Find Your Style
Women
Men
Accessories
Search for clothing, brands, styles...
×
Women
Men
Accessories
Re4 Rema
Search
Loading...
No suggestions found
INR Full Form: What is full form of INR?
bankersadda.com
Convert 40000 Indian Rupee in USD dollar today - INR to USD
fx.monisnap.com
Anand Kamalnayan Pandit — INR 8,660 Cr (Sri Lotus Developers & Realty ...
economictimes.indiatimes.com
0.1 ETH to INR Converter, How much Convert Ethereum to Indian Rupee ...
cryptocurrency-exchange.us.com
Anand Kamalnayan Pandit — INR 8,660 Cr (Sri Lotus Developers & Realty ...
economictimes.indiatimes.com
Indian Rupee (₹) - Buy INR Currency Online at Best Rates
makemytrip.com
Resident Evil 4
store.playstation.com
Resident Evil 4 Remake review: This is exactly how you improve a ...
digit.in
Resident Evil 4 - PS4 & PS5 games | PlayStation (India)
playstation.com
Top 10 Resident Evil 4 Boss Fights Ranked By Difficulty
gurugamer.com
Resident Evil 4 Remake Sales Top 4 Million Units
in.ign.com
Resident Evil 4
store.playstation.com
Resident Evil 4
store.playstation.com
Resident Evil 4
store.playstation.com
Resident Evil Requiem non riceverà una demo, Capcom vuole concentrarsi ...
it.ign.com
New Resident Evil 4 Remake Trailer Shows Updated Ashley Graham, Ada ...
in.ign.com
Mind map — lesson. Mathematics State Board, Class 9.
yaclass.in
Number Systems: Finding Remainders - General Aptitude for GATE ...
edurev.in
Divide the polynomial 3x^4-4x^3-3x -1 by x-1 and find its remainder and ...
brainly.in
Resident Evil 4
store.playstation.com
Resident Evil Requiem Secretly Stars Leon, Fans Believe, As Trailer ...
in.ign.com
RESIDENT EVIL 2
store.playstation.com
Find the least number which when divided by 12, 15, 18, 20 and 24 ...
edurev.in
How to Play the Resident Evil Games in Chronological Order
in.ign.com
Resident Evil Resident Evil Afterlife Resident Evil Resident Evil ...
desertcart.in
Resident Evil | Official PlayStation™Store India
store.playstation.com
. Find the remainder and quotient when the polynomial 4x4 -6x³ + 6x² ...
brainly.in
find the remainder when 4 x cube minus 3 X square + 2x - 1 is divided ...
brainly.in
Resident Evil | Official PlayStation™Store India
store.playstation.com
Resident Evil Village - PS4 & PS5 Games | PlayStation (India)
playstation.com
Slideshow: Resident Evil Requiem First Gameplay Screenshots — Capcom ...
in.ign.com
Could Capcom Really Kill Leon in Resident Evil Requiem? New Images ...
in.ign.com
Resident Evil 2 - PS4 Games | PlayStation (India)
playstation.com
Long division 2 digits by 1 digit (no remainder) worksheet no.1 ...
math-center.org
From Calm Down to Dumebi; 5 Must-listen Rema songs before the concert
freepressjournal.in
find the remainder when 4 x^3 - 3x^2 +4x -2 is divided by x-1 - Brainly.in
brainly.in
divide and write the quotient and remainder 1. ( m power 3 - 8 ) by (m ...
brainly.in
Car Collection of Rema is UNIQUE – VIDEO » Car Blog India
carblogindia.com
Four-Digit Division with Remainders Worksheet for 4th-5th Grade
twinkl.co.in
using remainder theorem find remainder if x4+x3-2x2+x+1 is divided by x ...
brainly.in
Remainder Theorem Video Lecture - UPSC
edurev.in
Rema Fabtex Art - Beautiful Home Decor Lippan Art Mud Mirror Wall Decor ...
amazon.in
Rema Fabtex Art - Beautiful Home Decor Lippan Art Mud Mirror Wall Decor ...
amazon.in
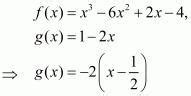
5. f(x) = x³-6x² + 2x-4, g(x) = 1-2xusing the remainder theorem find ...
brainly.in
6p³+5p²+4 by (2p+1)Can anyone please solve this step by step and add ...
