Find Your Style
Women
Men
Accessories
Search for clothing, brands, styles...
×
Women
Men
Accessories
Recursive Expressions
Search
Loading...
No suggestions found
Delicious blended whisky picks in India at price points under INR 1200
lifestyleasia.com
Royal Stag to Oaksmith: Whiskey under INR 900 for the best budget bar
lifestyleasia.com
Single malt scotches under INR 6000
lifestyleasia.com
Recursive Functions - Definition, Properties, Example C programs
eee.poriyaan.in
Quick Sort | Ujjwalit
ujjwalit.co.in
Tutorial - Understanding Recursion - Hoptop Online Judge
hpoj.cb.amrita.edu
Hashing Apples, Bananas and Cherries | Pascal Junod
crypto.junod.info
Algorithms: time complexity of recursive equations
gateoverflow.in
Tutorial - Understanding Recursion - Hoptop Online Judge
hpoj.cb.amrita.edu
Theory of Computation: Recursive Enumerable Language Doubt
gateoverflow.in
Theory of Computation: GateForum Test Series: Theory Of Computation ...
gateoverflow.in
Initiation of Transcription by RNA Polymerase - Understanding Gene ...
pressbooks.justwrite.in
Composite Functions: Properties, Definition & Examples | AESL
aakash.ac.in
Composite Functions: Properties, Definition & Examples | AESL
aakash.ac.in
Theory of Computation: Recursive language
gateoverflow.in
IXL - Write a formula for a recursive sequence (Class XI maths practice)
in.ixl.com
Tutorial > Tutorial 7: Use recursive placeholders
manuals.jam-software.com
Theory of Computation: Identify the class of Languages(Regular, DCFL ...
gateoverflow.in
Compiler Design notes pdf- 25 grammar is left recursive. Algorithm for ...
studocu.com
Introduction to Recursion
thejat.in
None
rapidcoders.in
Recursion in C++ - C++ Tutorial
sitesbay.com
Lab 6 CC - compiler - EXPERIMENT 6: AIM: WAP to Remove Left Recursion ...
studocu.com
Recursion In Java : Example
minigranth.in
Event Details
recursionnitd.in
Composite Functions: Properties, Definition & Examples | AESL
aakash.ac.in
CD6 - LEFT FACTORING AND ELIMINATION OF LEFT RECURSION - Exp no :- 6 ...
studocu.com
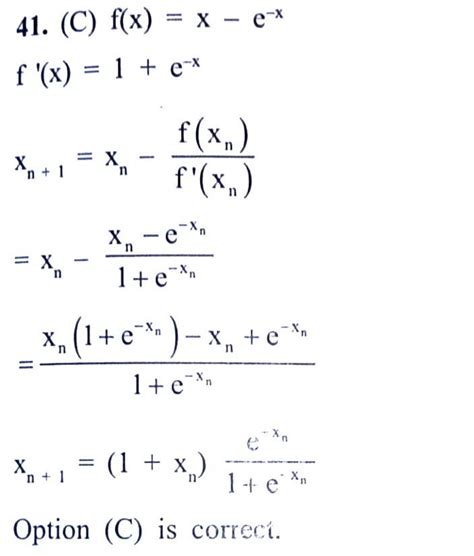
41. the recursion relation to solve x= e using newton-raphson's method ...
scoop.eduncle.com
Databases: Recursive relationship set
gateoverflow.in
Algorithms: ME-FST6:Recursive Function call and Callstack
gateoverflow.in
Bijective Function Properties & Examples | AESL
aakash.ac.in
Theory of Computation: Recursive language
gateoverflow.in
Recursive And Explicit Formulas Worksheet - Fill Online, Printable ...
pdffiller.com
Events
recursionnitd.in
Recursion in C in Hindi - C में रिकर्सन क्या है? और प्रकार - Tutorial ...
