Find Your Style
Women
Men
Accessories
Search for clothing, brands, styles...
×
Women
Men
Accessories
Reaksi Toluena Kmno 4
Search
Loading...
No suggestions found
STöK (ST-MC05) Fully Automatic Note Counting Machine, can Count INR or ...
amazon.in
Arjun Tendulkar moves from MI to LSG in IPL 2026 for base price of INR ...
msn.com
I have created an Export invoice in other currency, but it showing INR ...
community.getswipe.in
IPMAT Indore - Aruna purchases a certain number of apples for INR 20 ...
afterboards.in
KMnO4 and K2Cr2O7 - Preparation, Physical and Chemical Properties
careerpower.in
In the following sequence of reactions: Toluene `overset(KMnO_4)rarr A ...
allen.in
KMnO4 and K2Cr2O7 - Preparation, Physical and Chemical Properties
careerpower.in
KMnO4 Preparation - Discovery, Structure, Preparation, Uses, Practice ...
aakash.ac.in
KMnO4 and K2Cr2O7 - Preparation, Physical and Chemical Properties
careerpower.in
Consider the following reaction textPhenol overset textZn dust arrow ...
tardigrade.in
Permanganate Titration – Definition, Preparation, Properties, Uses ...
aakash.ac.in
ELEMENTAL CHEMISTRY: LOCAL ANESTHETICS BENZOCAINE BUTAMBEN
elementalchemistry.in
Volumetric analysis 2024 - VOLUMETRIC ANALYSIS ESTIMATION OF KMnO 4 ...
studocu.com
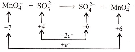
`KMnO_(4)` (purple) is reduced to `K_(2)MnO_(4)` (green) by `SO_(3)^(2 ...
allen.in
KMnO4 and K2Cr2O7 - Preparation, Physical and Chemical Properties
careerpower.in
Assertion: `KMnO_(4)` has different equivalent wieghts in acid, neutral ...
allen.in
In the neutral or faintly alkaline medium, KMnO 4 oxidises iodide into ...
tardigrade.in
Cumene on treatment with `KMnO_(4)` gives
allen.in
Tert-Butylbenzene does not benzoic acid on oxidation with acidic `KMnO ...
allen.in
`overset(cold)underset("alkaline"Kmno_4)to A overset(CrO_3)underset ...
allen.in
SCY 121 INORGANIC CHEMISTRY -I LAB - ** Estimation of Fe(II) and oxalic ...
studocu.com
Can u give the mechanism for this.. \n\n\ne is heated with hot kmno ...
scoop.eduncle.com
Upon heating with acidic KMnO4, an organic compound produces hexan - 1 ...
tardigrade.in
Equivalent weight of `KMnO_(4)` acting as an oxidant in acidic medium is
allen.in
The compound formed as a result of oxidation of propyl benzene by `KMnO ...
allen.in
Write the chemical equations for the preparation of KMnO4 from MnO2 ...
ask.learncbse.in
PARAGRAPH 2 Treatment of compound O with KMnO 4 / H +gave P, which on ...
tardigrade.in
Jual Laboratorium Pendidikan Toluena Merck 083252500 Pelarut Pro ...
tokopedia.com
A hydrocarbon `C_6 H_12` decolourises bromine solution and yields `n ...
allen.in
Cumene on treatment with `KMnO_(4)` gives
allen.in
Cyclopentene on treatment with alkaline KMnO 4 gives
tardigrade.in
In alkaline medium, KMnO 4 reacts as follows 2 KMnO 4+2 KOH ...
tardigrade.in
The ratio of number of moles of KMnO 4 and K 2 Cr 2 O 7 required to ...
tardigrade.in
The ratio of number of moles of KMnO 4 and K 2 Cr 2 O 7 required to ...
tardigrade.in
How many of the following compounds will form acetic acid on reaction ...
tardigrade.in
Two isomers ' A ' and ' B ' with molecular formula C 4 H 8 give ...
tardigrade.in
what happens when SO2 gas is passed through acidified KMnO 4 solution ...
brainly.in
The compound formed as a result of oxidation of ethyl benzene by KMnO4 is
tardigrade.in
JEE Main Hydrocarbons Practice Questions With Solutions
collegedekho.com
CH 3 CH 2 Br xrightarrow[Δ] text aq.KOH A xrightarrow[Δ] KMnO 4 / H +B ...
tardigrade.in
What will happen when 5% solution of alkaline kmno4 is added to ethanol ...
