Find Your Style
Women
Men
Accessories
Search for clothing, brands, styles...
×
Women
Men
Accessories
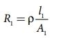
Resistivity Example
Search
Loading...
No suggestions found
Resistivity Formula, Definition, Factors, Solved Examples
pw.live
Show on a graph, the variation of resistivity with temperature for a ...
brainly.in
Examples of Conductivity and Resistivity Video Lecture - Crash Course ...
edurev.in
மின்தடை எண் - விளக்கம், சூத்திரங்கள், தீர்க்கப்பட்ட எடுத்துக்காட்டு ...
brainkart.in
Two resistances R1=X Ω and R2=1 Ω are connected to a wire AB of uniform ...
brainly.in
Effect of Temperature and Impurity on Electrical Resistivity of Metals ...
edurev.in
solve resistivity= (X × pi × r²) ÷ l, whereX = l ÷ (100-l)R - Brainly.in
brainly.in
Define resistivity .write an expression for resistivity of a substance ...
brainly.in
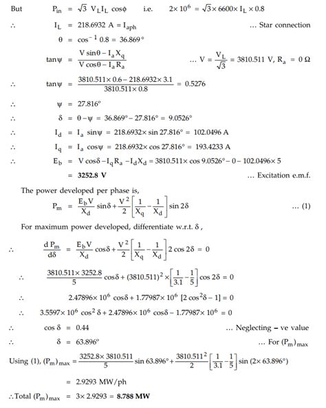
Maximum power transfer theorem - Statement, Proof, Circuit Diagram ...
eee.poriyaan.in
The temperature (T ) dependence of resistivity (r) of a semiconductor ...
tardigrade.in
Resistivity of various materials - CBSE Class 10 Science - Learn CBSE Forum
ask.learncbse.in
The temperature (T ) dependence of resistivity (r) of a semiconductor ...
tardigrade.in
[Expert Answer] a wire of length L and resistance R is stretched so ...
brainly.in
Resistance and Resistivity: Practical Worksheet & Examples (OCR A 5.2 ...
studocu.com
EMF & Internal Resistance of a cell | Terminal Potential Difference ...
esaral.com
Understanding the Difference Between Resistance and Resistivity: Key ...
allen.in
Electrical Resistivity Tomography (ERT)
dgcindia.in
Difference Between Resistance And Resistivity, Major Differences
pw.live
Maximum power transfer theorem - Statement, Proof, Circuit Diagram ...
eee.poriyaan.in
Maximum power transfer theorem - Statement, Proof, Circuit Diagram ...
eee.poriyaan.in
Draw a graph showing variation of resistivity with temperature for ...
ask.learncbse.in
Maximum power transfer theorem - Statement, Proof, Circuit Diagram ...
eee.poriyaan.in
Solved Example Problems [Current and Voltage Division Principle ...
cse.poriyaan.in
Resistivity and Induced Polarization: Theory and Applications to the ...
amazon.in
what is resistance and resistivity with formula and example - Brainly.in
brainly.in
11. Electrical resistivity of a material is defined as the electrical ...
brainly.in
Resistance of a wire is r ohms. The wire is stretched to double its ...
edurev.in
Solved Example Problems [Current and Voltage Division Principle ...
cse.poriyaan.in
What is the difference between resistance and resistivity of the ...
brainly.in
What is Resistivity?- Formula, Unit for Class 12 & 10 in Chemistry
adda247.com
Solved Example Problems [Current and Voltage Division Principle ...
cse.poriyaan.in
What Is Resistance? | Fluke
fluke.com
what is resistance and resistivity with formula and example - Brainly.in
brainly.in
A wire of resistivity r is doubled its length how does it affect ...
brainly.in
Difference Between Resistance and Resistivity in Physics: Definition ...
aakash.ac.in
What is difference between resistance and resistivity? - EduRev Class ...
edurev.in
what is resistance and resistivity with formula and example - Brainly.in
brainly.in
What is Resistance? | Fluke
fluke.com
4 Essential Ground Testing Methods | Fluke
us.fluke.com
What is electrical conductivity? - Twinkl
twinkl.co.in
மின்தடை எண் - விளக்கம், சூத்திரங்கள், தீர்க்கப்பட்ட எடுத்துக்காட்டு ...
brainkart.in
Insulation Resistance Testing from Cole-Parmer India
coleparmer.in
Consider a conductor of resistance ‘R’, length ‘L’, thickness‘d’ and ...
brainly.in
A wire of 10 ohm resistance is stretched to thris to its original ...
brainly.in
A wire of length /, made of material resistivity ρ is cut into two ...
