Find Your Style
Women
Men
Accessories
Search for clothing, brands, styles...
×
Women
Men
Accessories
Recursive Binary Search Java
Search
Loading...
No suggestions found
Java Programming: Binary Search Implementation and Explanation - Studocu
studocu.com
Binary Search Recursive Algorithm Tutorial Video Lecture - Analysis of ...
edurev.in
Insertion in Binary Search Tree (BST) using RECURSIVE FUNCTION (Working ...
edurev.in
Binary Search Algorithm Example in Java | DSA
smartprogramming.in
Ashwani Blog
blog.ashwanikumarsingh.in
Binary Search Algorithm Example in Java | DSA
smartprogramming.in
Binary Search Algorithm Example in Java | DSA
smartprogramming.in
Binary Search Algorithm | Step-by-Step Animation
dsavisualizer.in
BINARY SEARCH
learnerslesson.com
DEPTH FIRST SEARCH CODE - RECURSIVE
learnerslesson.com
Searching - Types with Example C Programs | Data Structure
cse.poriyaan.in
ADA Lab Manual 13 MCA 46 - Implement Recursive Binary search and Linear ...
studocu.com
Write a Java Program to find Factorial of given number using Recursive ...
studyecart.in
Searching - Types with Example C Programs | Data Structure
cse.poriyaan.in
Quick Sort | Ujjwalit
ujjwalit.co.in
Binary Search Recursive Method Video Lecture - Algorithms - Computer ...
edurev.in
DAA1 - It is a practical file of DAA - Program 1 Objective: Implement ...
studocu.com
Events
recursionnitd.in
Recursion In Java : Example
minigranth.in
Algorithms: binary search space complexity
gateoverflow.in
Non recursive C++ program for binary search DATA Structures - Page 5 ...
studocu.com
Virtual Labs
ds1-iiith.vlabs.ac.in
Search Algorithms
vlab.andcollege.du.ac.in
Binary Search Tree ADT - Operations, Algorithm with Example C Programs ...
cse.poriyaan.in
Binary Search in Python - Algorithm, Implementation (Iterative and ...
rapidcoders.in
Binary Search Java Program | ISC Computer Science 2020 Theory | Robin Sir
robinsir.in
Virtual Labs
ds1-iiith.vlabs.ac.in
DSA 2015 END Regular 2014 & Back 0f previous admitted batch - b) Write ...
studocu.com
Write a C program to perform Binary Search using recursion. - Worksheet ...
studocu.com
ADA Practical-2 - Implementation and Time analysis of linear and binary ...
studocu.com
Binary Search in C Programming
ccbp.in
ADA LAB Manualpdf - PROGRAMS Implement recursive Binary Search and ...
studocu.com
Decimal to Binary Conversion Using Recursion
thejat.in
Tutorial - Understanding Recursion - Hoptop Online Judge
hpoj.cb.amrita.edu
ADA Lab Manual 13 MCA 46 - Implement Recursive Binary search and Linear ...
studocu.com
Binary Search Algorithm In Details (Algorithms In Details Series) eBook ...
amazon.in
13mca47 Advanced Java Manual - Advanced Java Programming Laboratory ...
studocu.com
Events
recursionnitd.in
Binary Search Algorithm | Step-by-Step Animation
dsavisualizer.in
Chapter 1 introduction to java - Chapter wise Question Bank ...
studocu.com
First three programs Oopsjava 22 MCA 28 - Write a Java program to print ...
studocu.com
Binary Ebola Optimization Search Algorithm for Feature Selection and ...
mdpi.com
DEPTH FIRST SEARCH CODE - RECURSIVE
learnerslesson.com
Binary search algorithm - tutorialspoint/data_structures_algorithms ...
studocu.com
Deqube
deqube.co.in
Linear Search
codeamy.in
DS: Binary search tree
gateoverflow.in
Algorithms: Cormen Edition 3 Exercise 10.2 Question 7 (Page No. 241)
gateoverflow.in
Java Lab - program - class Program1 { public static void main(String ...