brainly.in
Resident Evil 4: Here Is When the Game Makes Ashley Break the 4th Wall ...
in.ign.com
Resident Evil Village Map Sweden, 60% OFF | www.elevate.in
elevate.in
ReMA Convention 2026
ntradeshows.com
'Music was my best therapy when I lost close family members': Calm Down ...
freepressjournal.in
Divide the polynomial px by the polynomial gx and find the quotient and ...
brainly.in
Обзор на Злой Житель 4 - Переделанный — Teletype
teletype.in
Rema Calm Down Concert: Artist lineup and everything you need to know ...
freepressjournal.in
Long Division Practice Sheets - KS2 (teacher made) - Twinkl
twinkl.co.in
Find the largest number that will divide 398, 436 & 542 leaving ...
brainly.in
'Calm Down' singer Rema to perform in India. Check dates here | Today News
livemint.com
If a polynomial f(x) is divided by x^2-9 then remainder is 3x+2,What ...
brainly.in
Resident Evil 7 Gold Edition & Village Gold Edition PS4 & PS5
store.playstation.com
Rema Krishnaswamy - Azim Premji University
azimpremjiuniversity.edu.in
write quotient and remainder. - Brainly.in
brainly.in
The largest number that will divide 398,436 and 543 leaving remainder 7 ...
brainly.in
5. f(x) = x³-6x² + 2x-4, g(x) = 1-2xusing the remainder theorem find ...
brainly.in
When a number is divided by 102 leaves remainder 87. if the same no. is ...
brainly.in
Download wallpaper the game, Resident evil, game wallpapers, Resident ...
goodfon.com
What is Leon's age in Resident Evil Requiem? Story timeline, and more ...
msn.com
NASSCOM Emerge50 Awards 2021
nasscom.in
the largest number that divides 398,436 and 542 leaving remainders 7 ...
brainly.in
Find the remainder when 4 x cube minus 3 X square + 2 x minus 4 is ...
brainly.in
(x^3-4x^2-3x+6)(x-1) Using remainder theorem, find the remainder when ...
brainly.in
Using Remainder theorem, find the remainder when P(x) =x 3 -3x2 +4x+50 ...
brainly.in
Find the remainder when p(x) = x³- 2x² - 4x - 1 is divided by g(x) = x ...
brainly.in
find the smallest number which ,when divided by 28, 32 leave remainder ...
brainly.in
By remainder theorem find the remainder when x³-3x²+4x+50 is divided by ...
brainly.in
Currency Today: Euro Finds Footing, Dollar Whipsaws, Rupee Tanks | India
btcc.com
By using remainder theorem divide x⁴-5x²-4x by x+3 & find the remainder ...
brainly.in
Find the remainder when the polynomial p(y)=y^4-3y^2+2y+6 is divided by ...
brainly.in
.By remainder theorem, find the remainder when p(y) is divided by g(y ...
brainly.in
Milla Jovovich Resimleri
msxlabs.org
'Even if the government goes down, we will do it'; death threat against ...
keralakaumudi.com
Telangana IPS Officer Rema Rajeshwari Appointed as NCRB DIG – Hyderabad ...
hyderabadmail.com
Divide x^3 - 7x^2+15x- x by x-3 by long division method and find the ...
brainly.in
Q.4 Remainder when a² + b² + 2(ab + bc+ca) is divided by (a+b+2c) is ...
brainly.in
Resident Evil Requiem Gameplay Snippet Shows Fresh Area That Sure Looks ...
in.ign.com
what is the remainder if a^4 + a^3 + 2a^2 + a + 1 divided by a - 1 LONG ...
brainly.in
Taylor's theorem with cauchy's form of remainder proof - Brainly.in
brainly.in
Long division 3 digits by 2 digit (no remainder) - worksheet no.1 ...
math-center.org
find the quotient and remainder of (16p^4+20p^3-10p2-8p+2)/(2p^2+p-1 ...
brainly.in
Tickner not to bowl or field, unlikely to bat for remainder of ...
msn.com
Diamond Necklace Designs | Buy Diamond Necklace Set Online at Best ...
manubhai.in
Обзор на Злой Житель 4 - Переделанный — Teletype
teletype.in
Mumbai: 'Calm Down' fame Rema to perform LIVE soon: Dates, where to buy ...
