Find Your Style
Women
Men
Accessories
Search for clothing, brands, styles...
×
Women
Men
Accessories
Rapeseed
Search
Loading...
No suggestions found
Rapeseed prices fall as global production hits record 95.3 mln tons ...
linkedin.com
Biodiesel from Rapeseed and Sunflower Oil: Effect of the ...
mdpi.com
Jaipur Rapeseed, Rapeseed oil, Rapeseed Meal By Reuters
in.investing.com
Rapeseed Oil For Cooking: Facts You Should Know About Rapeseed Oil ...
misskyra.com
Rapeseed meal supplier, Organic Rapeseed meal Supplier.
amantroagroproducts.co.in
Rapeseed Meal - Rapeseed Meal (Feed) Manufacturer from Jaipur
manishankaroils.in
Rapeseed meal supplier, Organic Rapeseed meal Supplier.
amantroagroproducts.co.in
INR Full Form: What is full form of INR?
bankersadda.com
First distillation column in Verbio rapeseed oil methyl ester-based ...
gleaf.in
Exporters & Suppliers Poultry Feed, Alfalfa Hay Pellets, Rapeseed Meal ...
hcexport.in
Why we use rapeseed oil in oat milk? – Dancing Cow
dancingcow.in
BUY Apecoin (APE) in INR on PocketBits!
pocketbits.in
Top 10 Countries Where INR Has the Highest Value in 2025
currentaffairs.adda247.com
Smooth vodka from best brands under INR 5000 to sip neat
lifestyleasia.com
Masala Oats+ | Tata Soulfull | INR 209/- only
soulfull.co.in
Mast Masala Oats | TATA Soulfull | INR 209/- only
soulfull.co.in
Refined Industrial Grade Rapeseed Oil in HDPE Drum (200 L) at ₹ 170 ...
indiamart.com
Philips Remote Inr Order Form - Fill Online, Printable, Fillable, Blank ...
pdffiller.com
INR Calculator Guide: PT/ISI Formula, Ranges & Tips
bilalmd.com
Rapeseed Market Report: Euronext & ICE Under Pressure, Outlook & Prices
commodity-board.com
Premium Rapeseed Oil Manufacturer & Suppliers in Canada| Bulk Rapeseed ...
gobaledibleoilexporters.com
0.1 ETH to INR Converter, How much Convert Ethereum to Indian Rupee ...
exchanger24.org
Refined Industrial Grade Rapeseed Oil in HDPE Drum (200 L) at ₹ 170 ...
indiamart.com
Welcome to ICAR-Directorate of Rapeseed-Mustard Research, Bharatpur ...
drmr.res.in
Welcome to ICAR-Directorate of Rapeseed-Mustard Research, Bharatpur ...
drmr.res.in
Rapeseed-Mustard Variety Selection Tool::RMselect
drmr.res.in
RMKP!-Rapeseed-Mustard Knowledge Management Portal, Assam
rmkpassam.in
Rapeseed-Mustard plant germplasm iformation system
rmdoctor.drmr.res.in
Rapeseed-Mustard Variety Selection Tool::RMselect
drmr.res.in
RMKP!-Rapeseed-Mustard Knowledge Management Portal, Assam
rmkpassam.in
Welcome to ICAR-Directorate of Rapeseed-Mustard Research, Bharatpur ...
drmr.res.in
Rapeseed-Mustard Variety Selection Tool::RMselect
drmr.res.in
Rapeseed-Mustard Variety Selection Tool::RMselect
rmselect.drmr.res.in
RMKP!-Rapeseed-Mustard Knowledge Management Portal, Assam
rmkpassam.in
Welcome to ICAR-Directorate of Rapeseed-Mustard Research, Bharatpur ...
drmr.res.in
Database of Biochemical Characteristics of Rapeseed-Mustard Species
drmr.res.in
RMKP!-Rapeseed-Mustard Knowledge Management Portal, Assam
rmkpassam.in
Evaluation of Indian Mustard Genotypes for White Rust Resistance Using ...
mdpi.com
The Effects of Temperature and Water on the Seed Germination and ...
mdpi.com
Field Crops | COMPO EXPERT
compo-expert.com
The Effects of Temperature and Water on the Seed Germination and ...
mdpi.com
Welcome to ICAR-Directorate of Rapeseed-Mustard Research, Bharatpur ...