studocu.com
BINARY SEARCH
learnerslesson.com
BINARY SEARCH
learnerslesson.com
Factorial Program in C++ | Factorial program using recursion in C++
sitesbay.com
Tutorial - Understanding Recursion - Hoptop Online Judge
hpoj.cb.amrita.edu
Mca dbms lab manual - VISVESVARAYA TECHNOLOGICAL UNIVERSITY Belgaum ...
studocu.com
Binary Search Algorithm - In other words, searching is the process of ...
studocu.com
BINARY TREES
learnerslesson.com
DEPTH FIRST SEARCH CODE - RECURSIVE
learnerslesson.com
BINARY SEARCH
learnerslesson.com
Java Assignment 1 questions - BANGALORE INSTITUTE OF TECHNOLOGY K. ROAD ...
studocu.com
The Ultimate Guide to Binary Search Algorithm in C
ccbp.in
ADA Practical-2 - Implementation and Time analysis of linear and binary ...
studocu.com
4.4 Binary Search Tree
gtl.csa.iisc.ac.in
DAA Practical Lab Report: Algorithm Design & Analysis (CSE(AI)) - Studocu
studocu.com
Binary Search Using Recursion in Java | First & Last Occurrence | DSA ...
youtube.com
Data Structures and Algorithms in Python | Jovian
jovian.com
Write Algorithm for Binary search. Discuss about its complexity. How ...
brainly.in
Activity: Analog to Digital Conversion [Analog Devices Wiki]
wiki.analog.com
Find Height of a Binary Tree using Recursive Function - Recursion ...
edurev.in
Daa Answersheet - 1)Write non recursive algorithm to find maximum ...
studocu.com
Virtual Labs
ds1-iiith.vlabs.ac.in
Binary Search in C Programming
ccbp.in
Module III Assignment - assigment - Analysis and Design of Algorithm ...
studocu.com
Solve problems by using sequential search - 1.(a) Solve problems by ...
studocu.com
Z_scaler | OA | SDE1 | Coding Questions and Solutions| Binary Search ...
desiqna.in
Operators in Java - Java Tutorial
sitesbay.com
Java lab 2 - mca notes - DAYANANDA SAGAR ACADEMY OF TECHNOLOGY AND ...
studocu.com
write a C program that use both recursive and non recursive functions ...
brainly.in
Linear Search and Binary Search- 3 - Algorithms - Computer Science ...
edurev.in
Write a java program that uses both recursive and non-recursive ...
studocu.com
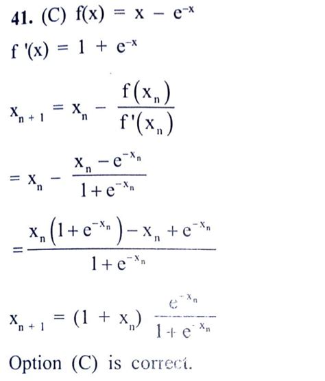
41. the recursion relation to solve x= e using newton-raphson's method ...
scoop.eduncle.com
flow chart to convert a decimal number into binary number - Brainly.in
brainly.in
Binary Search in C Programming
ccbp.in
AJWTnotes - MCa - AJWT [Advanced Java & Web Technologies] LECTURE NOTES ...
studocu.com
DSA Binary Search Tree(BST) - Binary Search Tree(BST) Binary search ...
studocu.com
Tower of Hanoi recursion game algorithm explained - Codeamy: Learn ...
codeamy.in
in java :-TOPIC – Array(Binary Search)OBJECTIVE- To write a program ...
brainly.in
Assignment 1 WT - mca notes - ASSIGNMENT Subject: Web Technologies ...
studocu.com
Binary Tree Data Structure Vol 2. - DEV Community
dev.to
Bi-directional Search - Bidirectional Search Bidirectional Search, as ...
studocu.com
Creating and using Delegates Multicasting Delegates, events and ...
studocu.com
Search Algorithms
vlab.andcollege.du.ac.in
Linear search algorithm-tutorialpoint - - Studocu
studocu.com
SE- Assignment 2 - imp Questions - BANGALORE INSTITUTE OF TECHNOLOGY K ...
studocu.com
Check if Array is Sorted Using Recursion in Java | Harish A R posted on ...
