Find Your Style
Women
Men
Accessories
Search for clothing, brands, styles...
×
Women
Men
Accessories
Recursive Rule For Exponential Function
Search
Loading...
No suggestions found
View question - the recursive rule
web2.0calc.com
using the laws of exponents.simplify the following. Express the answer ...
brainly.in
Luis uses cubes to represent each term of a pattern based on a ...
brainly.in
please help asap Instructions:Drag the tiles to the correct boxes to ...
brainly.in
Recursive Functions - Definition, Properties, Example C programs
eee.poriyaan.in
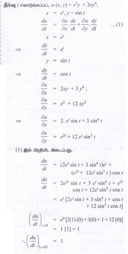
Vector Calculus - Chain Rule - Chain Rule Consider a function Ą ∶ ℝ 2 ℝ ...
studocu.com
Recursive Function Theory - Theory of Computation - Computer Science ...
edurev.in
A recursive rule for a geometric sequence is a1=8;an=3/4 an-1 - Brainly.in
brainly.in
Find the equation of the exponential function represented by the table ...
brainly.in
Tutorial - Understanding Recursion - Hoptop Online Judge
hpoj.cb.amrita.edu
write down all the Algebraic Identities and laws of exponents for class ...
brainly.in
Use the following recursive formula to answer the question. PLEASE ...
brainly.in
Find the value of normalization constant a for the wave function, )= axe\"?
scoop.eduncle.com
A recursive rule for a geometric sequence is a1=8;an=3/4 an-1 - Brainly.in
brainly.in
A recursive rule for a geometric sequence is a1=8;an=3/4 an-1 - Brainly.in
brainly.in
View question - The rule an=−2⋅3 n-1 is the explicit rule for a ...
web2.0calc.com
Recursive And Explicit Formulas Worksheet - Fill Online, Printable ...
pdffiller.com
Hashing Apples, Bananas and Cherries | Pascal Junod
crypto.junod.info
Tower of Hanoi (recursion) - with Example C Programs | Functions
cse.poriyaan.in
IXL - Write a formula for a recursive sequence (Class XI maths practice)
in.ixl.com
Factorial Program in C++ | Factorial program using recursion in C++
sitesbay.com
Show that the function f : R* → R* defined by f(x) = 1/x is one-one and ...
ask.learncbse.in
Python sample code for Range and Recursive function in python| S-Logix
slogix.in
Recursive Function to Convert Decimal to Hexadecimal - GATE - COMPUTER ...
edurev.in
View question - Convert recursive formula to an explicit formula
web2.0calc.com
Derivatives of Exponential and Logarithm Functions Video Lecture ...
edurev.in
all formula of exponent in maths . make a different table of ...
brainly.in
Lambda and Recursive functions in python | MY.NET Tutorials
msdotnet.co.in
Tutorial - Understanding Recursion - Hoptop Online Judge
hpoj.cb.amrita.edu
Incorporating Rheological Nonlinearity into Fractional Calculus ...
mdpi.com
50+ derivatives of exponential functions worksheets for 10th Class on ...
quizizz.com
Elimination OF LEFT Recursion - ELIMINATION OF LEFT RECURSION AND LEFT ...
studocu.com
View question - The explicit rule for a sequence is
web2.0calc.com
RA1811028010049-Compiler Design-Left Recusrion+Left Factoring ...
studocu.com
Python recursion function to find largest number in a list without ...
brainly.in
Tower of Hanoi recursion game algorithm explained
codeamy.in
Virtual Labs
ds1-iiith.vlabs.ac.in
Solved: Recall that a rook in chess attacks along rows and columns ...
gauthmath.com
Under ideal circumstances, a certain type of bacteria can triple every ...
brainly.in
பயிற்சி 8.6 : சார்பினது சார்பு விதி (Function of Function Rule ...
brainkart.in
பயிற்சி 8.6 : சார்பினது சார்பு விதி (Function of Function Rule ...
brainkart.in
பயிற்சி 8.6 : சார்பினது சார்பு விதி (Function of Function Rule ...
brainkart.in
claculate the mode...step by step - Brainly.in
brainly.in
All Integration Formulas PDF & Sheet for Class 12 Students
adda247.com
Simplify and express each of the following in exponential form ...
