Find Your Style
Women
Men
Accessories
Search for clothing, brands, styles...
×
Women
Men
Accessories
Quantification Of Variables
Search
Loading...
No suggestions found
Statistical Tests ~ Different Types & Examples
bachelorprint.com
AP Statistics Notes - Categorical and Quantitative Variables | TpT
teacherspayteachers.com
How to develop and present a conceptual framework in a research paper?
projectguru.in
Buy Uncertainty Quantification using R: 335 (International Series in ...
amazon.in
Buy AN INTRODUCTION TO R FOR QUANTITATIVE ECONOMICS GRAPHING SIMULATION ...
amazon.in
Imports of India
thedatatalks.in
Representing a Quantitative Variable with Graphs Chapter Notes - AP ...
edurev.in
Chi-Square Test; Fisher's Exact Test; and Cross Tabulations in R (R ...
edurev.in
Variable and how to assign value to a variable in R| S-Logix
slogix.in
R for Quantitative Chemistry eBook : Gosser, David K.: Amazon.in ...
amazon.in
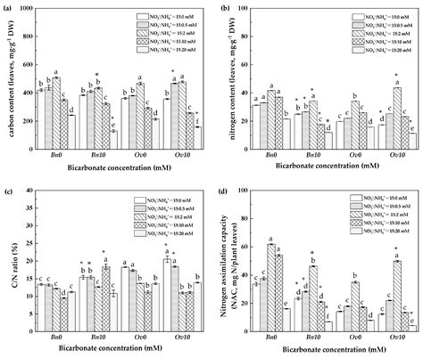
Quantification of Glucose Metabolism and Nitrogen Utilization in Two ...
mdpi.com
Introduction to R for Quantitative Finance eBook : Daróczi, Gergely ...
amazon.in
Fluorescent Molecular Rotors Based on Hinged Anthracene Carboxyimides
mdpi.com
What a p-Value Tells You about Statistical Data - India Dictionary
1investing.in
Quantification of Glucose Metabolism and Nitrogen Utilization in Two ...
mdpi.com
Buy Statistical Models for Ordinal Variables (Advanced Quantitative ...
amazon.in
Quantification of Glucose Metabolism and Nitrogen Utilization in Two ...
mdpi.com
How I Cured Rheumatoid Arthritis - Patients at Dr. Sharda Ayurveda Sha
drshardaayurveda.com
Quantification of Glucose Metabolism and Nitrogen Utilization in Two ...
mdpi.com
Quantification of Glucose Metabolism and Nitrogen Utilization in Two ...
mdpi.com
Quantification of Glucose Metabolism and Nitrogen Utilization in Two ...
mdpi.com
Law of Variable Proportion, Definition, Assumptions & Stages
adda247.com
Latent Variable and Latent Structure Models (Quantitative Methodology ...
amazon.in
Buy An Introduction to Latent Variable Growth Curve Modeling: Concepts ...
amazon.in
What Is Variable Pay in CTC? A Complete Guide for 2025
cheggindia.com
Hi guys, I got an offer from Accenture , with Annual Fixed 925,000 and ...
glassdoor.co.in
Quantitative Aptitude for Competitive Examinations_R S Aggarwal [Board ...
amazon.in
C Language Video
vedveethi.co.in
Hi folks I need your help to know about how much is fixed and how much ...
glassdoor.co.in
ACQUISITION OF PHONOLOGICAL STRUCTURE AND SOCIOLINGUISTIC VARIABLES: A ...
amazon.in
Make a concept map on chapter Pair of Linear Equations in Two variables ...
brainly.in
Yjracing Variable Camshaft Triton Timing Chain Kit India | Ubuy
ubuy.co.in
Buy Quantitative Aptitude (Marathi Edition) Book Online at Low Prices ...
amazon.in
Quantitative EPR eBook : Eaton, Gareth R., Eaton, Sandra S., Barr ...
amazon.in
Vogel's Quantitative Chemical Analysis 6th Edition 6th Edition (English ...
amazon.in
Quantitative Aptitude for Competitive Examinations+Arithmetic ...
amazon.in
A cell having an emf E and internal resistance r is connected across a ...
brainly.in
Buy Applying the Rasch Model in Social Sciences Using R (Quantitative ...
amazon.in
[O.XX R.18 CPC] Supreme Court discourages initiation of separate final ...
lawbeat.in
Variable DC Power Supply, 30V 10A Adjustable Switching DC Bench Linear ...