brainly.in
3-Amino Toluene | CAS No- 108-44-1 | Simson Pharma Limited
simsonpharma.com
n-Butane xrightarrow[HCl ] AlCl 3 [ X ] xrightarrow KMnO 4[ Y ],[ Y ] is
tardigrade.in
1-Butyne reacts with cold alkaline KMnO to yielda)CHCHCHCOOHb)CHCHCOOHc ...
edurev.in
What is toluene used for? Preparation and Properties|Chemistry Page
chemistrypage.in
Identify the total number of compounds from the following which will ...
tardigrade.in
12. In alkaline solution KMnO, reacts as follows2KMnO4 + 2KOH → 2K,MnO4 ...
brainly.in
Influence of KMnO4 Concentrationon Infrared Emissivity of Coatings ...
mdpi.com
Which of the following compounds on boiling with alkaline `KMnO_4` and ...
allen.in
How many of the following compounds will form acetic acid on reaction ...
tardigrade.in
Which of the following reacts with KMnO 4 but does not react with ...
tardigrade.in
Book Prothrombin Time & International Normalized Ratio (PT-INR ...
pharmeasy.in
Theory and Procedure, Determination of concentration of KMnO₄ solution ...
edurev.in
Potassium Permanganate: Structure, Preparation, Uses & Properties ...
aakash.ac.in
A compound X `(C_5H_8)` reacts with ammoniacal `AgNO_3` to give a white ...
allen.in
10. Discoloration of KMnO4 appears in tube no: H₂O₂ A. Na₂SO, B. KMnO ...
brainly.in
Maillard Reaction Temperature, Mechanism, Examples
adda247.com
JEE Main Hydrocarbons Practice Questions With Solutions
collegedekho.com
X on oxidation with alkaline KMnO 4 gives benzoic acid. The X may be
tardigrade.in
JEE Main Question Paper with Solution 2022 July 25th Shift 1 - Morning
tardigrade.in
This conversion can be achieved by
allen.in
Standardisation-of-0 - AIM: To prepare and standardize 0 N KMnO 4 ...
studocu.com
What is aniline used for? Preparation, Properties, and Tests|Chemistry Page
chemistrypage.in
SCY 121 INORGANIC CHEMISTRY -I LAB - ** Estimation of Fe(II) and oxalic ...
studocu.com
Consider the following reactions: Which of the following group(s) of ...
allen.in
o-, m- and p-xylenes, on oxidation with acidic KMnO4 gives:
tardigrade.in
(d) preparation of potassium permanganate, kmno; from pyrolusite ore ...
brainly.in
Estimation of Mohr Salt - C8SERVDÍION OND BULMIONS 4itration No Oxalic ...
studocu.com
The correct set of reagents (X, Y, Z) required to convert benzene to m ...
tardigrade.in
1-Butyne reacts with `KMnO_4//OH//Delta` to give
allen.in
A trisubstituted compound ' A ', C 10 H 12 O 2 gives neutral FeCl 3 ...
tardigrade.in
IOC Paper - Practice Paper SECTION – A KMnO 4 is coloured due to: [1 ...
studocu.com
31 CH3 CI + NaNH, liq NH CH3 NH₂ + for NEET(PMT). 2023 (07/01/20331 CH3 ...
brainly.in
ஆல்கீன்களின் வேதிப்பண்புகள் | Chemical properties of alkenes | in Tamil
brainkart.in
I - கரிம பண்பறி பகுப்பாய்வு - வேதியியல் செய்முறை ஆய்வக பரிசோதனை ...
brainkart.in
Warf 3 MG Tablet (30): Uses, Side Effects, Price & Dosage | PharmEasy
pharmeasy.in
Midnight Leggings – Flirtatious
flirtatious.in
40 mL of x M KMnO 4 solution is required to react completely with 200 ...
tardigrade.in
Convert benzene to benzoic acid - CBSE Class 12 - Learn CBSE Forum
ask.learncbse.in
Top Vent Series,Designer Ceiling Fan,Duct Inline Series Products in ...
wadbros.in
Calcium estimation - Quantitative Determination of Serum Calcium by ...
studocu.com
கணக்குகளுக்கான தீர்வுகள் | Solved Example Problems: Basic Concepts of ...
brainkart.in
The compound (B) is:
allen.in
WARFARIN: Uses, Side Effects and Medicines | Apollo Pharmacy
apollopharmacy.in
This conversion can be achieved by
allen.in
A carboxylic acid (C) C+B `overset(H^(+))to` A sweat smelling compound ...
