Find Your Style
Women
Men
Accessories
Search for clothing, brands, styles...
×
Women
Men
Accessories
Resume Introduction Statement
Search
Loading...
No suggestions found
Powerful Resume Summary Statements
cvdesigner.in
Best CV Format for Freshers in India: Sample and Guide
zety.com
Nursing Resume Examples | 30+ ATS-Optimized Samples and Guide
resumewritingservices.in
Business Operations Resume Examples | 30+ ATS-Optimized Samples and Guide
resumewritingservices.in
Resume Templates for Freshers Free|Resumemaker.in
resumemaker.in
Get Past the ATS With These Resume Templates [+ Tips] - Blog
appsmanager.in
How to Write a Simple, Effective Resume (+20 Examples) - Blog
appsmanager.in
Declaration in Resume for Freshers & Experienced Candidates
zety.com
BCA Resume Format PBC Unit 3 Type 1 - BCA Resume Format Your Name ...
studocu.com
Summary for a Resume for Freshers: Examples & How to Write
zety.com
Fillable Online kate murraystate Introduction - Resume Tutorial ...
pdffiller.com
Best CV / Curriculum Vitae Format 2023 for Jobs in India, Samples and ...
collegesearch.in
Retail Resume Examples | 30+ ATS-Ready Samples and Guide
resumewritingservices.in
Sales Resume Examples | 30+ ATS-Optimized Samples and Guide
resumewritingservices.in
Production Resume Examples | 30+ ATS-Friendly Samples and Guide
resumewritingservices.in
A preamble is an introductory statement in a document that explains the ...
studocu.com
Teacher Resume: Format, Sample, & Writing Guide
zety.com
27 of the Best Professional Bio Examples We've Ever Seen [+ Templates ...
appsmanager.in
Food Service Resume Examples | 30+ ATS-Ready Samples and Guide
resumewritingservices.in
Culinary Resume Examples | 30+ ATS-Friendly Samples and Guide
resumewritingservices.in
18 Printable letter of introduction for yourself Forms and Templates ...
pdffiller.com
Resume Personal Statements Examples Innovative 10 Sample Resume ...
pinterest.com
Preamble - What is a Preamble? A preamble is an introductory statement ...
studocu.com
Fillable Online Introduction to Resumes, Cover Letters and References ...
pdffiller.com
2 Examples of Good Personal Statement Examples
indifferentlanguages.in
Video Resume Tips for Students and Graduates
globaltree.in
E-Library - RVO
rvoicmai.in
Introduction to Hypothesis and Research design - INTRODUCTION to ...
studocu.com
How To Write Best SOP For Canada Study Visa? {+Free Sample} - Kansas®
kansaz.in
Introduction For Statement Of The Problem - Fill Online, Printable ...
pdffiller.com
Class 12 Introductory Macroeconomics Textbook with Case Based Questions ...
amazon.in
Financial Statements- Introduction And Meaning - Financial Statements ...
studocu.com
Introductory Macroeconomics Textbook for Class 12, with Case Based ...
amazon.in
Buy Introduction To Financial Statement Analysis Book Online at Low ...
amazon.in
Delhi: AIIMS resident doctors to continue strike but resumes emergency ...
aninews.in
2009 Form AE Introductory Statement Fill Online, Printable, Fillable ...
pdffiller.com
50+ Writing a Strong Introduction worksheets for 6th Class on Quizizz ...
quizizz.com
IFRS 18 – Presentation and Disclosure in Financial Statements
taxguru.in
Fillable Online Total Compensation Statement for Sample Employee Fax ...
pdffiller.com
Introduction: Statements, Syllogisms Video Lecture - General Aptitude ...
edurev.in
Advertisement & PR - Covering All Points in Detail - Advertisement ...
studocu.com
27 of the Best Professional Bio Examples We've Ever Seen [+ Templates ...
appsmanager.in
Pink Resume Template Word and Pages Resume Template Girl - Etsy India
etsy.com
Final project 111 - INDEX S DISCRIPTION PAGE NO 1 CHAPTER 1 ...
studocu.com
Buy Dance Teacher Resume Template for Canva Dance Instructor Resume ...
etsy.com
Sustainable Development - SUSTAINABLE DEVELOPMENT INTRODUCTION: Man has ...
studocu.com
Introduction: Statements and Arguments - Reasoning Aptitude for ...
edurev.in
An Introduction To Statistical Learning With Applications In R 2Ed (Hb ...
amazon.in
Putting It Into Words; Writing Artist Statements, Bios & Resumes, 7 ...
