Find Your Style
Women
Men
Accessories
Search for clothing, brands, styles...
×
Women
Men
Accessories
Rectus Sheath Nerve Block
Search
Loading...
No suggestions found
How to Perform a Rectus Sheath Block | FUJIFILM Sonosite
sonosite.com
Opioid-Sparing Effect of Multi-Point Incision-Based Rectus Sheath Block ...
mdpi.com
Pericapsular Nerve Group Block and Iliopsoas Plane Block: A Scoping ...
mdpi.com
Opioid-Sparing Effect of Multi-Point Incision-Based Rectus Sheath Block ...
mdpi.com
Preoperative steroids enhance anesthetic effect of inferior alveolar ...
medicaldialogues.in
Structure and Types of Neuron, Nerves, Myelinated and Non myelinated ...
aakash.ac.in
Quantitative Ultrasound Techniques Used for Peripheral Nerve Assessment
mdpi.com
Nerve Block Injections Pune | Diagnostic Nerve Pune | Treatment
vencerhospital.com
Quantitative Ultrasound Techniques Used for Peripheral Nerve Assessment
mdpi.com
Description of an Ultrasound-Guided Erector Spinae Plane Block and ...
mdpi.com
Combined Intermediate Cervical Plexus and Costoclavicular Block for ...
mdpi.com
Occipital Neuralgia Treatment in Jaipur, Occipital Neuralgia Doctor in ...
painguru.in
Anatomy II Equine Hindlimb Nerves Flashcards | Quizlet
quizlet.com
Trigeminal Sensory Supply Is Essential for Motor Recovery after Facial ...
mdpi.com
Atlas of Peripheral Nerve Blocks and Anatomy for Orthopaedic Anesthesia ...
flipkart.com
Description of an Ultrasound-Guided Erector Spinae Plane Block and ...
mdpi.com
Buy Upper Limb (Peripheral Nerve Blocks) Book Online at Low Prices in ...
amazon.in
Buy Peripheral Nerve Blocks: A Color Atlas Book Online at Low Prices in ...
amazon.in
Spinal Injections & Peripheral Nerve Blocks: Buy Spinal Injections ...
flipkart.com
Buy Ultrasound-guided Nerve Blocks on DVD: Lower Limbs Book Online at ...
amazon.in
Ultrasound-Guided Peripheral Nerve Blocks: Buy Ultrasound-Guided ...
flipkart.com
High-powered gradients boost MR research - Philips
philips.co.in
Neuron Definition, Function, Parts and Diagram
careerpower.in
Buy Ultrasound-Guided Regional Anesthesia: A Practical Approach to ...
amazon.in
Buy Peripheral Nerve Blocks: Principles and Practice Book Online at Low ...
amazon.in
Nerve Sheath Tumors Signs Symptoms And Treatment | Desertcart INDIA
desertcart.in
तंत्रिका ब्लॉक क्या है? | Nerve Block in Hindi
medtalks.in
Buy Nerve Blocks in Palliative Care Book Online at Low Prices in India ...
amazon.in
Experimental Investigation on the Anchorage Performance of a Tension ...
mdpi.com
Buy Regional Nerve Blocks Book Online at Low Prices in India | Regional ...
amazon.in
Buy Lower Limb (Peripheral Nerve Blocks) Book Online at Low Prices in ...
amazon.in
Buy Guide to Peripheral Nerve Blocks Book Online at Low Prices in India ...
amazon.in
The function of myelin sheath covering the axon of a nerve cell is to ...
brainly.in
Buy Sciatic Nerve: Blocks, Injuries & Regeneration (Neuroscience ...
amazon.in
Buy Genomics and Models of Nerve Sheath Tumors Book Online at Low ...
amazon.in
Asian Paints SmartCare Damp Block 2k - Prime | 2k Waterproof Coating ...
amazon.in
Building Blocks Sheath Sword Holder Model Anime Educational Toys – CRAZE
thecraze.in
Buy Cosplay Anime ONE Piece Zoro s Building Blocks Set, 22.8in Samurai ...
desertcart.in
Right Lateral Rectus Palsy | Spot Diagnosis | Pediatric Oncall
pediatriconcall.com
Buy Nervive, Nerve , Alpha Lipoic Supplement for Nerves and a Pain ...
desertcart.in
Radifocus Introducer Sheath | in delhi, noida, gurugram or gurgaon ...
satyasales.co.in
Buy AGGJ Technic Lich King Frostmourne Samurai Model Building Blocks ...
desertcart.in
Buy NUTRIHANCE MULTIOMEGA 100% VEGAN OMEGA SOFTGEL (60 VEG SOFTGELS ...
pharmeasy.in
Buy XHLLX Reflex Arc Nerve Conduction Model Conditioned Reflex Model ...
desertcart.in
Rectus Enterprises SR-101 Step-Type Button Regulator Price in India ...
