Find Your Style
Women
Men
Accessories
Search for clothing, brands, styles...
×
Women
Men
Accessories
Register Reference Instruction In Coa
Search
Loading...
No suggestions found
Register Reference Instructions - REGISTER REFERENCE INSTRUCTIONS This ...
studocu.com
Basic Computer Instructions - Computer Architecture and Organisation ...
edurev.in
COA Study Materials-8 - 2–20 B (CS/IT-Sem-3) Arithmetic and Logic Unit ...
studocu.com
COA UNIT 3 - CPU Architecture, Data Representation, and Instruction ...
studocu.com
COA Unit 3 Notes: Registers and Instruction Cycle Overview - Studocu
studocu.com
Register Reference Instructions - Computer Architecture & Organisation ...
studocu.com
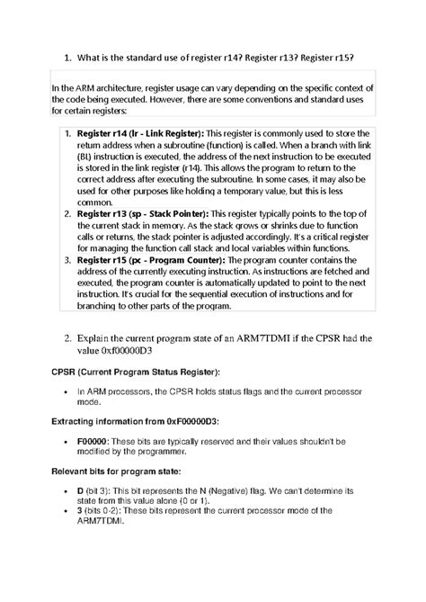
COA assignmentpdf - .... - 1. What is the standard use of register r14 ...
studocu.com
COA Notes UNIT-3 - Instruction Types Unit-III Control Unit The basic ...
studocu.com
Numerical UNIT-1 COA: Register Transfer and Multiplexer Solutions - Studocu
studocu.com
Ourtutorials
ourtutorials.in
5. Unit 3 - notes on coa - Unit 3 Registers Data Registers AX ...
studocu.com
COA-Mod-2 - COA module 2 note - Module: 2 REGISTER TRANSFER LOGIC ...
studocu.com
Instruction Formats: Register Reference Explained - GATE Digital ...
edurev.in
COA-Mod-2 - notes - Module 2 Register transfer logic: inter register ...
studocu.com
COA UNIT 3 Notes - UNIT - 3 Instruction Formats (Zero, One, Two and ...
studocu.com
COA UNIT 3: Instruction Formats and CPU Organization Notes - Studocu
studocu.com
COA Notes for Unit-3: Instruction Types and Control Units - Studocu
studocu.com
COA Lecture Notes: Understanding the Instruction Cycle and CPU ...
studocu.com
COA UNIT 3 Notes - COA UNIT 3 - UNIT - III Central Processing Unit ...
studocu.com
Ourtutorials
ourtutorials.in
COA QB - Unit – 2 5 Marks 1 computer. 2 program counter and instruction ...
studocu.com
UNIT 4 COA UG - Lecture Notes on CPU Register Organization - Studocu
studocu.com
COA Instruction - Computer Organization And Architectures - Studocu
studocu.com
COA - Unit 1 - 12 mark - Refer - PART-C (12 Marks) 1. Explain ...
studocu.com
M5 - COA - MODULE 5: BASIC PROCESSING UNIT SOME FUNDAMENTAL CONCEPTS To ...
studocu.com
Ourtutorials
ourtutorials.in
Coa solution 1 - An instruction is stored at location 300 with its ...
studocu.com
Step-by-Step COA Registration Process To Become Architect in India
novatr.com
COA UNIT-3 Notes: Stack Organization and Instruction Formats - Studocu
studocu.com
Differentiate MRI and Non-MRI instructions - Brainly.in
brainly.in
COA Notes UNIT-3 - Instruction Types Unit-III Control Unit The basic ...
studocu.com
Coa 1 - R22 - 9 UNIT – I Objective: To familiarize with organizational ...
studocu.com
COA 3rd unit-Notes - Computer Organization & Architecture 3 rd Unit ...
studocu.com
coa unit 5 full - UNIT-V Reduced Instruction Set Computer: CISC ...
studocu.com
Assembly - coa - The 80x86 family instruction set Data transfer : MOV ...
studocu.com
Instruction Formats for Basic Computer: 3.1 Overview and Details - Studocu
studocu.com
Council of Architecture
coa.gov.in
COA-UNIT-II - NOTES on COA - 1 COA UNIT-II Explain about control Unit ...
