan.in
Cayley-Hamilton Theorem - Worked Example Problems
mech.poriyaan.in
Definition and Types of Polynomials Video Lecture - Class 9
edurev.in
Important Differential Equations Formulas for JEE and NEET
edurev.in
Newton's divided difference interpolations - Solved Example Problems
eee.poriyaan.in
Polynomial Formula - Solved Examples, Types, Equations
pw.live
Polynomials - NCERT Book of Class 10 Mathematics
betrained.in
Polynomials - NCERT Book of Class 10 Mathematics
betrained.in
Polynomials Class 10 Notes Maths Chapter 2 Free PDF
edurev.in
Important Formulas: Polynomials - Mathematics (Maths) Class 9 PDF Download
edurev.in
The graph of a polynomial f ( x ) of degree 3 is as shown in the figure ...
tardigrade.in
If alpha and beta are zeroes of the polynomial kx^2 4x 4 such that ...
edurev.in
[Video] Q50 - The equation x^{3} + (2r + 1)x^{2} + (4r - 1)x + 2 =0 has ...
cracku.in
Polynomials - NCERT Book of Class 10 Mathematics
betrained.in
(i) Using remainder and factor theorem, factorize completely, the given ...
iqclasses.in
NOTES | Cambridge IGCSE® Mathematics
igcsemaths.in
Integration by Parts - Worked Examples, Exercise with Answers ...
mech.poriyaan.in
Eigen Values and Eigen Vectors - Definition, Properties, Worked Examples
mech.poriyaan.in
Harmonic Oscillator (Qualitative) - Definition, Examples, Formula, Wave ...
mech.poriyaan.in
Objectives_template
archive.nptel.ac.in
what are polynomial?Define the types of polynomial - Brainly.in
brainly.in
Integration by Parts - Worked Examples, Exercise with Answers ...
mech.poriyaan.in
Questions and Answers - Solved Example Problems | Functions of Several ...
mech.poriyaan.in
2.3.1 Gregory-Newton Forward Difference Approach:
archive.nptel.ac.in
Harmonic Oscillator (Qualitative) - Definition, Examples, Formula, Wave ...
mech.poriyaan.in
Following figure shows the graph of y is equals to p x where X is a ...
brainly.in
Polynomials - NCERT Book of Class 10 Mathematics
betrained.in
Let y=f(x) be a polynomial of degree 4 with real coefficients and ...
tardigrade.in
System Identification via Polynomial Transformation Method
home.iitk.ac.in
cbse ncert 9th class Chapter 2 Polynomials
manabadi.co.in
If alpha and beta are the zeros of the polynomial 2x^2-5x+7, then find ...
edurev.in
if α and β are the zeros of the quadratic polynomial p(x)=x^2-k(x+1)-a ...
brainly.in
2.3.2 Newton-Gregory Backward Difference Interpolation polynomial:
archive.nptel.ac.in
Polynomials Class 10 Notes Maths Chapter 2 Free PDF
edurev.in
Cayley-Hamilton Theorem - Worked Example Problems
mech.poriyaan.in
Taylor's Expansion for Function of Two Variables - Theorem, Worked ...
mech.poriyaan.in
If alpha and beta are the zeroes of the polynomial f(x) = 1 x^2 + mx ...
brainly.in
Polynomials - NCERT Book of Class 10 Mathematics
betrained.in
Polynomials - NCERT Book of Class 10 Mathematics
betrained.in
Integration by Parts - Worked Examples, Exercise with Answers ...
mech.poriyaan.in
cbse ncert 9th class Chapter 2 Polynomials
manabadi.co.in
Integration by Parts - Worked Examples, Exercise with Answers ...
mech.poriyaan.in
Newton's divided difference interpolations - Solved Example Problems
eee.poriyaan.in
If alpha and beta are zeros of polynomial x square -7x 10 then form a ...
edurev.in
Polynomial Identities - The Complete SAT Course - Class 10 PDF Download
edurev.in
Let f(x) be a cubic polynomial on R which increases in the interval (-∞ ...
tardigrade.in
Buy Light over Darkness DeviceTriple Spiral, Windmill Hill Crop Circle ...
ubuy.co.in
The zeroes of a polynomial x2 + px + q are twice the zeroes of the ...
iqclasses.in
Probability: GATE CSE 2025 | Set 2 | Question: 54
gateoverflow.in
Cayley-Hamilton Theorem - Worked Example Problems
mech.poriyaan.in
Explanation: Polynomial Video Lecture - Class 9
edurev.in
The graph of a quadratic polynomial y=a x2+b x+c(a, b, c ∈ R) with ...
tardigrade.in
(Q2) The given linear polynomial y = f(x) has (a) 2 zeros (b) 1 zero ...
iqclasses.in
2.3.1 Gregory-Newton Forward Difference Approach:
archive.nptel.ac.in
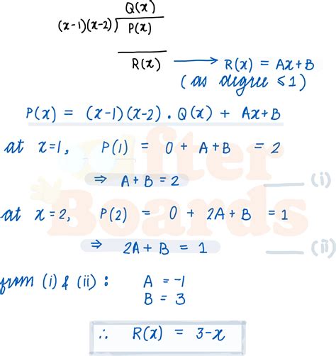
IPMAT Indore - A polynomial P(x) leaves a remainder 2 when divided by ...