drmr.res.in
'Habituated To Sex, May Have Incited Cops': How 1972 Mathura Rape Case ...
indiatimes.com
Welcome to ICAR-Directorate of Rapeseed-Mustard Research, Bharatpur ...
drmr.res.in
Warfarin and Antibiotics: Drug Interactions and Clinical Considerations
mdpi.com
Welcome to ICAR-Directorate of Rapeseed-Mustard Research, Bharatpur ...
drmr.res.in
slide4
drmr.res.in
Welcome to ICAR-Directorate of Rapeseed-Mustard Research, Bharatpur ...
drmr.res.in
Feeds And Foods - Soybean Meal Animal Feed Manufacturer from Mundra
usbchemicals.in
Welcome to ICAR-Directorate of Rapeseed-Mustard Research, Bharatpur ...
drmr.res.in
'She Herself Invited Trouble': Allahabad HC Blames Rape Victim While ...
freepressjournal.in
1 million dong in indian rupees - Brainly.in
brainly.in
Rapeseeds | Canola Seeds Suppliers | Exporters in Ahmedabad, Gujarat ...
krupaexporter.in
Database of Biochemical Characteristics of Rapeseed-Mustard Species
drmr.res.in
Toggle navigation
rmselect.drmr.res.in
आरोग्यदायी मोहरीचे तेल
marathi.krishijagran.com
Online Invoice Generator | Create a Bill - Wise
wise.com
India and Malaysia can now trade in Indian rupee
currentaffairs.adda247.com
Database of Biochemical Characteristics of Rapeseed-Mustard Species
drmr.res.in
Welcome to ICAR-Directorate of Rapeseed-Mustard Research, Bharatpur ...
drmr.res.in
Targeted Metabolic and In-Silico Analyses Highlight Distinct ...
mdpi.com
Anticoagulation in Acute Pulmonary Embolism: Which Drug? How Long ...
universimed.com
Cycle de croissance du colza dans les phases du sol du développement du ...
fr.freepik.com
USD/INR Cracks Big: Falls 2% in 4 Days! | Investing.com India
in.investing.com
Drosophila as a Model Organism to Study Basic Mechanisms of Longevity
mdpi.com
Welcome to ICAR-Directorate of Rapeseed-Mustard Research, Bharatpur ...
drmr.res.in
Kill Rape Culture, Not Rapists
livelaw.in
Database of Biochemical Characteristics of Rapeseed-Mustard Species
drmr.res.in
Welcome to ICAR-Directorate of Rapeseed-Mustard Research, Bharatpur ...
drmr.res.in
Rupee Depreciation: Will India's Exports Stand To Gain? | Investing.com ...
in.investing.com
Welcome to ICAR-Directorate of Rapeseed-Mustard Research, Bharatpur ...
drmr.res.in
International Trade Settlement in Indian Rupee (INR)
taxguru.in
Directorate of Rapeseed-Mustard Research
drmr.res.in
International Trade Settlement in Indian Rupee (INR)
taxguru.in
Buy INR's Farm Fresh Premium Pellets Food for Rabbits | 1 KG Advanced ...
amazon.in
Supreme Court Lists Matters Concerning Validity Of The Marital Rape ...
livelaw.in
Rapeseed-Mustard APY Information System
drmr.res.in
Welcome to ICAR-Directorate of Rapeseed-Mustard Research, Bharatpur ...
drmr.res.in
Factor XI/XIa Inhibition: The Arsenal in Development for a New ...
mdpi.com
Rapeseed-Mustard Variety Selection Tool::RMselect
drmr.res.in
The Essential Vitamin K Foods Lists for Warfarin Users: With More Than ...
amazon.in
Coagulation Analyzer - Micropoint Q3 Pro Electrometer PT-INR Wholesaler ...
r2healthcare.in
Marital Rape: Supreme Court to Hear Batch of Petitions on September 16 ...
newsclick.in
India shining: Rupee inches closer to becoming international currency ...
timesnownews.com
How Indian Rupee Stands Against Other Major Currencies
indiatimes.com
Welcome to ICAR-Directorate of Rapeseed-Mustard Research, Bharatpur ...
drmr.res.in
USD/INR at Record High! Why RBI is Failing to Curb the Rupee’s Fall ...
