Find Your Style
Women
Men
Accessories
Search for clothing, brands, styles...
×
Women
Men
Accessories
Radioactivity Element
Search
Loading...
No suggestions found
INR Full Form: What is full form of INR?
bankersadda.com
Juttis are a wedding season staple—here's where to shop them under INR ...
vogue.in
STAR BUILDERS Periodic Table of Elements - India | Ubuy
ubuy.co.in
Radiochemistry and its applications — lesson. Science State Board, Class 9.
yaclass.in
List of 5 Most Radioactive Elements Found on Earth
jagranjosh.com
science & Technology - Briefs
downtoearth.org.in
Scientists Make 1st Measurements Of Highly Radioactive Element ...
indiatimes.com
To determine the half life of a radioactive element, a student plots a ...
tardigrade.in
Beta rays — lesson. Science State Board, Class 10.
yaclass.in
Scientists Make 1st Measurements Of Highly Radioactive Element ...
indiatimes.com
Marie Curie Radioactivity & the Elements MA's Best | Ubuy India
ubuy.co.in
Radioactive Decay And Its Types
pw.live
Ionizing Radiation - Background | Occupational Safety and Health ...
osha.gov
The Radioactive Elements in the Atmosphere of HD25354—Are They the ...
mdpi.com
Marie Curie Radioactivity & the Elements MA's Best | Ubuy India
ubuy.co.in
Radioactive element decays to form a stable nuclide, then the rate of ...
allen.in
Radioactive element decays to form a stable nuclide, then the rate of ...
allen.in
Artificial Radioactivity — lesson. Science State Board, Class 10.
yaclass.in
Radon alert: Understanding the risks for your health, and how to ...
msn.com
Scientists Make 1st Measurements Of Highly Radioactive Element ...
indiatimes.com
Radioactive element decays to form a stable nuclide, then the rate of ...
allen.in
Obtain the law of radioactivity. Law of radioactive decay
allen.in
Radioactive element decays to form a stable nuclide, then the rate of ...
allen.in
Environmental Radioactivity, Ecotoxicology (238U, 232Th and 40K) and ...
mdpi.com
Radioactive element decays to form a stable nuclide, then the rate of ...
allen.in
State the law of radioactive decay - Radioactivity, Physics - eSaral
esaral.com
a. Radioactive decay follows first - order kinetics. The initial amount ...
iqclasses.in
The half life of a radioactive element is 0.231 year. Calculate the ...
brainly.in
The half-life period of a radioactive element is 140 days - CBSE Class ...
ask.learncbse.in
Radioactive element decays to form a stable nuclide, then the rate of ...
tardigrade.in
Radioactive element decays to form a stable nuclide, then the rate of ...
tardigrade.in
Marie Curie Radioactivity & the Elements MA's Best | Ubuy India
ubuy.co.in
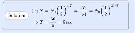
the radioactivity of a certain radioactivity element drops to 1÷64 of ...
brainly.in
the radioactivity of a certain radioactivity element drops to 1÷64 of ...
brainly.in
Marie Curie Radioactivity & the Elements MA's Best | Ubuy India
ubuy.co.in
Radioactive Pollution, Types, Source, Effect and Measures
studyiq.com
Marie Curie Radioactivity & the Elements MA's Best | Ubuy India
ubuy.co.in
Marie Curie Radioactivity & the Elements MA's Best | Ubuy India
ubuy.co.in
Marie Curie Radioactivity & the Elements MA's Best | Ubuy India
ubuy.co.in
Chernobyl: The Image and Sound of Radioactivity Itself
thewire.in
Radioactive element decays to form a stable nuclide, then the rate of ...
tardigrade.in
மண் - Atomic Energy Board,Atomic Energy Board of Sri Lanka
aeb.gov.lk
To determine the half-life of a radioactive element, a student plots ...
tardigrade.in
A given number of atoms, N0 of a radioactive element with a half life ...
ask.learncbse.in
Radioactive element decays to form a stable nuclide, then the rate of ...
tardigrade.in
Solved: Highlight (2) Elag for Review One way to determine the age of ...