tutorialinhindi.com
Buy DNA and RNA Gene Expression Watercolor Art 8x10 Unframed Print Set ...
ubuy.co.in
Primitive-recursion-universality - 1 CSL705: Theory of Computation ...
studocu.com
A recursive rule for a geometric sequence is a1=8;an=3/4 an-1 - Brainly.in
brainly.in
Recursion in C in Hindi - C में रिकर्सन क्या है? और प्रकार - Tutorial ...
tutorialinhindi.com
Difference Between Recursion and Iteration - Difference Between ...
studocu.com
What Is Recursion in Programming? - Indianet- News
indianet.co.in
Events
recursionnitd.in
IXL - Find a recursive formula (Class XII maths practice)
in.ixl.com
Algorithms: recursive
gateoverflow.in
01-recursion - Recursion notes - The control of a large force is the ...
studocu.com
Types of RAG: An Overview. Retrieval Augmented Generation is the… | by ...
blog.jayanthk.in
Seventh Grade Recognizing Equivalent Expressions Worksheet
twinkl.co.in
Application of Baculovirus Expression Vector System (BEVS) in Vaccine ...
mdpi.com
Dsa - DSA - EXPERIMENT - 01 SORTING ALGORITHMS NON RECURSIVE INSERTION ...
studocu.com
Recursive Functions - Definition, Properties, Example C programs
eee.poriyaan.in
Recursive Functions - Syntax with Example C Programs
cse.poriyaan.in
Match the rate expressions in LIST-I for the decomposition of X with ...
allen.in
Question Bank - Problem-01: Find regular expression for the following ...
studocu.com
Recursive Functions - Definition, Properties, Example C programs
eee.poriyaan.in
Programming in C: Recursive function
gateoverflow.in
Daa Answersheet - 1)Write non recursive algorithm to find maximum ...
studocu.com
Differentiation Formula, Definition, Concept and Examples
careerpower.in
Theory of Computation: Turing machine and Recursive Language
gateoverflow.in
Anti-Inflammatory Neutrophil Functions in the Resolution of ...
mdpi.com
Theory of Computation: Toc Recursive and Recursive enumberable Language
gateoverflow.in
Theory of Computation: MadeEasy Subject Test: Theory of Computation ...
gateoverflow.in
Tower of Hanoi in Python: Recursive Solution & Code Example
ccbp.in
Events
recursionnitd.in
IXL - Find terms of a recursive sequence (Class XII maths practice)
in.ixl.com
Compiler Design: Remove Left recursion from context free grammer
gateoverflow.in
Theory of Computation: recursive language
gateoverflow.in
Which expression is equivalent to StartFraction (3 m Superscript ...
brainly.in
Bijective Function Properties & Examples | AESL
aakash.ac.in
Recursive Functions - Definition, Properties, Example C programs
eee.poriyaan.in
Interplanar spacing,simple crystal structure - 10 INTERPLANAR SPACING c ...
studocu.com
Python sample code for Range and Recursive function in python| S-Logix
slogix.in
Perfume Extract North Stag Expressions UN I
naazperfumes.com
Sujay's CL-CY-001 course work. | UVCE MARVEL
hub.uvcemarvel.in
Artificial Intelligence( Transition Network) - Artificial Intelligence ...
studocu.com
Ourtutorials - Python
ourtutorials.in
Events
recursionnitd.in
Combinatory: Recursive relation
gateoverflow.in
Recursive Functions - Syntax with Example C Programs
cse.poriyaan.in
50+ Expressions worksheets for 1st Class on Quizizz | Free & Printable
wayground.com
Programming in C: Recursive function
gateoverflow.in
Theory of Computation: Doubt in Turing Machines
gateoverflow.in
Modern Expressions Monogram Tumbler E | Walgreens
walgreens.com
Theory of Computation: Recursive languages.
gateoverflow.in
New Analytical Formulas for the Rank of Farey Fractions and Estimates ...