in.investing.com
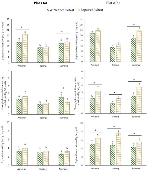
Impacts of the Winter Pea Crop (Instead of Rapeseed) on Soil Microbial ...
mdpi.com
Sri Lanka and Russia in talks to use the rupee in foreign trade
currentaffairs.adda247.com
Study on In Vitro Metabolism and In Vivo Pharmacokinetics of Beauvericin
mdpi.com
observe and describe the floral parts of brassica flower - Brainly.in
brainly.in
Welcome to ICAR-Directorate of Rapeseed-Mustard Research, Bharatpur ...
drmr.res.in
Welcome to ICAR-Directorate of Rapeseed-Mustard Research, Bharatpur ...
drmr.res.in
USD/INR Breaking Imp. Trendline; Is Nifty 50 Topping Out? | Investing ...
in.investing.com
Enabling Trade in Gene-Edited Produce in Asia and Australasia: The ...
mdpi.com
8 Obat Stroke yang Efektif dan Tersedia di Apotik - Alodokter
alodokter.com
Welcome to ICAR-Directorate of Rapeseed-Mustard Research, Bharatpur ...
drmr.res.in
Warfarin sodium in India - Chemicalbook.in
chemicalbook.in
Engineers India Secures Major Middle East Contracts Worth INR730 Crore
psuconnect.in
How Indian Rupee Stands Against Other Major Currencies
indiatimes.com
Welcome to ICAR-Directorate of Rapeseed-Mustard Research, Bharatpur ...
drmr.res.in
Did You Know About India's Rs 10,000 Rupee Note
indiatimes.com
Uses and SideEffects of Warfarin: What You Need to Know
medicoverhospitals.in
Warfarin R-Isomer | CAS No- 5543-58-8 | NA
chemicea.com
Rapeseed-Mustard Variety Selection Tool::RMselect
drmr.res.in
gang rape of a law student in kolkata: Latest News & Videos, Photos ...
economictimes.indiatimes.com
Best Budget Laptop in India under Rs. 30000
primebook.in
Back To Black: | Grazia India
grazia.co.in
Gold Necklace Set for Women | Buy Gold Necklace Set Online India ...
manubhai.in
Warfarin Impurity 1 | CAS No- 2514748-07-1 | Simson Pharma Limited
simsonpharma.com
Get the Best Saudi Riyal to Indian Rupees Conversion Rates in India
orientexchange.in
Next tranche of Bharat Bond ETF opens tomorrow: 10 things on NFO | Mint
livemint.com
Warfarin Sodium | CAS No- 129-06-6 | Simson Pharma Limited
simsonpharma.com
Failed Startups - Startups That Could Not Taste Success in their Journey
businessoutreach.in
Buy Absolute Anticoagulant Journal: A Comprehensive logbook for ...
desertcart.in
Manur - Decannulation challenge
manurhospital.in
Shrimp-Waste-Derived Biochar Induces Metal Toxicity Tolerance of ...
mdpi.com
Certifications
pasteljade.com
Kolkata law college rape case: Calcutta High Court directs govt to file ...
economictimes.indiatimes.com
Gold Necklace Set for Women | Buy Gold Necklace Set Online India ...
manubhai.in
Related Searches
Canola Seed
Rapeseed Grain
Rapeseed Seeds
Rapeseed Oil
Rapeseed Vs. Canola
Canola Oil Plant
Canola Oil Flower
Rapeseed Meal
Rapeseed Leaves
Brassica Rapa
Canola Flower Field
Canola Crop
Sunflower
Brassica Napus
Linseed
Soybean
Mustard Field
Colza
Rapeseed Vegetable
Safflower
Brassica Napus L
Rapeseed Blossom
What Is Canola Oil
Brassica Family Vegetables
Rapeseed PNG
Rapeseed Cake
Brassica Juncea
Wheat
Barley
Yellow Rapeseed Flowers
Rapeseed Product
Rap Seeds
Rapeseed Protein
Canola Bird Seed
Oats
Rapeseed Harvesting
Rapeseed Wax
Jatropha
B. Napus
Mustard Seed Tree
Canola Fields Canada
Canola Oil in Hindi
Canola Flower Fields China
Rapeseed Seedlings
Organic Rapeseed Oil
Biofuel Crops
Rapeseed Growing
Rapeseed Fertilizer
Oilseeds
Boros
Search
×
Search
Loading...
No suggestions found