Find Your Style
Women
Men
Accessories
Search for clothing, brands, styles...
×
Women
Men
Accessories
Recruitment Process Flowchart
Search
Loading...
No suggestions found
Fillable Online Recruitment Process Flowchart Fax Email Print - pdfFiller
pdffiller.com
Fillable Online RECRUITMENT PROCESS FLOW CHART Fax Email Print - pdfFiller
pdffiller.com
Os melhores modelos de fluxograma grátis para Word, PowerPoint ou Excel
edrawsoft.com
Recruiting Process Flow Chart - Fill and Sign Printable Template Online
uslegalforms.com
Why Opting for an LMS is a Smart Decision for Your Recruitment Process
blog.urexam.in
Stages Of The Recruitment Life Cycle And Its Importance
uknowva.com
Selection Flowchart Stock Illustrations – 262 Selection Flowchart Stock ...
dreamstime.com
Key Strategies to be Followed in the Recruitment Process in Order to ...
digitalhrms.com
The recruitment process 2/2
blog.processhorizon.com
Recruitment Process outsourcing | Recruitment Process outsourcing ...
scopehr.in
Redesign a simple graphic to improve it and match color scheme | Freelancer
freelancer.in
Recruitment Process Outsourcing (RPO)
huarc.in
Recruiting Security Researchers Remotely
sechub.in
HR Solutions Services,Placement and Human Resources Services in Ghaziabad
scsuniversal.in
Os melhores modelos de fluxograma grátis para Word, PowerPoint ou Excel
edrawsoft.com
Complex Flowchart: Meaning, Types &14 Free Examples
edrawmax.wondershare.com
A Powerful Recruitment Management System Will Streamline Your Hiring ...
digitalhrms.com
Admission Process- Bhabha University Bhopal Madhya Pradesh
bhabhauniversity.edu.in
Fillable Online Recruiter receives Fax Email Print - pdfFiller
pdffiller.com
Challenges Faced by Company’s Recruitment Process | Digital HRMS Blog
digitalhrms.com
Recruitment Process at SMARTCO | International Recruitment Agency in Mumbai
smartco.net.in
Complex Flowchart: Meaning, Types &14 Free Examples
edrawmax.wondershare.com
フローチャートの作り方とデザイン方法 | Lucidchart ブログ
lucidchart.com
Recruitment Process | Hitachi Energy
hitachienergy.com
Resignation Process Flowchart - Edraw
edrawsoft.com
Edcareer Hr Solutions
edcareershrsolutions.com
Recruitment Process | Hitachi Energy
hitachienergy.com
What is a Flowchart Subprocess
edrawmax.wondershare.com
BPO and KPO | Call Center | BPO Jobs | BPO Recruitment Consultancy
globalhunt.in
Key Strategies to be Followed in the Recruitment Process in Order to ...
digitalhrms.com
Safer Recruitment for Day Nurseries and Preschools - Twinkl
twinkl.co.in
How to get an off-campus placement in Amazon India?
digiaccel.in
What is a Flowchart Subprocess
edrawmax.wondershare.com
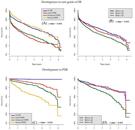
The Importance of Close Follow-Up in Patients with Early-Grade Diabetic ...
mdpi.com
What is a Flowchart Subprocess
edrawmax.wondershare.com
What is a Flowchart Subprocess
edrawmax.wondershare.com
Recruitment Process | Recruitment Agency | Recruitment Consultant
globalhunt.in
How technology can Improve your recruiting process?
blog.greenthumbs.in
Audit Process - KALAM INSTITUTE OF HEALTH TECHNOLOGY
kiht.in
HR Services | Payroll Outsourcing Companies in India | Staffing Solutions
datrax.in
Telecalling in recruiting process - BPO & Telecaller - 1800866555
olx.in
What is a Flowchart Subprocess
edrawmax.wondershare.com
Oracle Recruiting and Recruiting Booster | HCM | Oracle India
oracle.com
4 Best Practices to Hire Digital Marketing Talent Effectively - Remote ...
remotetalentlatam.com
Challenges in Recruitment and Selection Process: An Empirical Study
mdpi.com
Challenges Faced by Company’s Recruitment Process | Digital HRMS Blog
digitalhrms.com
Benefits of Recruitment Process Outsourcing(RPO) – Arman Executive Search
armangroup.in
Designs Flowchart and Design Filing Procedure
ssrana.in
Welingkar Institute of Management - NewsWire
newswire.nokomis.in
8 Talent Acquisition Metrics to Know About
uknowva.com
What is a Flowchart Subprocess
edrawmax.wondershare.com
Microsoft Visio Expert - Process Maps | Flowcharts |SOP | Freelancer
freelancer.in
RDF gasification-based net 400 kWeX24 hrs power generation plant | NTPC ...
ntpc.co.in
7:Recruitment process with the help of social media | Top Recruitment ...
7consultancy.in
A Detailed Guide On Student Recruitment Strategies For Colleges In 2025
leadsquared.com
How to Measure the Success of Recruitment Process Outsourcing
manpowergroup.co.in
A flowchart needs to represent the a situation where for each mark a ...
brainly.in
Reliance New Energy Careers
detreg.ril.com
Typical Business Blueprint of SAP R/3 | FICO | STechies
stechies.com
Ein detaillierter Leitfaden zum PPT Flussdiagramm für Lagerprozesse
edrawsoft.com
Recruitment Efficiency Metrics Dashboard PPT Graphics AT
slideteam.net
How To Recruit The Best Talent For Your Company in 2022 | QWEEN | Qween
qween.in
Recruitment Efficiency Metrics Dashboard PPT Graphics AT
slideteam.net
Recruitment Efficiency Metrics Dashboard PPT Graphics AT
slideteam.net
GSoC Final Report
balasankarc.in
Challenges in Recruitment and Selection Process: An Empirical Study
mdpi.com
Applicability of various Accounting Standards
taxguru.in
Flowchart Algorithm
vedveethi.co.in
Mindmap: Life Processes Class 10 Notes | EduRev
edurev.in
Gmail - Fwd Campus Recruitment Process 2021-22 for Officer in Junior ...
studocu.com
ICAR NIAP Recruitment 2023 Walk in Interview | 04 Research ...
indgovtjobs.in
7: Recruitment Process in Manufacturing Industry | Manpower Consultancy ...