amazon.in
Buy Quantitative Methods for Business, 13th Edition Book Online at Low ...
amazon.in
Quantitative Aptitude for Competitive Examinations | By Dr, R S ...
shop.exam360.in
Buy Dr. R.S. Aggarwal Quantitative Aptitude (Revised Edition 2025) & A ...
amazon.in
Quantitative Aptitude For Competitive Examinations: Buy Quantitative ...
flipkart.com
The variable resistor R is connected in acircuit, as shown below. A ...
brainly.in
How to Interpret a Correlation Coefficient r - India Dictionary
1investing.in
Vogel's Quantitative Chemical Analysis 6th Edition 6th Edition: Buy ...
flipkart.com
(Old Edition) How To Prepare For Quantitative Aptitude For The Cat ...
amazon.in
Quantitative Aptitude - R S Aggarwal
pdf.aimssc.in
Quantitative Aptitude - R S Aggarwal
pdf.aimssc.in
Buy Computational Network Analysis with R: Applications in Biology ...
amazon.in
What Is Quantitative Trading? How Algorithms Drive Markets | Wright Blogs
wrightresearch.in
Buy Quantitative Aptitude for Competitive Examinations by R.S.Aggarwal ...
amazon.in
Quantitative Aptitude for Competitive Examinations - by agrawal: Buy ...
flipkart.com
Variable Valency: Definitions, Examples, Electrovalency, Causes, Facts ...
collegesearch.in
Quantitative Techniques (New Format) By C.R. Kothari
vikaspublishing.com
Research Methodology Overview: Qualitative & Quantitative Approaches ...
studocu.com
Buy Hyper Tough 20V Max Lithium-ion Cordless Reciprocating Saw ...
ubuy.co.in
Buy AVID POWER 12V Cordless Drill, Power Drill Set with 22pcs Impact ...
ubuy.co.in
Buy Cordless Car Buffers and Polishers Kit with 2pcs 12V Lithium ...
ubuy.co.in
Quantitative Aptitude : R S Aggarwal: Amazon.in: किताबें
amazon.in
Variables in Python – Girish Godage
girishgodage.in
Quantitative Techniques | L.r Potti | M.com Calicut University Syllabus ...
flipkart.com
StatFin2024
statfin.cmi.ac.in
AC 220V 50/60Hz Motor Speed Controller 300/400/500W Electric Motor ...
amazon.in
Buy The SAGE Quantitative Research Kit Book Online at Low Prices in ...
amazon.in
Quantitative Aptitude For Competitive Examinations RS Aggarwal New ...
amazon.in
PGDM Placement Report 2019
greatlakes.edu.in
R Crash Course for Biologists: An introduction to R for bioinformatics ...
amazon.in
Exports of India
thedatatalks.in
Quantitative Aptitude Quantum CAT: Buy Quantitative Aptitude Quantum ...
flipkart.com
Introduction to Quantitative Genetics: Buy Introduction to Quantitative ...
flipkart.com
Litost® AC Motor Speed Controller Durable Upto 90 Wt - 220 Volt AC ...
amazon.in
Conferences in Poland 2025 | Upcoming International Conferences in ...
conferencealerts.in
ACE QUANT A Complete Guide On Quantitative Aptitude For Banking ...
flipkart.com
Buy Introduction to Social Network Analysis with R (Wiley Series in ...
amazon.in
Quantitative Aptitude For Competitive Examinations: Buy Quantitative ...
flipkart.com
Buy Quantitative Aptitude Book Online at Low Prices in India ...
amazon.in
Buy VEVOR VFD 4KW 220V 5HP 7A Variable Frequency Drive Inverter AVR ...
ubuy.co.in
DRIVE CFW300A06P0S2NB20 | Variable Speed Drive CFW300 | Micro and Mini ...
weg.net
Buy Online Pharmaceutical Analysis products in India | Biomall
biomall.in
QUANTITATIVE APTITUDE --3082020 EVG - Bank Exams
sbank.in
Critical Analysis of Evolution of Iqta System under Delhi Sultanate - Q ...
studocu.com
Buy Quantitative Approximation Book Online at Low Prices in India ...
amazon.in
Quantitative Techniques in Project Management: Buy Quantitative ...
flipkart.com
Refactoring: Extract and Inline Variable - R.B Institute of Management ...
rbi.edu.in
Quantitative evaluation of accumulated and planned dose deviations in ...
tlcr.amegroups.org
Quantitative Methods for Business (with CD) 10th Edition: Buy ...
