Find Your Style
Women
Men
Accessories
Search for clothing, brands, styles...
×
Women
Men
Accessories
Relative Dating Exercise Answers
Search
Loading...
No suggestions found
Geology | Encyclopedia MDPI
encyclopedia.pub
50+ Long E/Short E worksheets for 7th Class on Quizizz | Free & Printable
quizizz.com
relative dating worksheet pdf Doc Template | pdfFiller
pdffiller.com
Relative Pronoun: Definition and Examples, Exercise
adda247.com
Relative Clauses Quiz for 6th-8th Grade
twinkl.co.in
50+ Relative Pronouns worksheets on Quizizz | Free & Printable
wayground.com
Relative Pronouns: Definition, Uses, Examples, Exercises
adda247.com
Relative Clauses KS2 Game | Primary Resources (teacher made)
twinkl.co.in
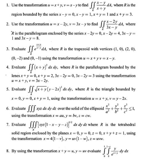
Double Integration - Worked Examples, Exercise with Answers
mech.poriyaan.in
50+ Synonyms and Antonyms worksheets for 8th Class on Quizizz | Free ...
wayground.com
CARBON DATING -UPSC Current Affairs - IAS GYAN
iasgyan.in
Chomp Chomp Grammar - Fill Online, Printable, Fillable, Blank | pdfFiller
pdffiller.com
Fill in the blanks with suitable relative pronouns in the following ...
brainly.in
What is RSI? - Relative Strength Index Indicator
truedata.in
Preposition exercises answer key - SIUC Writing Center PREPOSITION ...
studocu.com
class - 6 english grammar gear ls - 11 verbs transitive and ...
brainly.in
Q) Choose the correct relative pronoun to complete the relative clause ...
brainly.in
Change of Variables in Double and Triple Integrals - Worked Examples ...
mech.poriyaan.in
Relative Positions of Shapes Poster
twinkl.co.in
Questions & Answers for the Verses Absolute & Relative: Buy Questions ...
flipkart.com
The two-way frequency table below shows data on guess and true status ...
gauthmath.com
PartyStuff Baby Shower Relative Answer Word Answers Theme Paper Kitty ...
amazon.in
Ecce Romani Exercise Answers - Fill and Sign Printable Template Online
uslegalforms.com
mg university fine tune your english text exercises answers - Brainly.in
brainly.in
Class 10 part A - Touchpad Information Technology-X OpenOffice (Answer ...
studocu.com
Subject Verb Agreement Worksheets With Answers Pdf - Fill Online ...
pdffiller.com
The relative locations of a swing set, a garden, and a sandbox in Gina ...
gauthmath.com
What are Relative URLs? How To Detect Them and use in website SEO
sitechecker.pro
Tenses Worksheet For Class 7 With Answers Pdf - Fill Online, Printable ...
pdffiller.com
Relative Velocity Class 11 - IIT JEE | NEET
esaral.com
Differentiate between relative, absolute and mixed references? - Brainly.in
brainly.in
please give some exercise of active and passive voice with answers ...
brainly.in
NCERT Solutions for Class 10 Maths chapter 7 Exercise 7.1 - Coordinate ...
esaral.com
NCERT Solutions for Class 10 Maths chapter 1 Exercise 1.1 - Real Numbers
esaral.com
Buy White Privilege in Transition Book Online at Low Prices in India ...
amazon.in
Fillable Online WORKSHEET 1: Writing an email - Macmillan Fax Email ...
pdffiller.com
Student Exploration Relative Humidity - Fill and Sign Printable ...
uslegalforms.com
Solved: CRYPTIC QUIZ 1. Why did the little girl paint spots on the ...
gauthmath.com
Power BI Assignment - Power BI Assignment Day- 1 What are the various ...
studocu.com
Exercises To Improve Athleticism - Fitness & Workouts
in.askmen.com
Choosing The Right Exercise For You - Fitness & Workouts
in.askmen.com
We asked men how they feel about dating, sex, and porn in 2023. The ...
gqindia.com
Bungbee Answer Sheets for Exam practice CBSE ICSE DU - 200 Ruled Pages ...
amazon.in
Everything you need to know about dating : Get all the answers to all ...
amazon.in
Construct index number by the simple average of price relative method ...
ask.learncbse.in
Identify active and passive voice exercises with answers - Brainly.in
brainly.in
Lösungen zum Übungsbuch Netzwerk neu A (Kapitel 7-12) - Studocu
studocu.com
SAZ DEKOR® 2x2 Pieces Under Eyelash Stamper Reusable Beauty for Girl ...