brainly.in
Why Do Tree Ensemble Approximators Not Outperform the Recursive-Rule ...
preprints.org
Simplify and express in exponential form: - Brainly.in
brainly.in
Recurssive functions Python - Recursive Function: It is a process in ...
studocu.com
Input/Output Machine Generator - Primary Resources - Twinkl
twinkl.co.in
பயிற்சி 8.6 : சார்பினது சார்பு விதி (Function of Function Rule ...
brainkart.in
Simplify and express each of the following in exponential form ...
brainly.in
Calculations
evalidate.in
Find Height of a Binary Tree using Recursive Function - Recursion ...
edurev.in
Insertion in Binary Search Tree (BST) using RECURSIVE FUNCTION (Working ...
edurev.in
[Expert Verified] what is the domain function of x/x2-3x+2 - Brainly.in
brainly.in
Simplify and express each of the following in the exponential form ...
brainly.in
Number Patterns | Differentiated Activities
twinkl.co.in
Why Do Tree Ensemble Approximators Not Outperform the Recursive-Rule ...
preprints.org
Luis uses cubes to represent each term of a pattern based on a ...
brainly.in
(1/3) ^-5 × (2/3) ^-2Simplify and write each of the following in ...
brainly.in
Quick Sort | Ujjwalit
ujjwalit.co.in
Buy Recursive Function Theory and Logic (Computer Science and Applied ...
amazon.in
Composite Functions: Properties, Definition & Examples | AESL
aakash.ac.in
Buy The Inverse Laplace Transform of an Exponential Function Book ...
amazon.in
Computability: An Introduction to Recursive Function Theory eBook ...
amazon.in
6 2 4 Practice Modeling Exponential Functions - Fill Online, Printable ...
pdffiller.com
Important Formulas: Functions With Examples - Mathematics (Maths) Class ...
edurev.in
x²–3√6x+12=0,Solve the given equation using the general formula ...
brainly.in
Value at Risk - India Dictionary
1investing.in
Matching Objects with their functions - Activity Sheet
twinkl.co.in
I’m embarrassed to ask this question but I’m comforted that no on at ...
glassdoor.co.in
Displaying Master-Detail Data
docs.oracle.com
Airthmatic - Lecture notes 1-4 - 92 Turing Machine and Recursive ...
studocu.com
1. Write an exponential function to represent the spread of Ben's ...
brainly.in
50+ product rule worksheets for 10th Class on Quizizz | Free & Printable
quizizz.com
Synthesis and Porous Structure Characteristics of Allyl Methacrylate ...
mdpi.com
Find the value of normalization constant a for the wave function, )= axe\"?
scoop.eduncle.com
Synthesis and Porous Structure Characteristics of Allyl Methacrylate ...
mdpi.com
prepare a chart for prime factorization and exponential form of some ...
brainly.in
A function f: R→R defined as f(x) = x2-4x+5 is: (A) injective but not ...
iqclasses.in
Draw radial probability distribution curves for 3s and 4d orbitals ...
brainly.in
50+ Transformations worksheets for Kindergarten on Quizizz | Free ...
wayground.com
A FUNCTION IS A RULE THAT ASSIGNS TO EACH INPUT EXACTLY ONE OUTPUT ...
treehut.in
Synthesis and Porous Structure Characteristics of Allyl Methacrylate ...
mdpi.com
108 × 192 as a product of prime factors in the exponential form ...
brainly.in
Solved: The table gives the volume of cylinders where the height Which ...
gauthmath.com
prove that cos20.cos40.cos80=1/8 - Brainly.in
brainly.in
A FUNCTION IS A RULE THAT ASSIGNS TO EACH INPUT EXACTLY Grade 8 Math ...
treehut.in
state true or false the exponential form of 64 is 2* - Brainly.in
brainly.in
Buy Liberty Imports RC Ford F-350 Super Duty Toy Pickup Truck, Full ...
desertcart.in
A FUNCTION IS A RULE THAT ASSIGNS TO EACH INPUT EXACTLY Math Grade 8 ...
treehut.in
Value at Risk - India Dictionary
1investing.in
Exponential Organizations 2.0: The New Playbook for 10x Growth and ...