flipkart.com
Random variable - notes - Random variable (r) Definition A random ...
studocu.com
Quantitative Methods for Economic Analysis: Buy Quantitative Methods ...
flipkart.com
Amazon.in: Buy QUANTITATIVE APTITUDE [BENGALI EDITION] BY DR. R. S ...
amazon.in
Buy Computer Architecture: A Quantitative Approach Book Online at Low ...
amazon.in
(Old Edition) Quantitative Aptitude: Buy (Old Edition) Quantitative ...
flipkart.com
Online Video-Tutorials for Maths-III | Magic Marks
magicmarks.in
Variable Valency: Definitions, Examples, Electrovalency, Causes, Facts ...
collegesearch.in
Quantitative Analysis 6th Edition: Buy Quantitative Analysis 6th ...
flipkart.com
Engineering & Technology | Professional Short Term Courses - Rama ...
ramauniversity.ac.in
Testbook SmartBook 4000 MCQ Questions for Banking Quantitative Aptitude ...
flipkart.com
Performance Profile for Options | Trading Lesson
interactivebrokers.com
B&R Automation Studio Introduction And Guide
plcblog.in
Determination of the Primary Excitation Spectra in XPS and AES
mdpi.com
Cell Migration and Invasion Assay Guidance using Millicell® Cell ...
sigmaaldrich.com
Buy Quantitative Electroencephalographic Analysis (QEEG) Databases for ...
amazon.in
PGDM Placement Report | Great Lakes Chennai | Career Opportunities ...
greatlakes.edu.in
Quantitative Aptitude Book for Competitive Exams 2023 English Edition ...
flipkart.com
Random variable - notes - Random variable (r) Definition A random ...
studocu.com
Quanta Quantitative Aptitude By Aashish Arora (3662)(English Medium ...
flipkart.com
Quantitative Techniques | RTU MBA 2 SEM
tppl.org.in
The Correlation Coefficient: Definition - India Dictionary
1investing.in
Quantitative Aptitude and Reasoning: Buy Quantitative Aptitude and ...
flipkart.com
Pw Ca Foundation Flashbook Business Economics, Quantitative Aptitude ...
flipkart.com
Buy Jigsaw, Meterk Upgraded 800W 6.5 Amp 3000 SPM Jig Saw with Laser ...
ubuy.co.in
Declaring and initializing string variable - Strings A string is a ...
studocu.com
Buy ZOTA Buffer Polisher, 15mm Long-Throw Orbital Polisher, 6-inch Dual ...
ubuy.co.in
Quantitative Techniques For Business -II B.COM Semester 4 M.g ...
booksdeal.in
Amity University Gurugram - Labs
amity.edu
Quantitative Aptitude For Competitive Examinations: Buy Quantitative ...
flipkart.com
Business Economics and Quantitative Methods - 1 (Class 11) 1st Edition ...
flipkart.com
Amity University Gurugram - Labs
amity.edu
AlphaVerse Premier League | InstiApp | IIT Bombay
gymkhana.iitb.ac.in
Related Searches
Assign Variables R
Factor Variables INR
Subset R
Writing Variables INR
Data in R
R Variable Assignment
Declare Variable R
Variables INR Programming
Naming Variable R
How to Exclude Variables INR
Assigning Variables INR
Variables Assigning Rules INR
Deleting a Variable INR
Creating a Variable INR
How to Define Variables INR
List in R
Two Variable Graph
R Variable Names
Graph with Three Variables
Summary by Two Variables INR
Variables INR Programming Language
Rename INR
Types of Variables INR
Array INR
How to Print a Variable INR
How to Plot by 2 Variables INR
R Correlation Matrix
Natural and Coded Variables INR
Siemens GD or R Variables
How Can I Display 6 Numerical Variables INR
Binary Variable
How to Create New Variable INR
RVs G Finance Variables
Rename Function in R
Recoding Variables
How to Store Data in Variables INR
Graphing Visual Multiple Variables On Graph R
Categorical Variable
Palette for Continuos Variables INR Base
Different Types of R
RStudio
Make a Variable
Graphs of One Variable with Other 5 Variables INR Programme of Two Years
What Is Categorical Variables INR
How Many Observations and Variables Are in This Data in R
Graphing Mean in R with Two Variables
Histogram Two Variables
How to Call All Variables INR
How to Print a Variables Value in R Programming
Object Variable
Search
×
Search
Loading...
No suggestions found