brainly.in
Solved Example Problems [Current and Voltage Division Principle ...
cse.poriyaan.in
Resistance Formula: Formulas, Derivations, Resistivity vs Resistance ...
collegesearch.in
Resistance Formula: Formulas, Derivations, Resistivity vs Resistance ...
collegesearch.in
What is Water Resistance? - Answered - Twinkl Teaching Wiki
twinkl.co.in
Maximum power transfer theorem - Statement, Proof, Circuit Diagram ...
eee.poriyaan.in
Understanding Soil Resistivity Testing: Methods, Procedure, and Cost
bhoojalsurvey.in
Maximum power transfer theorem - Statement, Proof, Circuit Diagram ...
eee.poriyaan.in
Maximum power transfer theorem - Statement, Proof, Circuit Diagram ...
eee.poriyaan.in
Maximum power transfer theorem - Statement, Proof, Circuit Diagram ...
eee.poriyaan.in
மின்தடை எண் - விளக்கம், சூத்திரங்கள், தீர்க்கப்பட்ட எடுத்துக்காட்டு ...
brainkart.in
Best Way to Improve Fatigue Resistance of a Bolted Joint - Nord-Lock Group
nord-lock.com
2D Resistivity
dgcindia.in
மின்தடை எண் - விளக்கம், சூத்திரங்கள், தீர்க்கப்பட்ட எடுத்துக்காட்டு ...
brainkart.in
Black Resistance: Examples of African Rebellion, August 13 2023 ...
allevents.in
Define the term drift velocity - CBSE Class 12 Physics - Learn CBSE Forum
ask.learncbse.in
Draw a plot showing the variation of resistivity of a (i) conductor and ...
ask.learncbse.in
Science: Forces: Water Resistance Year 5 Lesson 5 - Twinkl
twinkl.co.in
Ohm’s Law - Statement, Formula, Solved Examples, Verification, FAQs
mygurukulacademy.in
Equivalent Resistance with Delta to Star Conversion: Detailed Example ...
edurev.in
What is Deinozed Water and Which Piping Materials Convey it Effectively?
corzan.com
Maximum power transfer theorem - Statement, Proof, Circuit Diagram ...
eee.poriyaan.in
Maximum power transfer theorem - Statement, Proof, Circuit Diagram ...
eee.poriyaan.in
Write an expression for the resistivity of a metallic conductor showing ...
brainly.in
Maximum power transfer theorem - Statement, Proof, Circuit Diagram ...
eee.poriyaan.in
மின்தடை எண் - விளக்கம், சூத்திரங்கள், தீர்க்கப்பட்ட எடுத்துக்காட்டு ...
brainkart.in
A copper wire has a diameter of 0.5 mm and a resistivity of 1.6 x 10-⁶ ...
brainly.in
What is the resistance of 12m wire having radius 2×10-4m.resistivity is ...
brainly.in
Maximum power transfer theorem - Statement, Proof, Circuit Diagram ...
eee.poriyaan.in
மின்தடை எண் மற்றும் மின்கடத்து எண் - வரையறை, சூத்திரம், தீர்க்கப்பட்ட ...
brainkart.in
SOP for Nursing: How to Write sample SOP for MSc nursing?
yocket.com
Maximum power transfer theorem - Statement, Proof, Circuit Diagram ...
eee.poriyaan.in
SATHEE: Chapter 11 Electricity
satheejee.iitk.ac.in
மின்தடை எண் - விளக்கம், சூத்திரங்கள், தீர்க்கப்பட்ட எடுத்துக்காட்டு ...
brainkart.in
Lecture 27
archive.nptel.ac.in
Show variation of resistivity of copper as a function of temperature in ...
brainly.in
Read the following informations. (i) Resistivity of copper is lower ...
ask.learncbse.in
What is Air Resistance for Kids? | Friction and Air Resistance
twinkl.co.in
establish current voltage relationship ohm's law for a metallic ...
brainly.in
வெப்பநிலையைச் சார்ந்த மின்தடை எண் - விளக்கம், சூத்திரங்கள் ...
brainkart.in
மின்தடை எண் மற்றும் மின்கடத்து எண் - வரையறை, சூத்திரம், தீர்க்கப்பட்ட ...
brainkart.in
What is Air Resistance for Kids? | Friction and Air Resistance
twinkl.co.in
வெப்பநிலையைச் சார்ந்த மின்தடை எண் - விளக்கம், சூத்திரங்கள் ...
brainkart.in
Maximum power transfer theorem - Statement, Proof, Circuit Diagram ...
eee.poriyaan.in
A copper wire of length 2m and area of cross-section 1.7×10-6 m2 has a ...