mdpi.com
Which is valid C expression? - Brainly.in
brainly.in
Find the equation of the straight line that is parallel to 2y-x = 7 and ...
brainly.in
Mind Maps for Relations and Functions Revision - Class 12, JEE
esaral.com
What is tail recursion and why is it useful? | Arjun's Blog
arjunaravind.in
Theory of Computation: General Topic Doubt Theory of Computation ...
gateoverflow.in
avatar
recursionnitd.in
Print Name n times using recursion
thejat.in
Advantages of using R statistical software for predictive modeling
projectguru.in
Programming in C: Which value of static variable is returned if it is ...
gateoverflow.in
Events
recursionnitd.in
Library Functions in C - Library Functions in C Library functions in C ...
studocu.com
Mammary Glands Function, Development, Types & Structure of Breast | AESL
aakash.ac.in
Compiler Design: Given a left recursive grammar. Whether LL(1) SLR(1)?
gateoverflow.in
Recursion Pharmaceuticals Office Photos
glassdoor.co.in
Australia Subclass 190 Vs 491 Visas - Find Out Which Visa Suits You Best!
kansaz.in
Buy Recursive Macroeconomic Theory 2e Book Online at Low Prices in ...
amazon.in
Automated Facial Expression Recognition Framework | S-Logix
slogix.in
Nikhil Vashistha
recursionnitd.in
PD-1/PD-L1 Pathway: A Therapeutic Target in CD30+ Large Cell Lymphomas
mdpi.com
Binary Search in Python - Algorithm, Implementation (Iterative and ...
rapidcoders.in
Introduction to Algorithm and Data Structures | As per SPPU syllabus
dse.cwipedia.in
Event Details
recursionnitd.in
Derive an expression for the total energy of a particle executing ...
brainly.in
Conversion of Finite Automata to Regular Expressions - Regular ...
cse.poriyaan.in
Pankaj Kumar
recursionnitd.in
Give expressions in the following cases: (a) 11 added to 2m - CBSE ...
ask.learncbse.in
Events
recursionnitd.in
Human Brain Diagram, Parts and Functions
careerpower.in
Mind Maps for Relations and Functions Revision - Class 12, JEE
esaral.com
On the Recursive Representation of the Permutation Flow Shop Scheduling ...
preprints.org
Recursive Ruin | Steam Game Key for PC | GamersGate
gamersgate.com
RECursion
recursionnitd.in
Get the algebraic expressions in the following cases using variables ...
ask.learncbse.in
United Nations General Assembly, President, Functions, Organs
studyiq.com
derive an expression for torque experienced by an electric dipole ...
brainly.in
expressions
web.iitd.ac.in
Related Searches
Recursive
Recursive Math
Recursive Function
Recursive Meaning
Recursive Equation
Define Recursive
Recursive Form
Recursive Definition
Recursive Sequence
Recursive CTE
Recursive Function Example
Recursive Sequence Formula
Recursive Problem Example
Recursive Rule Definition
Recursive Language
Recursive Method
Recursive Query
Recursive Data
Recursive Table
Recursive Descent Parser
Common Table Expression
Cacluation Trick of Recursive Expressions
Recursive Def
Recurssive Sequence
Recursive Descent Parsing
Recursive Structure
Recursive Linear Equation
Recursive Case
Recursive Formula Worksheet
Geometric Sequence Recursive Formula
Expression Computer Science
Regex Meaning
Recursive Acronym
What Is the Recursive Formula
Recurcive Function
Recursive Grammar Rule
Recursiveness
Recursion in Language
Recursive SQL
Recursive Formula 9th Grade
Recursive Function Calls
Lamda C
How to Write Recursive Formula
Recursively Meaning
Recursive Definition of Regular Expression
Create a Recursive Formula
Recursive Lambda
Recursive Expression Interpreter
Recursive Effect
Recursion Base Case
Search
×
Search
Loading...
No suggestions found