afterboards.in
Cayley-Hamilton Theorem - Worked Example Problems
mech.poriyaan.in
classify the following as linear, quadratic And cubic polynomials ...
brainly.in
If a and b are the zeros of a quadratic polynomial x square plus x ...
brainly.in
Questions and Answers - Solved Example Problems | Functions of Several ...
mech.poriyaan.in
Newton's divided difference interpolations - Solved Example Problems
eee.poriyaan.in
Polynomials and Zeroes of a linear Polynomial - Mathematics (Maths ...
edurev.in
HVNDS // NEXT Show // Club Quantic, Quantic, Bucharest, 6 December 2024 ...
allevents.in
Important Definitions and Formulas: Polynomials - Mathematics (Maths ...
edurev.in
பல்லுறுப்புச் சார்புகள் - வரையறை, சூத்திரம், தீர்க்கப்பட்ட ...
brainkart.in
(Q2) The given linear polynomial y = f(x) has (a) 2 zeros (b) 1 zero ...
iqclasses.in
Newton's divided difference interpolations - Solved Example Problems
eee.poriyaan.in
Polynomials - NCERT Book of Class 10 Mathematics
betrained.in
If f(x)=1+2 x2+4 x4+6 x6+ ldots . .+100 x100 is a polynomial in a real ...
tardigrade.in
cbse ncert 9th class Chapter 2 Polynomials
manabadi.co.in
If Px2+Qx+R is a polynomial having zeroes at x = 1 and -2, find P+Q+R ...
brainly.in
Cayley-Hamilton Theorem - Worked Example Problems
mech.poriyaan.in
Polynomials - NCERT Book of Class 10 Mathematics
betrained.in
Find the zeroes of the following polynomial and verify the rwlationship ...
edurev.in
2.3.1 Gregory-Newton Forward Difference Approach:
archive.nptel.ac.in
Polynomials - NCERT Book of Class 10 Mathematics
betrained.in
30 (x^2 + 1/x^2)-77(x-1/x) -12 =0 - Brainly.in
brainly.in
Let P ( x ) be a polynomial function of degree ' n ' satisfying ( P ( x ...
tardigrade.in
Integration by Parts - Worked Examples, Exercise with Answers ...
mech.poriyaan.in
Harmonic Oscillator (Qualitative) - Definition, Examples, Formula, Wave ...
mech.poriyaan.in
cbse ncert 9th class Chapter 2 Polynomials
manabadi.co.in
Taylor's Expansion for Function of Two Variables - Theorem, Worked ...
mech.poriyaan.in
2.3.1 Gregory-Newton Forward Difference Approach:
archive.nptel.ac.in
if zeroes of polynomial f(x)=x3-3px2+qx-r are in ap then find the ...
brainly.in
Find the quadratic polynomial in each case, with the given numbers as ...
brainly.in
Integration by Parts - Worked Examples, Exercise with Answers ...
mech.poriyaan.in
Integration by Parts - Worked Examples, Exercise with Answers ...
mech.poriyaan.in
If alfa and beta are the zeroes of the polynomial x^2 +7x+7,find the ...
edurev.in
Polynomials in One Variable and Degree of a Polynomial Video Lecture ...
edurev.in
Integration by Parts - Worked Examples, Exercise with Answers ...
mech.poriyaan.in
NCERT Solutions for Class 9 Maths Chapter 2 - Polynomials (Exercise 2.1)
edurev.in
Class10 CBSE Maths Important Questions Chapter Polynomials
iqclasses.in
Q) Express (x+√x² + 1)6 + (x − √x² + 1)6 as a polynomial in x - Brainly.in
brainly.in
Modular Design System Technology - Quantic X-Microwave | Mouser
mouser.in
Related Searches
Quartic Polynomial Equation
Full Quartic Formula
Quartic Formula Equations
Quartic Trinomial
Quartic Function Graphs
Quartic Graph
Quartic Polynomial Example
Quartic Curve
Fourth-Degree Polynomial
4th Degree Polynomial Graph
Solve Polynomial Equation
Third-Degree Polynomial
Quadratic Polynomial Example
Cubic Polynomial
Biquadratic Polynomial
What Is a Quartic Polynomial
Polynomial Chart
Polynomial Equation Solver
Quartic vs Quadratic
Cubic Polynomial Roots Formula
6th Degree Polynomial
Polynomial Function Examples
Quartic Table
General Quartic
6 Degree Polynomial
Quartic Polynomial Shape
Quadratic Cubic Quartic Quintic
Degree 4 Polynomial Graph
Linear-Quadratic Cubic
First-Degree Polynomial
5th Degree Polynomial
Polynomial Remainder Theorem
Quartic Plane Curve
Monic Quartic Polynomial
Fifth-Degree Polynomial
Polynomial Function Types
Quartic Funcion
Quartic Model
Least Degree Polynomial
Nth Degree Polynomial
Negative Quartic Polynomial
Transformations of Polynomial Functions
Quartic Graph Derivative
Factoring Quartic Polynomials
Odd Degree Polynomial
Quadratic Form
Quadratic Equation Solution
Quartic Function Transformation
Degree One Polynomial
Sextic Polynomials
Search
×
Search
Loading...
No suggestions found