brainly.in
Falling damage - bg3.wiki
bg3.wiki
Genetically Modified Crops in India, Regulation and Challenges
studyiq.com
What is Rolling Friction: Definition, Diagram, Formula, Coefficient ...
collegesearch.in
Two Reaction Theory for Synchronous Motor
eee.poriyaan.in
Two Reaction Theory for Synchronous Motor
eee.poriyaan.in
Bill Invoice Format in Google Sheets | Free Download - Wise
wise.com
Important Questions with Answers - Thermal Application | Physics For ...
civil.poriyaan.in
What is Air Resistance for Kids? | Friction and Air Resistance
twinkl.co.in
மின்தடை எண் மற்றும் மின்கடத்து எண் - வரையறை, சூத்திரம், தீர்க்கப்பட்ட ...
brainkart.in
Maximum power transfer theorem - Statement, Proof, Circuit Diagram ...
eee.poriyaan.in
A-3 Cal. the resistance of an aluminium cable of length 10 Km and dia ...
brainly.in
SI Unit of Conductivity - Definition, Resistivity, Other Unit, Formula ...
collegesearch.in
மின்தடை எண் - விளக்கம், சூத்திரங்கள், தீர்க்கப்பட்ட எடுத்துக்காட்டு ...
brainkart.in
EMF & Internal Resistance of a cell | Terminal Potential Difference ...
esaral.com
Maximum power transfer theorem - Statement, Proof, Circuit Diagram ...
eee.poriyaan.in
Resistance of a metal wire of length 5m is 100ohm .If the area of cross ...
brainly.in
Comparison of Material: Conductors, Semiconductor and Insulators
cse.poriyaan.in
மின்தடை எண் - விளக்கம், சூத்திரங்கள், தீர்க்கப்பட்ட எடுத்துக்காட்டு ...
brainkart.in
மின்தடை எண் மற்றும் மின்கடத்து எண் - வரையறை, சூத்திரம், தீர்க்கப்பட்ட ...
brainkart.in
What is Rolling Friction: Definition, Diagram, Formula, Coefficient ...
collegesearch.in
Surface Resistivity Meter Anti-Static ESD Tester
makerbazar.in
[Answered] The figure below shows three cylindrical copper conductors ...
brainly.in
Show graph for resistivity v/s Temperature for a metallic conductor ...
brainly.in
Buy Electrical Resistivity and Conductivity Book Online at Low Prices ...
amazon.in
வெப்பநிலையைச் சார்ந்த மின்தடை எண் - விளக்கம், சூத்திரங்கள் ...
brainkart.in
Define Resistance, Resistance Meaning, Resistance Examples, Resistance ...
smartvocab.in
Spectrum Summary: People's Resistance against British before 1857 ...
edurev.in
Corel Painter Help | Enabling flow maps and controlling flow resistance
product.corel.com
Surface Resistivity Meter Anti-Static ESD Tester
makerbazar.in
Characteristics of Punching Shear | Punching Shear Resistance ...
civildailyinfo.com
Kolkata Electrical Resistivity Tomography ERT Survey India
geotech.ind.in
Related Searches
Resistivity Equation
Metal Resistivity
Material Resistivity
Electrical Resistivity Example
Electrical Resistivity Method
Resistivity Diagram
Resistivity of Wire
Resistivity Small Box Example
Resistivity Units
Solution Resistivity
Resistivity Formula Sheet
Soil Resistivity Chart
Resistivity Model
Electrical Resistivity Unit
Example of Resistivity as Electrical Property
Resistance Worksheet
Electrical Resistivity Table
Well Water High Resistivity Example
1 Resistivity
Resistivity Log Examples
Electrical Resistivity Geology
Electrical Conductivity Chart
SIC Resistivity
Thermal Resistance
Resistivity Inb Wire
Resistance Electricity
Resistivite
Electric Resistance Unit
Thermal Energy Transfer
Example of Interpreted Resistivity Graph
Resistance and Cross Sectional Area
Resistivity of Basalt
Electrical Resistivity for Kids
Resistivity Material Example Diagrams
Electricial Resistivity
Resistivity Section
Microresistivity
Types of Electrical Resistors
Resistivity Formula Electron
Resistivity Sion
Resistive Forces Examples
Example of Resistivity in Electrical Properties in Construction Materials
Resistivity and Resistance Images
Sample of Resistivity in Electrical
Gistroni Resistivity
Resistivity of a Wire Example of a 1M Ruler
Burn Wire Resistivity
Resistance Simple Example
Resistivity Related Pictures
Resistivity Survey Examples
Search
×
Search
Loading...
No suggestions found