Find Your Style
Women
Men
Accessories
Search for clothing, brands, styles...
×
Women
Men
Accessories
Recursive Defined Function In Maths
Search
Loading...
No suggestions found
Tutorial - Understanding Recursion - Hoptop Online Judge
hpoj.cb.amrita.edu
View question - A sequence is defined recursively by the formula f(n ...
web2.0calc.com
Recurrence Relations - Combinatorics - Discrete Mathematics
cse.poriyaan.in
Show that the function f : R* → R* defined by f(x) = 1/x is one-one and ...
ask.learncbse.in
UNIT-2- TAFL - Regular Expression A Regular Expression can be ...
studocu.com
Tutorial - Understanding Recursion - Hoptop Online Judge
hpoj.cb.amrita.edu
Fillable Online math montana Recursion Fibonacci Numbers Fibonacci ...
pdffiller.com
Recursive Functions - Definition, Properties, Example C programs
eee.poriyaan.in
Let f : R → R be defined as f(x) = 10x + 7. Find the function such that ...
ask.learncbse.in
Q19 A function f is defined by f(x) = |x|-x / 2x then find its domain ...
iqclasses.in
Factorial Program in C++ | Factorial program using recursion in C++
sitesbay.com
Show that a function f R R defined as fx = 5x minus 3 by 4 is both one ...
iqclasses.in
Q9 A function 'f' is defined by f(x) = x2 + 3,x € N and x ≤ 5. (i) Find ...
iqclasses.in
Check whether the relation R in R defined as R = {(a, b): a ≤ b3} is ...
ask.learncbse.in
Module-3 Functions - Function for C language - MODULE 3 USER DEFINED ...
studocu.com
Tower of Hanoi (recursion) - with Example C Programs | Functions
cse.poriyaan.in
A function f: R→R defined as f(x) = x2-4x+5 is: (A) injective but not ...
iqclasses.in
A recursive rule for a geometric sequence is a1=8;an=3/4 an-1 - Brainly.in
brainly.in
Let f : R → R be defined as f(x) = 10x + 7. Find the function such that ...
ask.learncbse.in
Show that the function f : R* → R* defined by f(x) = 1/x is one-one and ...
ask.learncbse.in
Show that the function f : R → {x ∈ R : -1
ask.learncbse.in
Show that the function f : R → {x ∈ R : -1
ask.learncbse.in
Recursive And Explicit Formulas Worksheet - Fill Online, Printable ...
pdffiller.com
Show that a function f R R defined as fx = 5x minus 3 by 4 is both one ...
iqclasses.in
Show that the function f : R → {x ∈ R : -1
ask.learncbse.in
Check whether the relation R defined in the set {1, 2, 3, 4, 5, 6} as R ...
ask.learncbse.in
Show that the relation R in R defined as R = {(a, b): a ≤ b}, is ...
ask.learncbse.in
Let L be the set of all lines in XY plane and R be the relation in L ...
ask.learncbse.in
Practice Problems (Induction, recursion and Relations ) - DISCRETE ...
studocu.com
Check whether the function f : R->R defined by f(x)=x3+x has any ...
iqclasses.in
Let f : N → N be defined by State whether the function f is bijective ...
ask.learncbse.in
fractional part function in maths: Definition, Types and Importance | AESL
aakash.ac.in
Q3 If R is the relation defined on the set of natural numbers N as ...
iqclasses.in
Lambda and Recursive functions in python | MY.NET Tutorials
msdotnet.co.in
PSP Module 4 2022 - Introduction to User Defined Functions and ...
studocu.com
definition of signum function in maths: Definition, Types and ...
aakash.ac.in
Number Patterns Maths Worksheets Grade 4 - Twinkl SA
twinkl.co.in
Composite Functions: Properties, Definition & Examples | AESL
aakash.ac.in
Adobe Scan 30 Nov 2022 - Maths - relation. Example 25. Show that the ...
studocu.com
Q3 Let I be the set of all integers, Show that the function f: I→I ...
iqclasses.in
View question - A sequence is defined recursively using the formula f(n ...
web2.0calc.com
Q3 If R is the relation defined on the set of natural numbers N as ...
iqclasses.in
Q7 Let f: R→R be defined as f(x) = x4 Show that f is neither One-One ...