linkedin.com
Write a Java program to find factorial of given number - Brainly.in
brainly.in
AO star Algorithm - AO* Algorithm AO* algorithm is a best first search ...
studocu.com
DEPTH FIRST SEARCH
learnerslesson.com
Ashwani Blog
blog.ashwanikumarsingh.in
Pdfcoffee - hello - CHAPTER- A BRIEF INTRODUCTION OF THE ORGANIZATION’S ...
studocu.com
Mca dbms lab manual - VISVESVARAYA TECHNOLOGICAL UNIVERSITY Belgaum ...
studocu.com
DBMS cheats - qwertyuiop[;lkjhgfzxcvbnm,;jdsdfghjkl;;lkjhgxzsdfghjkl ...
studocu.com
9
cse.iitkgp.ac.in
All Assignments - [CSE303: ADA] [Assignment-1] Q1: Let f(n) and g(n) be ...
studocu.com
Introduction to Algorithms | SSi Digital Academy
online.ssidigital.in
Web lab manual - mca notes - DAYANANDA SAGAR ACADEMY OF TECHNOLOGY AND ...
studocu.com
MCA Corrigendum 520 12 07 24 - 30035 25,200,003 K ow error 25 SECURITY ...
studocu.com
A Modified Reptile Search Algorithm for Numerical Optimization | S-Logix
slogix.in
Alpha Ready (Batch 1)
apnacollege.in
Advanced web programming Introduction to Ruby - Advanced Web ...
studocu.com
UNIT III - data structure notes r18 jntuh - UNIT III Search Trees ...
studocu.com
CT3-QP3-Answer key - CSe - A binary search tree formed by inserting the ...
studocu.com
A Moving Window Double Locally Weighted Extreme Learning Machine on an ...
mdpi.com
A quantum multi-objective optimization algorithm based harmony | S-Logix
slogix.in
Myevotingpaper UWS - mca notes - See discussions, stats, and author ...
studocu.com
Mca dbms lab manual - VISVESVARAYA TECHNOLOGICAL UNIVERSITY Belgaum ...
studocu.com
Advanced Web Lab Manual for record - MINI PROJECT – I GUIDE LINES ...
studocu.com
In a binary search algorithm, if the element to be searched is greater ...
brainly.in
BREADTH FIRST SEARCH CODE
learnerslesson.com
Web notes 2 - WEB TECHNOLOGIES HTML AND XHTML HTML - Hyper Text Markup ...
studocu.com
Java Installation Process
tutorjoes.in
Related Searches
Binary Search Java
Binary Search Recursive Algorithm
Binary Search Code in Java
Binary Search Tree Java
Recursive Version of Binary Search
Binary Recursion Java
Binary Search Tree Traversal
Binary Search Pseudocode Java
Binary Search Example Java
Java Subset Binary Search
Binary Search in Java Output
Binary Search Time Complexity
Binary Search Program in Java
Recursive vs Iterative
Pseudocode for Binary Search
Recursive Binary Search Algorithm in Daa
Recursive Method Java
Recursive Binary Search Notes
Algorhythm Binary
Recursive Binary Search Python
Sequential Search Algorithm
Binary Search Java Implementation
Binary Search in C++ Recursive
Binary Search Java Alorithm
Optimal Binary Search Tree
Binary Search Computer Science
Binary Tree Inorder Traversal
Binary Search Tree Height
Binary Search C
Binary Search Tracing Java
What Is Binary Search in Java
Recursive Equation for Binary Search
Binary Search Using Recursion
Recursive Function Java
How to Write a Binary Search in Java
Java Binary Search Iterative and Recurisive
Linear Search Algorithm
Experimental Setup of Iterative and Recursive Binary Search
Java Recursion Binary Search How to Solving
Binary Search Tree Algorithms
Binary Search Algo
Example of Binary Recursin in Java
Binary Search Steps
Recursive Stack.java
How to Do a Binary Search in Java
Binary Search Flowchart
Factorial Java
Recusive in Java
Binary Search in Java Javatpoint
Recurisve Binary Search
Search
×
Search
Loading...
No suggestions found