gauthmath.com
Environmental Radioactivity, Ecotoxicology (238U, 232Th and 40K) and ...
mdpi.com
Buy Management of Disused Radioactive Lightning Conductors and Their ...
amazon.in
Promethium: All you should know about radioactive substance - Times of ...
timesofindia.indiatimes.com
Do you know where Radioactivity technique is used?
jagranjosh.com
The half-life period of a radioactive element 'X' is same as the mean ...
prepp.in
SATHEE: Chemistry Radioactive Elements
satheejee.iitk.ac.in
An unknown radioactive element decays into non-radioactive substances ...
brainly.in
A radioactive element gets spilled over the floor of a room. Its half ...
wiredfaculty.com
The graph between the instantaneous concentration (N) of a radioactive ...
tardigrade.in
Half-lives of two radioactive elements A and B are 20 minutes and 40 ...
brainly.in
Environmental Radioactivity, Ecotoxicology (238U, 232Th and 40K) and ...
mdpi.com
The graph between the instantaneous concentration (N) of a radioactive ...
tardigrade.in
SATHEE: Chemistry Radioactive Elements
satheejee.iitk.ac.in
Environmental Radioactivity, Ecotoxicology (238U, 232Th and 40K) and ...
mdpi.com
Radioactive element decays to form a stable nuclide, then the rate of ...
tardigrade.in
The graph between the instantaneous concentration (N) of a radioactive ...
tardigrade.in
Buy Periodic Table Of Elements Products Online | Ubuy India
ubuy.co.in
A 100g sample of a radioactive element has a half-life of 5 days, how ...
brainly.in
रेडियोधर्मिता (Radioactivity)
physics-study.com
Buy Periodic Table Of Elements Products Online | Ubuy India
ubuy.co.in
Sources of Radioactive Pollution - Environment Notes
prepp.in
A radioactive element X converts into another stable element Y. Half ...
tardigrade.in
A radioactive element A decays to B, which in turn decays to element C ...
brainly.in
Bhabha Atomic Research Centre ( BARC ): Radioactive Waste Management ...
barc.gov.in
Environmental Radioactivity, Ecotoxicology (238U, 232Th and 40K) and ...
mdpi.com
The graph between number of decayed atoms `N'` of a radioactive element ...
allen.in
45,000 gallons of radioactive water from Indian Point nuclear plant ...
wionews.com
Which one of the following graphs represents the graph between the ...
tardigrade.in
Which one of the following graphs represents the graph between the ...
tardigrade.in
Elements – EPIC CLO OFFICIAL
epiccloofficial.com
An unknown radioactive element decays into non-radioactive substances ...
brainly.in
03:If 250 mg o a radioactive element decays to 230 mg in 60 hours, what ...
brainly.in
The radioactive element in group is -----sodiumrubidiumFranciumCaesium ...
brainly.in
Radioactive element decays to form a stable nuclide, then the rate of ...
tardigrade.in
A sample of radioactive element has a mass of 10g at an instant t=0 ...
brainly.in
Nuclear Radiation Meter Geiger Counter, BTMETER Radioactive Detector ...
amazon.in
Which one of the following graphs represents the graph between the ...
tardigrade.in
The half life of a radioactive element is 40 minutes the amount that ...
brainly.in
Buy laminated PERIODIC TABLE elements Chemistry science educational ...
desertcart.in
Environmental Radioactivity, Ecotoxicology (238U, 232Th and 40K) and ...
mdpi.com
Why Marie Curie’s coffin lined with lead and still remains radioactive ...
msn.com
Buy Periodic Table Of Elements Products Online | Ubuy India
ubuy.co.in
Buy Elements Multicolour Printed Breathable Double Bedsheet Set - 3Pcs ...
homecentre.in
The graph between the instantaneous concentration (N) of a radioactive ...
tardigrade.in
The graph between the instantaneous concentration (N) of a radioactive ...
tardigrade.in
Comprehensive Periodic Table of Elements with Properties and ...