flipkart.com
diagram about signal effect on cell function - Brainly.in
brainly.in
Buy SUSA KNIVES Custom Handmade 1095 steel Bull cutter knife , cowboy ...
ubuy.co.in
Buy Calvin Klein Women's Sleeveless Color Block Sheath Dress, Winter ...
amazon.in
Braceability Posterior Long Arm Splint Elbow Immobilizer Right Or Left ...
desertcart.in
KRISHI
tezu.ernet.in
Ceramide & Vitamin C Sunscreen - 80gm – Dr Sheth's
drsheths.com
name the parts labeled 1,2,3,4 and 5a)Dendrites—nucleus—cytoplasm—axon ...
brainly.in
ADDLER Ophthalmic Superior Rectus Holding Forceps Medical Steel ...
flipkart.com
Identify the labelled part in the given figure and select the correct ...
tardigrade.in
Buy Kasper Women's Petite Stretch Crepe Color Block Sheath Dress, Loden ...
amazon.in
Distinguish between myelinated and non myelinated nerve fibre - Brainly.in
brainly.in
Buy DR RECKEWEG R 84 INHALENT ALLERGY DROPS 30 ML Online & Get Upto 60% ...
pharmeasy.in
Fork Type Terminal Strip Set, Jumper Block Terminal Strip Pure Copper ...
amazon.in
GREATER KAILASH M BLOCK (2025) All You Need to Know BEFORE You Go (with ...
tripadvisor.in
Diy Building Block Music Box Developing Logical Thinking Suitable For ...
indiantelevision.com
Buy HUMANX Sciatica Focused Formula - Nerve Support Supplement with ...
desertcart.in
Recent Advances in Halogen-Free Flame Retardants for Polyolefin Cable ...
mdpi.com
Buy Spirit Style 3 Hydrocolloid Sheath Male External Catheter ...
ubuy.co.in
What is Block Play? - Answered - Twinkl Teaching Wiki
twinkl.co.in
Buy DR.RECKEWEG R 42 VARICOSE VEINS DROPS 22 ML Online & Get Upto 60% ...
pharmeasy.in
Buy ALLEN A25 NERVE AND SLEEP DROPS 30ML Online & Get Upto 60% OFF at ...
pharmeasy.in
Ken Block Dies at 55 in Snowmobile Accident » Car Blog India
carblogindia.com
Buy Study Model Female Pelvis Model - Medical Anatomical Pelvis ...
desertcart.in
H&R Block Office Photos
glassdoor.co.in
what is mucilaginous sheath? - Brainly.in
brainly.in
Fork Type Terminal Strips, Barrier Strip Terminal Block Brass Electric ...
amazon.in
Noise Nerve Neckband Bluetooth Headset Price in India - Buy Noise Nerve ...
flipkart.com
Buy Demon Slayer Cosplay Wooden Props,Nichirin For Anime Lovers,80Cm ...
desertcart.in
Printable Letter R Outline - Print Bubble Letter R | Printable letters ...
za.pinterest.com
Nerve: Library Edition : Ryan, Jeanne, Davies, Caitlin: Amazon.in: Books
amazon.in
Buy The Vagus Nerve: 2 BOOKS IN 1: The Polyvagal Theory + Vagus Nerve ...
desertcart.in
Buy Cubital Tunnel Syndrome Elbow Brace Splint To Treat Pain From Ulnar ...
desertcart.in
Complete the given flow chart ...
brainly.in
Fork Type Terminal Stripe, 10Pcs Insulating Sheath 8 Positions 400V ...
amazon.in
Buy Multitool Sheath for Belt,Belt Sheath,Leather Flashlight Holster ...
desertcart.in
Nervio vago: Guía para principiantes [Vagus Nerve: Guide for Beginners ...
audible.in
Block Craft 3D:Building Game | Download and play on PC – Google Play Store
play.google.com
Explain the structure of endoplasmic reticulum - Brainly.in
brainly.in
Indigestible: Popular Sustainable Materials Like Areca Leaf Are Rarely ...
thewire.in
Narendra Modi Stadium, Ahmedabad Pitch Report | TheTopBookies
thetopbookies.com
UNIVERSITY OF KENT - KEYNES COLLEGE (Canterbury) - Lodge Reviews ...
tripadvisor.in
Swaraj Rwa Khirki Extension Block R Malviya Nagar Rent - WITHOUT ...
nobroker.in
Sheath / Column Mother of the Bride Dress Formal Elegant Sparkle ...
lightinthebox.com
Advance Cable Tech
advancecable.in
IPL Ticket Booking Ahmedabad, Narendra Modi Stadium Tickets Price 2025
ipltickets.in
PKU and albinism are two autosomal recessive disorders, unlinked in ...