studocu.com
Instruction execution cycle - Computer Instructions Computer ...
studocu.com
COA-Mod-2 - notes - Module 2 Register transfer logic: inter register ...
studocu.com
COA Unit 3 - Control Unit and Instruction Types Notes - Studocu
studocu.com
Unit-1 V Sem CSE (A & B)-COA - UNIT-1 (REGISTER TRANSFER AND MICRO ...
studocu.com
COA Module 2 - Syllabus Register Transfer language, Register Transfer ...
studocu.com
Unit 3 - unit 3 notes for coa ipu - Unit 3 Register: A processor ...
studocu.com
Control Memory - Computer Organization and Architecture | EduRev Notes
edurev.in
Unit 3 coa - Pradeep Yadav - Architecture Unit 3 CONTROL UNIT ...
studocu.com
Computer Organization and Architecture(COA)-Basic Structure of ...
studocu.com
COA-Mod-2 - notes - Module 2 Register transfer logic: inter register ...
studocu.com
Pharmaceutical Secondary Standards
merckmillipore.com
COA UNIT 3 Notes - UNIT - 3 Instruction Formats (Zero, One, Two and ...
studocu.com
Council of Architecture
coa.gov.in
COA UNIT 3 Notes - UNIT - 3 Instruction Formats (Zero, One, Two and ...
studocu.com
COA-Mod-2 - MODULE 2 COA NOTES - Module: 2 REGISTER TRANSFER LOGIC ...
studocu.com
COA-2nd Unit - Computer Architecture - II-Unit Notes Prepared By ...
studocu.com
Coa - 1 Immediate: •In this type of addressing, immediate data is a ...
studocu.com
COA-Unit-III: CPU Overview, Stack Organization, and Instruction Formats ...
studocu.com
COA - Register Transfer Language and Microoperations Notes - Studocu
studocu.com
Register Reference Instructions - Computer Architecture & Organisation ...
studocu.com
COA UNIT 3 Notes - COA UNIT 3 - UNIT - III Central Processing Unit ...
studocu.com
Computer Organization and Architecture(COA)-Computer Instructions and ...
studocu.com
Coa - very useful - 1. Explain the Register Transfer Language ...
studocu.com
Council of Architecture
coa.gov.in
COA-Mod-2 - notes - Module 2 Register transfer logic: inter register ...
studocu.com
COA-Mod-2 - notes - Module 2 Register transfer logic: inter register ...
studocu.com
COA Module 2 - Syllabus Register Transfer language, Register Transfer ...
studocu.com
COA UNIT 5 PART A - Artifical intelligence and data science (B-Tech ...
studocu.com
The content of AC in the basic computer is hexadecimal A937 and the ...
brainly.in
COA UNIT 3 Notes - COA UNIT 3 - UNIT - III Central Processing Unit ...
studocu.com
draw the block diagram of accumulator based CPU and explain the ...
brainly.in
Ourtutorials
ourtutorials.in
Council of Architecture
coa.gov.in
COA Mod 2 - Instruction Set Architecture (ISA) Notes - Studocu
studocu.com
COA Question Bank: Instruction Execution, DMA, and I/O Interfaces Notes ...
studocu.com
Unit 5 - Processor organization: General register organization stack ...
studocu.com
Council of Architecture
coa.gov.in
COA UNIT 3 Notes - COA UNIT 3 - UNIT - III Central Processing Unit ...
studocu.com
Chapter No 2 COA - advance computer architecture - 2 Hardware ...
studocu.com
Instruction Execution - Processor - Digital Principles and Computer ...
cse.poriyaan.in
COA Module 2 - Module Number: 2 Sub Module Number – 2. Module Name ...
studocu.com
COA UNIT 2 - Design of control unit: Hardwired control unit 2. To ...
studocu.com
Basic Computer Organization - HPTU Exam Helper
hptuexamhelper.in
COA UNIT 2 - Design of control unit: Hardwired control unit 2. To ...
studocu.com
Basic Computer Organization - HPTU Exam Helper
hptuexamhelper.in
Lecture 3 - Privileged and Non-Privileged Instructions:In any Operating ...
studocu.com
COA:- Micro programmed control unit size - GATE Overflow
gateoverflow.in
COA UNIT 3 Notes - COA UNIT 3 - UNIT - III Central Processing Unit ...
studocu.com
COA UNIT 2 - Design of control unit: Hardwired control unit 2. To ...
studocu.com
Login | e-COA
ecoa.in
Council of Architecture
coa.gov.in
Instruction sets ch2 - 2nd chapter COA 3rd semester - Computer ...