collegesearch.in
Buy BERGNER Elements Black Cast Iron Kadhai with Glass Lid - 1.5l from ...
homecentre.in
Which one of the following graphs represents the graph between the ...
tardigrade.in
A and b are the two radioactive elements. The mixture of these elements ...
brainly.in
Buy Element RCA Battery Pack Wireless Tattoo Power Supply Online at ...
ubuy.co.in
A radioactive element A decays to B, which in turn decays to element C ...
brainly.in
An unknown radioactive element decays into non-radioactive substances ...
brainly.in
The graph shows how the count-rate A of a radioactive source varies ...
allen.in
A and b are the two radioactive elements. The mixture of these elements ...
brainly.in
mcq isotopes of elements having atomic number greater than 82 are ...
brainly.in
Buy D'DECOR Bed Elements Solid King Size Duvet - 228 x 274 cm from D ...
homecentre.in
Buy BERGNER Elements Olive Green Cast Iron Fry Pan - 26cm from Bergner ...
homecentre.in
Which of the following halogen is radioactive in nature? (a) Chlorine ...
brainly.in
Alfred Hershey and Martha Chase made a big contribution in proving DNA ...
tardigrade.in
Buy Periodic Table Poster 2022 - Black Large Periodic Table of Elements ...
ubuy.co.in
PLZ HELP ASAP!!!! Which phrase describes one characteristic of ...
brainly.in
Caminha.org at UNantes
caminha.org
Which one of the following is not a radioactive element?; 1) Uranium; 2 ...
brainly.in
Reliability issues and IC failure in VLSI ~ Learn and Design ...
techsimplifiedtv.in
The radioactive decay rate of a radioactive element is 1600 atoms at t ...
brainly.in
Radioactive pollution in water: A global concern for human health
downtoearth.org.in
Buy Elements Checked 3-Pc. Double Bedsheet Set - 254 x 274 cm from Home ...
homecentre.in
Batteries Made From Radioactive Waste Could Power Future Space Missions
indiatimes.com
Buy Elements Striped 3-Pc. Double Bedsheet Set - 254 x 274 cm from Home ...
homecentre.in
Buy BERGNER Elements Olive Green Cast Iron Fry Pan - 26cm from Bergner ...
homecentre.in
Study finds new clues regarding origin Solar System (HT Tech)
tech.hindustantimes.com
The graph shows the log of activity log R of a radioactive material as ...
tardigrade.in
Who developed radioactive elements Ans : Marie Curie was a Polish born ...
brainly.in
Processes to export Inorganic Chemicals, Organic or Inorganic Compounds ...
howtoexportimport.com
Related Searches
Most Radioactive Element
Radioactive Elements On Periodic Table
All Radioactive Elements
Radioactive Isotope Decay
Radioactivity
Radioactive Decay Chart
Artificial Radioactivity
Natural Radioactivity
Radioactive Atom
Nuclear Radioactivity
Most Radioactive Thing
Radioactive Equations
Radioactive Radium
Radioactive Decay Sign
Radioactive Decay Equation
Technetium Element
Radioactive Decay Series
Radioactive Isotopes
Symbol for Radioactive Element
Radioactive Elements Examples
3 Radioactive Elements
Radioactive Particles
Common Radioactive Elements
Radioactive Nuclides Chart
Radioactive Decay Diagram
Elements Have Isotopes
Radioactive Icon
Naturally Occurring Radioactive Elements
4 Types of Radioactive Decay
Isotopes of Different Elements
Uranium Decay Series
Ionizing Radiation
Radioactive Hazard Sign
Periodic Table Radioactive Elements List
Radioactive Decay Chain
Radioactive Decay Experiment
Iron Element Characteristics
Radiation Element
Radioactivity Sign
Radioactive Minerals
Astatine Element
Elemente Radioactive
Radiactivity Images
Radium Element
Man-Made Elements
Radioacive Elements
Radioactive Splatter
Nuclear Reaction Chemistry
Radioactive Element Background
What Are the Radioactive Elements On the Periodic Table
Search
×
Search
Loading...
No suggestions found