Find Your Style
Women
Men
Accessories
Search for clothing, brands, styles...
×
Women
Men
Accessories
Recursive Integration By Parts
Search
Loading...
No suggestions found
Brass Automobile Parts Products at price INR 0 in Jamnagar | Galaxy Metals
galaxybrass.in
Brass Energy Meter Parts Products at price INR 0 in Jamnagar | Galaxy ...
galaxybrass.in
Integration by Parts - Worked Examples, Exercise with Answers ...
mech.poriyaan.in
Integration by Parts - Worked Examples, Exercise with Answers ...
mech.poriyaan.in
Integration by Parts - Worked Examples, Exercise with Answers ...
mech.poriyaan.in
Integration by Parts - Worked Examples, Exercise with Answers ...
mech.poriyaan.in
Integration by Parts - Worked Examples, Exercise with Answers ...
mech.poriyaan.in
Integration by Parts - Worked Examples, Exercise with Answers ...
mech.poriyaan.in
Integration by Parts - Worked Examples, Exercise with Answers ...
mech.poriyaan.in
Integration by Parts - Worked Examples, Exercise with Answers ...
mech.poriyaan.in
Integration by Parts - Worked Examples, Exercise with Answers ...
mech.poriyaan.in
Integration by Parts - Worked Examples, Exercise with Answers ...
mech.poriyaan.in
Integration by Parts - Worked Examples, Exercise with Answers ...
mech.poriyaan.in
Integration by Parts - Worked Examples, Exercise with Answers ...
mech.poriyaan.in
Integration By Parts Video Lecture - Crash Course for JEE (English)
edurev.in
Integration by Parts - Worked Examples, Exercise with Answers ...
mech.poriyaan.in
Integration by Parts - Worked Examples, Exercise with Answers ...
mech.poriyaan.in
Integration by Parts
highermaths.in
Integration by Parts - Worked Examples, Exercise with Answers ...
mech.poriyaan.in
Integration - Methods, Definition & Substitution - Maths - Aakash | AESL
aakash.ac.in
Recursive Functions - Definition, Properties, Example C programs
eee.poriyaan.in
Introduction to Recursion
thejat.in
Virtual Labs
ds1-iiith.vlabs.ac.in
Integration by Parts - Worked Examples, Exercise with Answers ...
mech.poriyaan.in
Integration by Parts Formula, Examples & Rules - Maths - Aakash | AESL
aakash.ac.in
Integration by Parts - Worked Examples, Exercise with Answers ...
mech.poriyaan.in
Cambridge IGCSE® Mathematics | IGCSE MATHS | A-LEVEL MATHS | Page 3
igcsemaths.in
Integration by Parts - Worked Examples, Exercise with Answers ...
mech.poriyaan.in
Integration by Parts: Formula and Examples
allen.in
Integration by Parts - Worked Examples, Exercise with Answers ...
mech.poriyaan.in
Integration by Parts - Worked Examples, Exercise with Answers ...
mech.poriyaan.in
Integration by Parts - Worked Examples, Exercise with Answers ...
mech.poriyaan.in
Tutorial - Understanding Recursion - Hoptop Online Judge
hpoj.cb.amrita.edu
Integration by Parts - Worked Examples, Exercise with Answers ...
mech.poriyaan.in
difference between iterative and recursive dns query
slashroot.in
Integration by Parts - Worked Examples, Exercise with Answers ...
mech.poriyaan.in
All Integration Formulas PDF and Sheet for Class 12 Students
adda247.com
Integration by Parts - Worked Examples, Exercise with Answers ...
mech.poriyaan.in
Integration by Parts - Worked Examples, Exercise with Answers ...
mech.poriyaan.in
Integration by Parts - Worked Examples, Exercise with Answers ...
mech.poriyaan.in
Recursion In Java : Example
minigranth.in
Recursion in C | Recursive Function in C - C Tutorial
sitesbay.com
TOC Unit 5 - Recursive and recursively enumerable languages Recursive ...