studocu.com
Council of Architecture
coa.gov.in
M2 COA - COA ALL Module - MODULE- Instruction codes:- A computer ...
studocu.com
Council of Architecture
coa.gov.in
COA UNIT 3 Notes - UNIT - 3 Instruction Formats (Zero, One, Two and ...
studocu.com
Virtual Lab for Computer Organisation and Architecture
cse.iitkgp.ac.in
Coa notes - Register Transfer Language (RTL) Definition: RTL is a ...
studocu.com
M2-COA - MODULE 2 REGISTER TRANSFER LOGIC The term register transfer ...
studocu.com
COA Unit-3 Lecture Notes on Computer Organization Instructions - Studocu
studocu.com
COA-Mod-2 - notes - Module 2 Register transfer logic: inter register ...
studocu.com
Council of Architecture
coa.gov.in
UNIT-3 - coa notes unit 3 - UNIT- Instruction Representation Within the ...
studocu.com
Council of Architecture
coa.gov.in
COA Mod 2 - Instruction Set Architecture (ISA) Notes - Studocu
studocu.com
COA - Unit 1 - 12 mark - Refer - PART-C (12 Marks) 1. Explain ...
studocu.com
Coa notes - Register Transfer Language (RTL) Definition: RTL is a ...
studocu.com
COA UNIT 3 Notes - UNIT - 3 Instruction Formats (Zero, One, Two and ...
studocu.com
COA UNIT 3 Notes - UNIT - 3 Instruction Formats (Zero, One, Two and ...
studocu.com
GST Registration Process for Partnership firms
taxguru.in
COA UNIT 3 Notes - COA UNIT 3 - UNIT - III Central Processing Unit ...
studocu.com
Instruction Cycle in COA Explained | CS Primer
csprimer.in
Register - Lecture notes 1-7 - UNIT- 1. Instruction Formats One address ...
studocu.com
COA Notes UNIT-3 - Instruction Types Unit-III Control Unit The basic ...
studocu.com
COA UNIT 3 Notes - UNIT - 3 Instruction Formats (Zero, One, Two and ...
studocu.com
COA e-Notes PDF All-Units (Darshan) [Vision Papers - 1. Explain the ...
studocu.com
Council of Architecture
coa.gov.in
COA - Unit 1 - 12 mark - Refer - PART-C (12 Marks) 1. Explain ...
studocu.com
COA Unit-1(Bus, Register, Processor Organization) - B.tech CSE - Studocu
studocu.com
COA Notes UNIT-3 - Instruction Types Unit-III Control Unit The basic ...
studocu.com
COA e-Notes PDF All-Units (Darshan) [Vision Papers - 1. Explain the ...
studocu.com
COA UNIT 3 Notes - UNIT - 3 Instruction Formats (Zero, One, Two and ...
studocu.com
Related Searches
Register Reference Instruction
Register Reference in COA
Explain Register Reference Instruction
Memory Reference Instructions in COA
Site Instruction. Register
General Register Organization in COA
Micro Instruction Format in COA
Instruction Code in COA
General Register Organization in COA Diagram
Non Memory Reference Instruction
Basic Instruction Types in COA
3 Type of Instruction in COA
Memory Refrence Instruction in COA
Register Structure in COA
Instruction Register for Construction Work
Store Register in COA
Next Instruction Reference
Instruction. Register Ir
Register Transfer in COA
Instruction Cycle in COA Vo
Flowchart for Memory Reference Instruction
Size of Instruction Register
Reference for Register in Q&A
Planning. Register Reference
5 Instruction with Example in COA
Special Register Function in COA
Input/Output Instruction in COA Table
CBS Using Register in COA
Memory Referenced Register Reference Input/Output Reference Instruction
Spa If Positive Register Reference Instructions
Direct Instruction Format in COA
Basic Concept of Instruction in COA
Register Transfer Language in COA
Register Reference vs Memory Reference Instruction Set
Register Stack in COA
List Out Register Reference Instructions in Computer Architecture in Detail
Mention the Purpose of Register in COA
Memory Referenced Instruction in COA by Morris Mano
Memory Instruction Set of COA Morris Menu
Register Organisation in COA 4Dragram
Cir Current Instruction. Register
Contract Instruction. Register Cemar
Instruction Set Completeness in COA
Diagram of Register Transfer Level in COA
Skip If Positive Register Reference Instruction Morris Mano
Address in Instruction Format COA
End Diagram of a Current Instruction. Register
Hlt Code Computer Organization Archirecture Register Reference Instruction Table
Common Fields in an Instruction Word COA
Register Bus Transfer COA
Search
×
Search
Loading...
No suggestions found