amazon.in
Buy Answers to Even-Numbered Exercises (Intermediate Statistics: a ...
amazon.in
5 Exercises That Boost Libido And Enhance Your Sex Life - Sexual Health
in.askmen.com
**SEM 3 C++ VIVA Questions and Answers Overview** - Studocu
studocu.com
Synonyms Exercise with Correct Answers and Explanation
inspirontechnologies.co.in
Pedal Your Cardio Routine To Another Level With These Cycling Workouts ...
in.askmen.com
Navneet Youva | Exercise Answer Book Marathi | 22x28 cm| Single Line ...
amazon.in
'Hello' in Portuguese - Portuguese Greeting Worksheet
twinkl.co.in
Wisdom Paves the Way: Class 8 NCERT | Full Summary & All Solved ...
englishnotes.in
Relative Response Factor (RRF) and its Calculation in HPLC Analysis
qcqa.industrialguide.co.in
Cambridge Mathematics Core & Extended Workbook Answer Key - Studocu
studocu.com
Lunges To Arm Circles: A Comprehensive Stretching Routine That Will ...
in.askmen.com
Wait - Does Exercise Order Actually Matter? - Fitness & Workouts
in.askmen.com
Two adjacent sides of a parallelogram measure 5cm and 3.5cm. One of its ...
brainly.in
Geography Class 10 Chapter 1 Question Answer- Check Resources and ...
adda247.com
Is This Popular Couples Therapy App Worth Your Money? - Dating Tips
in.askmen.com
7 Things Only Those Who Just Started Going To The Gym Experience And ...
mensxp.com
Viva ADA QUESTIONS - DAA LAB VIVA QUESTIONS SET I 1. What is an ...
studocu.com
Electromagnetic Induction: AC & Transformers - SL Arora Class 12 - Studocu
studocu.com
12வது புவியியல் (12th Geography) Study Materials | 12 ஆம் வகுப்பு (12th ...
brainkart.in
The Only 7 Compound Exercises You Need As Per Body Transformation ...
in.askmen.com
mg university fine tune your english text exercises answers - Brainly.in
brainly.in
English - FINE - TUNE YOUR English 2019 - QP CODE: 19103105 Reg No
studocu.com
6 Exercises You Must Do Daily To Correct Flat Feet - Fitness & Workouts
in.askmen.com
ICD 10 CM MOCK TEST - Practice Questions and Answers - Studocu
studocu.com
Spotting Errors Exercise with Correct Answers and Explanation
inspirontechnologies.co.in
8 Fat-Burning Crawling Exercises That Crush Your Core - Fitness & Workouts
in.askmen.com
Differentiate between: Relative humidity and Absolute humidity
philoid.in
Reading Comprehension Exercise with Questions and Answers ( Kinder ...
amazon.in
ENRICHMENT EXERCISES (Sub 1. Answer the following questions in brief. a ...
brainly.in
applied exercise physiologist Interview Questions and Answers ...
hellointern.in
6 Effective Exercises That Tone Your Inner Thighs - Fitness & Workouts
in.askmen.com
Foundations of Sport and Exercise Psychology : Weinberg, Robert, Gould ...
amazon.in
Bodyweight Trainer Tom Merrick Suggests 5 Stretching Exercises You ...
in.askmen.com
5 Exercises That Improve Core Strength and Balance Ft. Milind Soman ...
in.askmen.com
Exercises To Quickly Pack On Muscle Mass - Fitness & Workouts
in.askmen.com
8 Gymnastics Stretching Exercises That Will Improve Your Flexibility ...
in.askmen.com
Exercise Tweaks - Fitness & Workouts
in.askmen.com
Running vs Walking: Which Is The 'Better' Exercise? - Fitness & Workouts
in.askmen.com
15 Must-Do Kettlebell Exercises By Strength Coach Chris Wilson ...
in.askmen.com
Exercises To Avoid If You Have Irritable Bowel Syndrome | OnlyMyHealth
onlymyhealth.com
Healthy Workout Habits - Fitness & Workouts
in.askmen.com
8 Equipment-Free Exercises To Burn Fat And Lose Weight Fast - Fitness ...
in.askmen.com
Is BLACKPINK member Lisa dating TAG Heuer CEO, Frederic Arnault? Here ...
indiatoday.in
Unit I: Screening, Diagnosis & Assessment
specialeducationnotes.co.in
150+ Antonyms Questions - Exercise To Solve - Edu Hyme
eduhyme.com
Buy Beginning Autocad(r) 2024 Exercise Workbook Book Online at Low ...