studocu.com
Mind Maps For Definite Integration - Class 12, JEE (Main + Advanced)
esaral.com
Indefinite Integration : Integration by Parts | Class 12 Maths
esaral.com
SBS Integration by Parts - ticalc.org
ticalc.org
Integration by Parts: Formula and Examples
allen.in
Quick Sort | Ujjwalit
ujjwalit.co.in
difference between iterative and recursive dns query
slashroot.in
SBS Integration by Parts - ticalc.org
ticalc.org
Buzztutor Questions and Answers by Category
buzztutor.com
Introduction to Recursion
thejat.in
Steps To Remove Files or Directories Recursively in Linux
recoverit.wondershare.com
Difference Between Recursion and Iteration - Difference Between ...
studocu.com
Virtual Labs
ds1-iiith.vlabs.ac.in
Excel Template Spare Parts Inventory Management System (IMS) – Smart ...
smartofficetemplates.myshopify.com
Divide and Conquer Algorithm | Encyclopedia MDPI
encyclopedia.pub
Calculus: Functions and limits, squeeze theorem, differentiation, L ...
amazon.in
A-LEVEL MATHEMATICS (9709) – DIFFERENTIATION & INTEGRATION | Cambridge ...
igcsemaths.in
01-recursion - Recursion notes - The control of a large force is the ...
studocu.com
Recursion In Java : Output
minigranth.in
Compiler Design notes pdf- 25 grammar is left recursive. Algorithm for ...
studocu.com
Lecture - 6 Left Recursion - Theory of Automata & Computation Left ...
studocu.com
SBS Integration by Parts - ticalc.org
ticalc.org
Recursion: From the Bestselling Author of Dark Matter Comes an Exciting ...
amazon.in
What Is Recursion in Programming? - Indianet- News
indianet.co.in
Recursion in C in Hindi - C में रिकर्सन क्या है? और प्रकार - Tutorial ...
tutorialinhindi.com
Dsa - DSA - EXPERIMENT - 01 SORTING ALGORITHMS NON RECURSIVE INSERTION ...
studocu.com
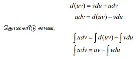
பகுதித் தொகையிடல் (Integration by parts) - எடுத்துக்காட்டு கணக்குகள் ...
brainkart.in
Lab 6 CC - compiler - EXPERIMENT 6: AIM: WAP to Remove Left Recursion ...
studocu.com
Recursion in C in Hindi - C में रिकर्सन क्या है? और प्रकार - Tutorial ...
tutorialinhindi.com
Car exterior body parts for sale in India | buy genuine car parts ...
partfinder.in
Mind Maps For Indefinite Integration - Class 12, JEE (Main + Advanced)
esaral.com
C program to find factorial using recursion and pointers - Brainly.in
brainly.in
Excel Template Spare Parts Inventory Management System (IMS) – Smart ...
smartofficetemplates.myshopify.com
Best Bike & Motorcycle Accessories | Helmets & Riding Gear
htrzmodz.com
Artificial Intelligence( Transition Network) - Artificial Intelligence ...
studocu.com
Panel Comp Side Sill, R/L
skhgroup.co.in
Tower of Hanoi recursion game algorithm explained
codeamy.in
Coding vs Math: Which Is Harder to Learn and Master?
akky.in
Reliable Farm Machinery Parts Suppliers and Manufacturers | InBizMart
inbizmart.com
Car exterior body parts for sale in India | buy genuine car parts ...
partfinder.in
Reliable Farm Machinery Parts Suppliers and Manufacturers | InBizMart
inbizmart.com
All Integration Formulas PDF & Sheet for Class 12 Students
adda247.com
Suresh Goel | Cambridge IGCSE® Mathematics
igcsemaths.in
An Attempt to Understand the Different Levels of Harden’s Ladder
jmsh.ac.in
Car exterior body parts for sale in India | buy genuine car parts ...
partfinder.in
Reliable Farm Machinery Parts Suppliers and Manufacturers | InBizMart
inbizmart.com
Reliable Farm Machinery Parts Suppliers and Manufacturers | InBizMart
inbizmart.com
How to calculate mechanical advantage?