amazon.in
Important Logarithms Formulas for JEE and NEET
edurev.in
10 of the most Iconic buildings of modern architecture | Architectural ...
architecturaldigest.in
cos jeans mens
bhaderwahcampus.in
Mohit Batra: Want to create exponential 10x wealth for your future ...
economictimes.indiatimes.com
Value at Risk - India Dictionary
1investing.in
A company makes and sells charm bracelets. The cost of producing x ...
brainly.in
Buy Toshiba800w 20L Microwave Oven with Function Defrost and 5 Power ...
desertcart.in
simplify and express in exponential form 108 × 25²/ 2⁶ x 5² - Brainly.in
brainly.in
In the given circuit , calculate total effective resistance in fig.A ...
brainly.in
Solved: Students who completed a class participated in a year-long ...
gauthmath.com
Maruti dealers and showrooms in Ahmedabad | Kiran Maruti
kiranmotors.co.in
Virtual Labs
nm-integration-iitb.vlabs.ac.in
Pls help me answer this mathematical question brothers and sisters ...
brainly.in
A Spatially Detailed Projection of Environmental Conditions in the ...
mdpi.com
Winning Talent with the Exponential Power of EX — People Matters ...
peoplematters.digital
Maruti Wagon R Price, Specs, Images, Colours & Reviews
autovista.in
A Causal Framework for Making Individualized Treatment Decisions in ...
mdpi.com
How to use Array reduce() Method in JavaScript with Example
encodedna.com
R&S®NGSM32/10, NGSM 60/5 Programmable DC Power Supply with arbitrary ...
pdf.directindustry.com
Anti-Inflammatory Neutrophil Functions in the Resolution of ...
mdpi.com
Buy Half Saree Sign as Half Saree Welcome Boards, Half Saree Ceremony ...
etsy.com
President's Rule in India, Article 356, Grounds of Declaration
studyiq.com
How to Use the Print Screen Key to Take a Screenshot in Microsoft ...
dell.com
factories by using middle term splitting (a) 4y square -12 y + 9 (b) x ...
brainly.in
50+ Unique Annual Day Invitation Ideas for Your Event
tring.co.in
Theory of Computation: Doubt in Turing Machines
gateoverflow.in
Fleming's Left and Right Hand Rules Explained: Principles and Applications
sssi.in
Related Searches
Exponent to Radical Form
Exponential and Radical Form
Expression in Exponential Form
Convert Radical to Exponential Form
Equivalent Exponential Form
Write Each Expression in Exponential Form
How to Convert Radical to Exponential Form
Radical Form vs Exponential Form
Writing Radicals in Exponential Form
Exponential Equation Form
Simplify Radical Form
Converting From Exponential to Radical Form
Simplifying Radicals with Exponents
Understanding Exponential to Radical Form
Rewrite in Exponential Form
Radicals and Rational Exponents
Radical Form Given Exponential Form
Radical Expression to Exponential Form and Vice Versa
What Is Simplified Radical Form
Square Root in Exponent Form
Radical to Exponential Form Formula
Exponential Form Algebra
Exponets to Radicals
Write the Exponential Expression Using Radicals
Radical Form Algebra 2
Write a Radical Expression in Exponential Form with Parentheses
Radical Form Calculator
Radical to Fractional Exponent
How to Transform Radical to Exponential Form
Exponential Form Example
Conversion From Exponential Form to Radical Form
Exponiential Expression vs Radical Expression
Writing Expressions in Exponential Form
Radical to Exponential Form 3 Radical 3
Exponential Form of Numbers
Radical Form Math
20 in Exponential Form
How to Change From Radical Form to Exponential Form
Radical Form Fraction
Simplest Radical Form
Radical and Exponential Form Steps
Simplifying Radicals with Variables
Radicals and Rational Exponents Worksheet
Write Expression in Radical Form with a Negative
Exponential Properties
Writinf Radical into Expotential Form
How to Answer Radical Form of Exponential Functions
Exponential Form to Radical Form Template Sped
How to Cahnge Exponential Form to Radical Form
Writing a Radical as a Exponential Expression
Search
×
Search
Loading...
No suggestions found