brainly.in
please any body send me lobopodia picture with name mention... - Brainly.in
brainly.in
Buy VIPERADE PJ15 Multitool Sheath for Belt, EDC Leather Sheath ...
desertcart.in
Buy Vagus Nerve Healing: Easy and Inexpensive Vagus Nerve Stimulating ...
desertcart.in
AK Clinics - Best Hair Transplant in Delhi - Hair Transplant & Skin ...
yappe.in
Buy Valhalla Custom Kydex Sheath for Ka-Bar Becker BK21 Kukri OD GREEN ...
desertcart.in
difference between rough endoplasmic reticulum and smooth endoplasmic ...
brainly.in
Block.one CTO Daniel Larimer announces resignation
cryptopanic.com
Thermowell
in.omega.com
Which of the following molecules contain sphingosine? Select all that ...
ask.learncbse.in
Buy Kydex Multitool Sheath for Gerber Suspension NXT - Made in USA ...
desertcart.in
Experiment for Budding in Hydra - Brainly.in
brainly.in
PCD-07000-0E Molex Premise Networks | Molex Premise Networks, 1m Cat6a ...
in.rsdelivers.com
Wear the trend: Decorative heels | Vogue India
vogue.in
match the following pls - Brainly.in
brainly.in
∆ABC ∆PQR ,if AB = 4 cm ,PQ = 6 cm , QRv= 9 cm then side BC =? - Brainly.in
brainly.in
NEW!!! 7.5" MILITARY TACTICAL COMBAT KNIFE w/ SHEATH Survival HUNTING ...
desertcart.in
39. Given below is a digramatic presentation of spermatogenesis find ...
brainly.in
ANYONE HERE who can answer it - Brainly.in
brainly.in
characteristics of living nyigiimdpcorganisms in retail with example ...
brainly.in
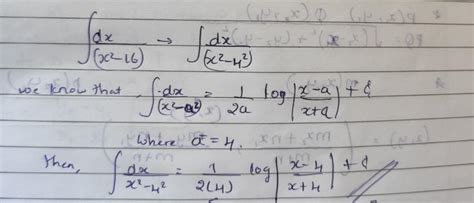
Evaluate the integral: ∫ dx/(x2-16) - Brainly.in
brainly.in
Alagappa Government Arts College Karaikudi
agacollege.in
prepare a pamphlet of your own to create awareness on soil pollution ...
brainly.in
ATP is [BVP 2002] A) Nucleotide B) Nucleoside C) Nucleic acid D ...
brainly.in
horse run with how much speed - Brainly.in
brainly.in
please any body send me lobopodia picture with name mention... - Brainly.in
brainly.in
indicate the anesthetic, which isan inhibitor of NMDAglutamate ...
brainly.in
which of the following statement is incorrect - Brainly.in
brainly.in
How Chondrichthyes reproduct? - Brainly.in
brainly.in
Briefly explain the steps of cardiac cycle - Brainly.in
brainly.in
Related Searches
Rectus Sheath Nerve
Rectus Sheath Block Anatomy
Rectus Sheath Block Ultrasound
Rectus Sheath Catheter Nerve Block
Rectus Sheath Abdomen
Rectus Sheath Abdominal Wall
Rectus Sheath Block NYSORA
Rectus Sheath Block Us
Rectus Sheath Block Needle
Abdominal Rectus Sheath Hematoma
Rectus Aponeurosis
Ultrasound-Guided Rectus Sheath Block
Anterior Rectus Sheath
Rectus Sheath Muscle
TAP Block vs Rectus Sheath Block
Rectus Abdominis Muscle Hernia
Bilateral Rectus Sheath Block
Rectus Sheath Arcuate Line
Left Rectus Sheath
Rectus Abdominis Muscle Tear
Rectus Sheath Block Technique
Rectus Sheath Plane Block
Rectus Sheath Pain Block
Rectus Sheath Block CPT
Thoracic Nerve Block
Rectus Sheath below Arcuate Line
Posterior Rectus Sheath
Right Rectus Sheath
Peroneal Nerve Block
Rectus Sheath Location
Subcostal Nerve Block
Contents of Rectus Sheath
Intercostal Nerve Block
Rectus Adominis Sheath Block
Transverse Abdominis Plane Block
Posterior Lamina Rectus Sheath
Iliohypogastric Nerve Block
Rectus Sheath Block Where
Rectus Sheath Block Anesthesia
Rectus Sheath Block Cross Section
Rectus Sheath Layers
Where Is the Rectus Sheath
Ilioinguinal Nerve Injection
Dorsal Rectus
Tendon Sheath Nerve Block
What Is a Rectus Sheath Block
Lateral Cutaneous Nerve Block
Neuro Blck Rectus Sheath
Rectus Sheath Block Infusion
Ankle Block NYSORA
Search
×
Search
Loading...
No suggestions found