iqclasses.in
Q7 Is the function f defined by f(x)= x / sin2x ,when x ≠ 0 2, x = 0 ...
iqclasses.in
Types of Recursion - Programming in C | Functions
cse.poriyaan.in
fractional part function in maths: Definition, Types and Importance | AESL
aakash.ac.in
Let N be the set of all natural numbers and R be a relation on N x N ...
iqclasses.in
Q11 Find the value of the constant k so that the function f defined by ...
iqclasses.in
All Integration Formulas PDF and Sheet for Class 12 Students
adda247.com
Show that the relation R defined in the set A of all triangles as R ...
ask.learncbse.in
Input/Output Machine Generator - Primary Resources - Twinkl
twinkl.co.in
USER Defined Functions AND Recursion PART 4 - The statement that solves ...
studocu.com
View question - The rule an=−2⋅3 n-1 is the explicit rule for a ...
web2.0calc.com
Q19 A function f is defined by f(x) = |x|-x / 2x then find its domain ...
iqclasses.in
CBSE +1 Maths Formulae - Formula - Tutor: Dr. R. Arul Doss CBSE ...
studocu.com
Online Video-Tutorials for Maths-III | Magic Marks
magicmarks.in
Bijective Function Properties & Examples | AESL
aakash.ac.in
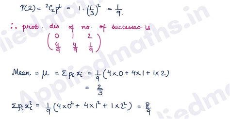
Q10. Find the probability distribution of the number of successes in ...
appliedmaths.in
Python recursion function to find largest number in a list without ...
brainly.in
Show that the Signum Function f : R → R, given by f(x) = { 1, if x>0 ...
ask.learncbse.in
Q19 A function f is defined by f(x) = |x|-x / 2x then find its domain ...
iqclasses.in
Maths MCQ - Q1. 𝐼𝑓 𝑓: 𝑅 − { 3 5 } → 𝑅 be defined by 𝑓(𝑥) = 3𝑥+ 5𝑥− ...
studocu.com
Show that a function f R R defined as fx = 5x minus 3 by 4 is both one ...
iqclasses.in
Theory of Computation: ACE Test series on Recursively Enumerable Language
gateoverflow.in
Let f : N → N be defined by State whether the function f is bijective ...
ask.learncbse.in
Built-In Functions and User Defined Function - CHAPTER- Built-In ...
studocu.com
Applied Maths
appliedmaths.in
A sequence is defined recursively as: F0 = -1; f1 = 1 Fn = fn-1 – fn-2 ...
brainly.in
Inverse Trigonometric Functions: Definition, Formulas, Domain and Range
allen.in
I want some expansions of standard function to apply in limit.
scoop.eduncle.com
PS Material UNIT 1 - UNIT-1: Arrays, Structure & Union and User defined ...
studocu.com
Power System Analysis
archive.nptel.ac.in
Integrating Maths worksheets with other subjects - Azim Premji University
azimpremjiuniversity.edu.in
User-Defined Functions in C | Scaler Topics
saludolearning.in
Q7. Find the probability distribution of the number of successes in two ...
appliedmaths.in
Integrating Maths worksheets with other subjects - Azim Premji University
azimpremjiuniversity.edu.in
Solved: Which graph represents the following piecewise defined function ...
gauthmath.com
Q7. Find the probability distribution of the number of successes in two ...
appliedmaths.in
Q10. Find the probability distribution of the number of successes in ...
appliedmaths.in
Let f : N → N be defined by State whether the function f is bijective ...
ask.learncbse.in
Inverse Trigonometric Functions: Definition, Formulas, Domain and Range
allen.in
Maths Lab | Maths Lab Service | Maths Lab for Schools
compoint.in
write a JSP program to find factorial of given number - Brainly.in
brainly.in
A function f: R→R defined as f(x) = x2-4x+5 is: (A) injective but not ...
iqclasses.in
r(m) models the average monthly rainfall (in millimeters) in Tanzania ...
brainly.in
fractional part function in maths: Definition, Types and Importance | AESL
aakash.ac.in
Mathematics: About Fractals - India Dictionary
1investing.in
Tower of Hanoi recursion game algorithm explained
codeamy.in
How to calculate the Mean, Mode, Median and Range in Maths
twinkl.co.in
Foundation Mathematics for Class 8 (2024 Edition) : R.S Aggarwal ...