7consultancy.in
Export Logistics and its Process explained with a Flowchart
dripcapital.com
Draw a flowchart to enter the radius of a circle and display its area ...
brainly.in
Buy Project Management PM Process Flow PMBOK6 Oversized Wall Chart (34. ...
desertcart.in
Recruiting Buddy Jr. A Resource Workbook to Guide Athletes and Parents ...
flipkart.com
Algorithm cook rice to flowchart - Brainly.in
brainly.in
Innate Immunity - MedicalVerge
medicalverge.in
Factor XI/XIa Inhibition: The Arsenal in Development for a New ...
mdpi.com
Life Processes - Class 10 Chapter 6 Short Notes (Mind Maps)
esaral.com
Competency Mapping | Competency Mapping in Chennai, Competency Mapping ...
scopehr.in
Flow chart on life processes class 10 - Brainly.in
brainly.in
HR Recruitment Consultancy | IT Recruitment Consultancy | NON-IT ...
recruitmentconsultancy.in
Knowledge Center || Recycle Now
recyclenow.in
Write algorithm and create flowchart for calculating area and perimeter ...
brainly.in
Stanford's high-tech recruiting process - ESPN Video
espn.in
Recruitment and selection - PROJECT REPORT “ A STUDY ON RECRUITMENT AND ...
studocu.com
Stepwise procedure of e-filling of ITR, important updates & FAQs
taxguru.in
Life Processes - Class 10 Chapter 6 Short Notes (Mind Maps)
esaral.com
Life Processes - Class 10 Chapter 6 Short Notes (Mind Maps)
esaral.com
Police recruitment in MBVV: Five aspirants booked for submitting fake ...
freepressjournal.in
HR Recruitment Consultancy | IT Recruitment Consultancy | NON-IT ...
recruitmentconsultancy.in
draw a flowchart to accept a number from the user and display it ...
brainly.in
Life Processes - Class 10 Chapter 6 Short Notes (Mind Maps)
esaral.com
draw a flowchart to find the perimeter and area of rectangle. and also ...
brainly.in
Revolutionizing the record-to-report process - Capgemini India
capgemini.com
HR Recruitment Consultancy | IT Recruitment Consultancy | NON-IT ...
recruitmentconsultancy.in
NTPC Limited Recruitment 2023
sscadda.com
Phoenix Electrical : Process : Rubber Process
phoenixelectrical.co.in
Write algorithm and Draw flowchart to find Area and circumference of ...
brainly.in
The Importance of Close Follow-Up in Patients with Early-Grade Diabetic ...
mdpi.com
7: Logistic Recruitment Agencies in Mumbai | Logistic Recruitment ...
7consultancy.in
Algorithm and flowchart to find area and perimeter of circle - Brainly.in
brainly.in
UGC Launches Faculty Recruitment Portal for Central Universities
adda247.com
write an algorithm and draw a flow chart to find sum of digits of a ...
brainly.in
[Answered] Write an algorithm and draw a flowchart to find simple ...
brainly.in
Mica Process Flowchart : Prime Natural Resources
pnrmica.in
CRPF Constable Recruitment 2023 Notification Out for 129929 Posts
studyiq.com
Recruitment Portal C-DAC
recruitment-portal.in
AMET University: Wallem Ship Management (India) Pvt Ltd - Admission ...
ametuniv.ac.in
7: HR Consultancy in Mumbai | HR Consultancy in India | Best Placement ...
7consultancy.in
Draw a flowchart for a program which asks the user to enter a password ...
brainly.in
PPS Material - PPS - 1. SIMPLE CALCULATOR – FLOWCHART N N N N N N Y Y Y ...
studocu.com
Army made changes to Agniveer Recruitment Process: Know all the details ...
currentaffairs.adda247.com
Draw a Flowchart to calculate the Product of 2 numbers? - Brainly.in
brainly.in
7: HR Consultancy in Navi Mumbai | HR Consultancy in Navi Mumbai | HR ...
7consultancy.in
Mindmap — lesson. Science CBSE, Class 10.
yaclass.in
Draw a flowchart to find the cost of 1 pencil if 200 pencils cost rs ...
brainly.in
Technical Guide
studycafe.in
Related Searches
NEPA Process Flow Chart
NEPA EA Process Flow Chart
NEPA Process Steps
NEPA Process Diagram
NEPA Eis Process Flowchart
Section 106 Process Flow Chart
CEQA Process Flow Chart
NEPA Process Timeline
FHWA Pel Study
NEPA Documents
Dot Flow Chart
MILCON Process Flowchart
Engineering Process Flow Chart
Compliance Process Flow Chart
Design Build Process Flow Chart
Project Development Process
Environmental Process Flow Chart
Order Process Flowchart
Construction Process Flow Chart
Section 106 Flowchart ACHP
USACE NEPA Process Flow Chart
NEPA Process Flow Chart Decisions
Material Management Process Flow Chart
DoD Acquisition Process Flow Chart
What Is NEPA
Planning Process Flowchart
Fed Rec Process Chart
Environmental Impact Statement
Process Flowchart Examples
DoD Contracting Process Flow Chart
FDOT NEPA Process Graphics
Search
×
Search
Loading...
No suggestions found