freepressjournal.in
using remainder theorm find the remainder when p (x) is divided by g (x ...
brainly.in
Buy Gold Pendant Set with Earrings Online India | Latest Gold Pendant ...
manubhai.in
find the quotient and remainder of (16p^4+20p^3-10p2-8p+2)/(2p^2+p-1 ...
brainly.in
Rema Fabtex Art - Lippan Art Mud Mirror Wall Decor Handmade Wall Art ...
amazon.in
find the remainder when x cube + x square + X + 1 is divided by x minus ...
brainly.in
Find the remainder theorem - Brainly.in
brainly.in
When 121012 is divided hy 12, the remainder is? - Brainly.in
brainly.in
Find the quotient and remainder when 2x³ - 3x² + 4x - 8 is divided by ...
brainly.in
find the remainder when x^4+x^3-2x^2+x+1 divide by x+1 - Brainly.in
brainly.in
Buy Gold Set Online | Gold Set by Manubhai.
manubhai.in
Use the Remainder Theorem, find the remainder when x4 - 3x2 + 4x - 12 ...
brainly.in
Find the quotient and remainder when x^4-3x^2+2x+5 is divided by(x-1 ...
brainly.in
Find the remainder: When (2x^4 - 6x^3 + 2x^2 - x + 2) is divided by x+1 ...
brainly.in
Using Remainder Theorem find the remainder when (x² - 4x + 5) is ...
brainly.in
Convert 1710 and 1410 into equivalent binary values. - Brainly.in
brainly.in
Find the remainder when x3 - 20x + 3 is divided by (x - 4) using:a ...
brainly.in
5. f(x) = x³-6x² + 2x-4, g(x) = 1-2xusing the remainder theorem find ...
brainly.in
50+ Division without Remainders worksheets on Quizizz | Free & Printable
quizizz.com
Using binomial theorem --Prove that 6^n - 5n always leaves remainder 1 ...
edurev.in
by remainder theorem find the remainder when p (x) is equal to 4 x cube ...
brainly.in
Administration of Warfarin Inhibits the Development of Cerulein-Induced ...
mdpi.com
2. Find quotient and remainder and check your answer. (Quotient x ...
brainly.in
using remainder therom, find the remainder when:. (1) (x_6x2+9x+3) is ...
brainly.in
find remainder using remainder theorem where p(x)=x^3-6x^2-2x-4,g(x)=1 ...
brainly.in
Divide x^3+4x^2 -3x-10 by x+1 and verify your remainder by remainder ...
brainly.in
RS Aggarwal Sol:s: Real Numbers - 1 - Mathematics (Maths) Class 10 PDF ...
edurev.in
Find the smallest multiple of 13 such that on being divided by 4,6,7,10 ...
brainly.in
8. Use remainder theorem to find the remainder when the polynomial x³ ...
brainly.in
Divide the polynomial x³ + 1 by x + 1 using long division and find ...
brainly.in
Find the remainder when P(x) = x²-6x2x-4 when divided by 1-2x - Brainly.in
brainly.in
Related Searches
RE4 Rema Ke
Re 2 Remake
Luis Re Remake
RE4
Re 4 Varduo
Luis Serra RE4
Luis RE4
Moushly RE4
RE4 Remake Logo
RE4 Chicken
RE4 Char
Re4r Wallpaper 4K
Re2 Remake
RE4 JJ
Pesanta RE4
RE4 Cop
Luis in RE4
Re4r Ada Model
Rema Braids
RE4 Salesman Light
Krauser RE4
RE5 Remake
RE4 Hut
Leon Parrying RE4
Rema Hairstyle
RE4 Remake Mobile
Re4 Remake
Re2 Remake Wallpaper
PLD RE4
RE4 Remakenakwd
RE4 Battlehsip
Zheng RE4
Mousley RE4
Guadana RE4
Dr. Salvador RE4 Remake
RE4 Mega Man
RE4 Billian
RE4 Intro Rem
RE4 Idol
Moushey RE4
RE4 Part 4
Re 4 Remake Mods
Re Zombie HD
Mousehley RE4
RE4 Mobile Edition
Regenerator RE4 Behind
RE4 Mouschley
RE4 Hasta La Vista
Zealot RE4
RE4 Regenerator Female
Search
×
Search
Loading...
No suggestions found