amazon.in
Ncert solutions class 12 maths chapter 9 - Question 1: Determine order ...
studocu.com
Fibonacci Numbers: Properties, Series, and Their Connection to the ...
allen.in
Functions Class 11 Notes & Solved Numericals for IIT JEE
esaral.com
Function - JEE Main Previous Year Question with Solutions
esaral.com
The degree of the differential equation (a) 4 (b) 3 (c) 2/3 (d) Not defined
iqclasses.in
User-Defined Functions in C | Scaler Topics
saludolearning.in
Realization of Systems in Direct Form - Realization of Systems in ...
ece.poriyaan.in
(i) Let L be a set of all straight lines in a plane. The relation R on ...
iqclasses.in
Mind Maps for Relations and Functions Revision - Class 12, JEE
esaral.com
Extend the Geometric Patterns Grade 4 Worksheets - Twinkl ZA
twinkl.co.in
Value of e in Maths and Physics
adda247.com
Types of Functions Free MCQ Practice Test with Solutions - SAT
edurev.in
Class XII Maths Assignment - CHAPTER PRACTICE OBJECTIVE TYPE QUESTIONS ...
studocu.com
Match the Geometric Patterns Grade 6 Worksheets - Twinkl ZA
twinkl.co.in
Q6. A die is tossed twice. A success is defined as getting an odd ...
appliedmaths.in
A sequence is defined recursively using the formula . If the first term ...
brainly.in
definition of signum function in maths: Definition, Types and ...
aakash.ac.in
Mathematics Analysing graphs and functions practice set 2 - Question: A ...
studocu.com
Maths, sets, types of set - Page 1 CHAPTER 1 - SETS A well defined ...
studocu.com
Difference between Library Function and User-Defined function. - Brainly.in
brainly.in
Virtual Labs
ds1-iiith.vlabs.ac.in
Functions in C in Hindi (सी में फंक्शन क्या है) - Tutorial in Hindi
tutorialinhindi.com
Q10. Find the probability distribution of the number of successes in ...
appliedmaths.in
Compiler Design: First and follow
gateoverflow.in
View question - The explicit rule for a sequence is
web2.0calc.com
What is Set Mathematics? - Answered - Twinkl Teaching Wiki
twinkl.co.in
NOTES | Cambridge IGCSE® Mathematics
igcsemaths.in
A Vastu-compliant duplex in Bengaluru defined by seamless curved lines ...
architecturaldigest.in
Power System Analysis
archive.nptel.ac.in
Realization of Systems in Direct Form - Realization of Systems in ...
ece.poriyaan.in
Related Searches
Recursive Function
Recursive Function Example
Recursively Defined Functions
How Function Is Defined in Discrete Math
Recursive Function Illustration
Recursive Function in Discrete Mathematics
Recursive Function Notation
What Is Function Notation Recursive with Braces Math
How to Create Recursive Function
Inline vs Recursive Function
Recursive Function Meaning
Recursive Function Examples in Maths
Recursive Function Illustrate
Recursive Function C
Recursive Function Types
Recursive Definition Math
Factorial Recursive Function Python
Progressive Tax Recursive Function Programming
Primitive Function
Recursive Boolean Function
Recursive Function Came From
Recursion Define of Recursive in English
Can a Combination Be Defined Recursively
Recursive Function Properties
Explaination of Recursive Function
Swift Recursive Function
Image That Show Recursive Function
Advantage of Recursive Function
What Is Recursive Function Theory
Recursive Function Applications
Recursive Function Table of Values
How to Prove the Function Is Primitive Recursive
Recursive Sequence Function Notation
What Are Recursive and Function Rule
Recursive Function vs Non Recursive Function
Difference Bitween Function and Recursive Function
Recursive Formula Function Notation
Recursion in 11th Math
Difference Between Non Recursive Function and Recursive Function
Recursive in Math Simple Examples
What Are Recursive Function Give Example
Recursive Funciton
Philosphy of Recursive Functions
Recursive Definition Math for Squences
Examples Fo Recusrive Functions
Recurrence Function Example in Discrete Mathematics
Difference Between Recursive Functiona ND Non Recusive Function
Recursive Functgions ACS-L
Primitive Function Rules
Differences Between Function and Recursion
Search
×
Search
Loading...
No suggestions found