allen.in
Max Elegant Floral Wallpaper – Myindianthings
myindianthings.com
About Us in Mumbai
wadbros.in
Toluene And Chemical Solvent - Toluene Trader - Wholesaler ...
theakshargroup.in
Ethanoic acid — lesson. Science CBSE, Class 10.
yaclass.in
INR'S Farm Fresh Premium Timothy Hay for Guineapigs – My Aquarium Store
aquaticexperts.in
Hi, My annual package is 12 LPA, but my total earnings show as 96,700 ...
glassdoor.co.in
Basic Wood Carpet Wallpaper – Myindianthings
myindianthings.com
Sun rays Kaftan – Flirtatious
flirtatious.in
Calculate the oxidation number for the transition metal in the ...
brainly.in
Standardisation-of-0 - AIM: To prepare and standardize 0 N KMnO 4 ...
studocu.com
Omani rials to Indian rupees Exchange Rate. Convert OMR/INR - Wise
wise.com
Denver Line Wallpaper – Myindianthings
myindianthings.com
Drugs with zero order kinetics elimination - Mnemonic
openmed.co.in
Question : Rini has mixed two colours 'C1' and 'C2' in the ratio 2 : 3 ...
careers360.com
Dune Non Woven Geometric Wallpaper – Myindianthings
myindianthings.com
Oxidation without clevage of sigma bond takes place in alkenes ...
allen.in
Baeyer’s Reagent–Definition, Preparation, Chemical Properties ...
aakash.ac.in
Aamna Sharif in our Shine bright cover up – Flirtatious
flirtatious.in
Buy Whitewall Tires Online on Ubuy India at Best Prices
ubuy.co.in
தன்மதிப்பீடு - கார்பனைல் சேர்மங்கள் மற்றும் கார்பாக்சிலிக் அமிலங்கள் ...
brainkart.in
Half and Half Maxi – Flirtatious
flirtatious.in
Warfarin Impurity 4 | CAS No- NA | NA
chemicea.com
Ceramics - Studio Abaca
studioabaca.in
JEE Main Question Paper with Solution 2022 July 25th Shift 1 - Morning
tardigrade.in
What Are Best Options to Convert Crypto to INR? Ready to Pay Taxes - Onmeta
onmeta.in
IsoprophI bromide was treated separately with sodium ethoxide under two ...
allen.in
XMR to INR: Convert Monero (XMR) to Indian Rupee (INR) | Coinbase India ...
coinbase.com
Warf 1 MG Tablet (30): Uses, Side Effects, Price & Dosage | PharmEasy
pharmeasy.in
Las Vegas Wall Scratched Pattern Wallpaper – Myindianthings
myindianthings.com
Buy Vostok Products Online at Best Prices in India | Ubuy
ubuy.co.in
the volume of 0. 5M KMnO4 solution which can oxidise 20 ml of 0.2 M ...
brainly.in
Jasvin-Antique, Jasvin Antique numismatic items, JASVIN-ANTIQUE
jasvin-antique.in
How to convert benzene into benzyl alcohol - Brainly.in
brainly.in
Max Geometric Marble Wallpaper – Myindianthings
myindianthings.com
Related Searches
Orde Reaksi
Laju Reaksi
Reaksi Kimia
Reaksi Alergi
Reaksi Terang
Tabung Reaksi
Reaksi Adisi
Contoh Reaksi Kimia
Reaksi Substitusi
Reaksi Redoks
Reaksi Nuklir
Reaksi Eksoterm
Reaksi Endoterm
Oksidasi
Entalpi Reaksi
Reaksi Gelap
Reaksi Reduksi
Reaksi Enzim
Reaksi Respirasi
Reaksi Karbohidrat
Fungsi Tabung Reaksi
Reaksi Biuret
Reaksi Pembakaran
Reaksi Transesterifikasi
Reaksi Elektrolisis
Reaksi Fotosintesis
Reaksi Kompleksometri
Jenis Reaksi
Makalah
Persamaan Reaksi Kimia
Tabel Asam
Hidrokarbon
Anima Si Reaksi Kimia
Kumpulan Reaksi Kimia
Siklus Calvin
Struktur Amilum
Tabung Reaksi Pecah
Reaksi Sabun
Reaksi Uji Molisch
Menyetarakan Persamaan Reaksi
Pengaratan Besi
Orde Reaksi Adalah
Struktur Asam Lemak
Contoh Alkena
Reaksi Deasidifikasi
Penyetaraan Reaksi Kimia
Senyawa Hidrokarbon
Larutan CuSO4
Proses Transpirasi
Reaksi Salkowski
Search
×
Search
Loading...
No suggestions found