gauthmath.com
Reliable Farm Machinery Parts Suppliers and Manufacturers | InBizMart
inbizmart.com
Integration of Tan x - Explanation, Formula, Proof, Examples
adda247.com
Reliable Farm Machinery Parts Suppliers and Manufacturers | InBizMart
inbizmart.com
Virtual Labs
ds1-iiith.vlabs.ac.in
Car exterior body parts for sale in India | buy genuine car parts ...
partfinder.in
Reliable Farm Machinery Parts Suppliers and Manufacturers | InBizMart
inbizmart.com
Recursion: From the Bestselling Author of Dark Matter Comes an Exciting ...
amazon.in
Car headlights for sale in India | buy genuine car parts online ...
partfinder.in
Reliable Farm Machinery Parts Suppliers and Manufacturers | InBizMart
inbizmart.com
what is the integration of dr by r square???????????????? - Brainly.in
brainly.in
Car exterior body parts for sale in India | buy genuine car parts ...
partfinder.in
How to Interpret a Correlation Coefficient r - India Dictionary
1investing.in
A piece of wire of resistance R is cut into three equal parts. These ...
iqclasses.in
Car spare parts online | second hand & new parts for sale | Partfinder ...
partfinder.in
Used Maruti Suzuki spare parts for sale in India | buy car parts online ...
partfinder.in
Steps To Remove Files or Directories Recursively in Linux
recoverit.wondershare.com
Car exterior body parts for sale in India | buy genuine car parts ...
partfinder.in
Used Maruti Suzuki spare parts for sale in India | buy car parts online ...
partfinder.in
Panel Side Sill, RH
skhgroup.co.in
Indian Rupee against US Dollar since 1947 - Insights
news.faltupana.in
Used Maruti Suzuki spare parts for sale in India | buy car parts online ...
partfinder.in
Lumax 072-RCU-INR- Tail Light Lamp Assembly Innova Type 2 Without Wire ...
partsbigboss.in
Car exterior body parts for sale in India | buy genuine car parts ...
partfinder.in
Car spare parts online | second hand & new parts for sale | Partfinder ...
partfinder.in
Car headlights for sale in India | buy genuine car parts online ...
partfinder.in
Buy Herman Miller Furniture & Office Chairs Online | Ubuy India at Best ...
ubuy.co.in
Buy Herman Miller Furniture & Office Chairs Online | Ubuy India at Best ...
ubuy.co.in
Heterogeneous and Monolithic 3D Integration Technology for Mixed-Signal ICs
mdpi.com
Car rear tail lights for sale in India | trusted car part sellers ...
partfinder.in
Integration Formula for Class 12th, Concepts and Examples
careerpower.in
Related Searches
Integration of Parts
Integration by Parts Definition
Integration by Parts Problems
Integration by Parts Calculator
Integration by Parts Practice Problems
Tabular Method Integration by Parts
Lipet Integration by Parts
Integration by Parts with Limits
Integral by Parts Example
Integration by Parts Calc
Product Rule Integration by Parts
Integration by Parts Examples and Solutions
By Parts Formula
Integration by Parts Di
Integration by Parts Worked Example
Integration by Parts Order
How to Do Integration by Parts
Repeated Integration by Parts
Integration by Parts Poster
Integration by Parts Strategy
Integration by Parts Simplified
Repeating Integration by Parts
Integration by Parts Multiple Times
Integration by Parts Easy
Integration by Parts Twice
Integration by Parts with Trig Functions
Integration of Xe X
Integration by Parts List
Integration by Parts PPQ
Integration by Parts Two Formula
Rapid Repeated Integration by Parts
Distinct Integration by Parts
By Part Twice Intergration
Differet Integration by Parts
Intergrstion by Parts
Reciprocal Integration
Intergration by Partts
Integrationo by Parts Formula
Integration by Parts Formula Shortcut
Integrationg by Parts Formula
What to Do with Repeating Integration by Parts
Repeating Integrstion by Parts
Integration by Parts in Real World
Calculus Repeating Integration by Parts
Recursive Integral
Why We Do Integration by Parts Twice
Integration by Parts Choosing
Integration by Recursion
Recursive Integration by Parts Definite Integral
Integral of U V
Search
×
Search
Loading...
No suggestions found