amazon.in
You Need To Swap Back Squats For These Variations ASAP - Fitness & Workouts
in.askmen.com
6 Exercises That Will Help Build Your Stamina - Fitness & Workouts
in.askmen.com
8 Super-Effective Upper Body Ring Exercises By Daniel Vadnal - Fitness ...
in.askmen.com
Subject Verb Object Exercises With Answers PDF | Primary
twinkl.co.in
5 Fat-Burning Exercises That'll Help You Lose Weight (And You Can Do In ...
in.askmen.com
Buy STAR BUILDERS Periodic Table of Elements - Remarkable Poster in ...
desertcart.in
6 Simple Exercises To Eliminate Body Stiffness - Fitness & Workouts
in.askmen.com
Best Exercises To Get Rid Of Man Boobs - Fitness & Workouts
in.askmen.com
Real Love: Answers to Your Questions on Dating, Marriage and the Real ...
amazon.in
Kegel Exercises For Men - Sex and Dating
in.askmen.com
18 Printable Exercise Chart Pdf Forms and Templates - Fillable Samples ...
pdffiller.com
Fine Tune Your English - Answers (Ch. 47-65) - SECTION G TENSE AND ...
studocu.com
17 JANUARY 2023 DAILY DEFENCE EXAM CURRENT AFFAIRS | UPSC CDS CAPF NDA ...
nationaldefenceinstitute.in
7 Back Exercises You Can Easily Do At Home - Fitness & Workouts
in.askmen.com
Benefits of Exercise Poster - Display Posters - KS2
twinkl.co.in
History Grade 9 Term 3 | Apartheid in South Africa | Twinkl
twinkl.co.in
6 Ab Exercises You Can Do In Bed - Fitness & Workouts
in.askmen.com
Bodyweight Trainer Tom Merrick Suggests 5 Stretching Exercises You ...
in.askmen.com
Get Flat Abs With Stomach Vacuum Exercise, Know How To Do It | OnlyMyHealth
onlymyhealth.com
7 Effective Exercises To Relieve Leg Pain - Fitness & Workouts
in.askmen.com
7 Reasons Why Isometric Exercises Should Be A Part Of Your Fitness ...
in.askmen.com
9 Exercises That Will Make You Look Great When You're Naked - Health ...
in.askmen.com
Best Strongman Exercises - Fitness & Workouts
in.askmen.com
7 Weighted Exercises For Super Strong Shoulders - Fitness & Workouts
in.askmen.com
Girls Quiz Book: 500 Questions and Answers about Dating, Setting ...
amazon.in
8 Effective Exercises From Bodyweight Trainer Adam Frater’s At-Home Ab ...
in.askmen.com
Related Searches
Relative Dating Worksheet Answers
Relative Age Dating
Relative Dating Geology
Relative Dating Diagram
Relative Dating Answer Key
Fossils and Relative Dating Worksheet
Laws of Relative Dating
Relative Dating Definition
Relative Dating Science
Relative Dating Principles
Superposition Relative Dating
Relative Dating Diagrams and Answers
Relative Dating Activity
Relative Dating Examples
Relative Dating Worksheet Answers PDF
Relative Dating Practice Worksheet Answers
Relative Dating Graph
Relative Dating Chart
Relative Dating Answer Sheet
Relative Dating Lab
Relative Dating Questions
Relative Age Dating Rock Layers
Relative Dating Biology
Relative Geologic Dating Principles
Relative Dating Problems
Relative and Absolute Dating
Relative Dating Cross Section
Relative Dating Exercises
Radioactive Dating Worksheet Answers
Relative Dating Practice Worksheets
Relative Dating Reinforcement Worksheet Answers
Relative Dating Worksheet Last Page
Realitive Dating Assignment Answers
Relative Dating and Unconformities Worksheet Answers
Relative Dating Exam Questions
Relative Dating Worksheet SW Science 10 Unit 6 Answers
Relative Dating Word Search Answer Key
Relative Time Dating Is One Way
Answers for Relative Dating Experiment 1 On Cloud Computing
Relative Dating Unconformites Procedure Part A Answers
Relative Dating Diagram 3 Answer Key
Relative Dating Work Sheets and Key
Relative Datingf
Relative Dating Graphic Exercise Labeled
Relative and Asbolute Dating Answwer Key Crossword Puzzle
Relative Dating Practice Problems with Ket
Relative Dating Worksheet Dysart 8th Grade
Relative Dating Worksheet Determine Age Answer Key
Relative Dating Worksheet with Multiple Planes
Absolute and Relative Dating Worksheet 7th Grade
Search
×
Search
Loading...
No suggestions found