allevents.in
23.A Complete Introduction on " Final Accounts" (Financial Statements ...
edurev.in
Buy Reinforcement Learning Book Online at Low Prices in India ...
amazon.in
Introductory Microeconomics Textbook For Class 11, With Case Based ...
flipkart.com
Programming Using C++: Introduction To C++Terminologies Of C+ ...
amazon.in
Statement of Purpose (SOP) Samples - Course & Country wise SOP Format ...
shiksha.com
How to emphasize the thesis introduction chapter from the rest of the ...
projectguru.in
Diagram of Introduction to Financial Statements Analysis | Quizlet
quizlet.com
Buy An Introduction to R Book Online at Low Prices in India | An ...
amazon.in
Buy The Andover Case: With an Introductory Historical Statement (1887 ...
amazon.in
Buy Introduction to Financial Accounting, 11e Book Online at Low Prices ...
amazon.in
Buy Introduction to Real Analysis Book Online at Low Prices in India ...
amazon.in
Buy Revenue Recognition in Financial Statements: An Introduction ...
amazon.in
Introduction to Computation and Programming Using Python – with ...
amazon.in
10 School Report Writing Tips to Save Time - Twinkl
twinkl.co.in
Fillable Online cts wa DEPARTMENT OF INFORMATION SERVICES AFFIRMATIVE ...
pdffiller.com
Buy Financial Analysis 101: An Introduction to Analyzing Financial ...
amazon.in
Childminder Definition Inspirational Poster
twinkl.co.in
Media Statement: Nelson Mandela Legacy Ride4Hope resumes the annual ...
nelsonmandela.org
Buy Introduction to Algorithms, fourth edition Book Online at Low ...
amazon.in
Buy An Introduction to R Book Online at Low Prices in India | An ...
amazon.in
company introduction letter template Forms - Fillable & Printable ...
pdffiller.com
Introduction to Nuclear Engineering, 3rd Edition : Lamarsh: Amazon.in ...
amazon.in
An Introduction to Behavioural Ecology : Amazon.in: Books
amazon.in
Introductory Microeconomics Textbook For Class 11, With Case Based ...
flipkart.com
[PHOTO] Amitabh Bachchan resumes work after lockdown 2.0 in his ...
zoomtventertainment.com
Editable Prac Teacher Introduction Letter | PDF - Twinkl
twinkl.co.in
Introductory Microeconomics Textbook For Class 11, With Case Based ...
flipkart.com
Buy An Introduction to Statistical Learning: With Applications in ...
amazon.in
Introduction to the Thermodynamics of Materials, Fifth Edition: Buy ...
flipkart.com
Buy Introduction to Remote Sensing Book Online at Low Prices in India ...
amazon.in
Buy Introduction to Unconstrained Optimization with R Book Online at ...
amazon.in
Fillable Online vtechworks lib vt vtechworks.lib.vt.edu bitstream ...
pdffiller.com
Buy An Introduction To Mechanics Book Online at Low Prices in India ...
amazon.in
Introduction to Finite Elements in Engineering eBook : Chandrupatla ...
amazon.in
Buy Introduction to Psychology Book Online at Low Prices in India ...
amazon.in
Sample Dissertation Overview - The methods used for investigating the ...
studocu.com
How to write a sales email: 6 sales email examples that work
zendesk.com
Introduction To Algorithms 3rd Edition: Buy Introduction To Algorithms ...
flipkart.com
Statement of Purpose (SOP) Samples - Course & Country wise SOP Format ...
shiksha.com
Buy Financial Statement Analysis (IRWIN ACCOUNTING) Book Online at Low ...
amazon.in
Self Introduction in English for Students: Sample and Tips for ...
collegesearch.in
Buy Introduction to Mathematical Statistics Book Online at Low Prices ...
amazon.in
Buy La contabilidad es cosa de juego: Introduccion a La Dinamica De Los ...
amazon.in
Buy Introduction to R and Rcommander Book Online at Low Prices in India ...
amazon.in
Amendment to the Preamble - Indian Polity Notes
prepp.in
Sentence Starters for Introduction – Word Mat – KS2
twinkl.co.in
Engineering Materials 1: An Introduction to Properties, Applications ...
amazon.in
Amazon.in: Buy Financial Statement Analysis Book Online at Low Prices ...
amazon.in
Buy An Introduction to Young Children With Delays and Disabilities ...
amazon.in
Fillable Online UNITED INDEPENDENT SCHOOL DISTRICT 2013-2014 Response ...
pdffiller.com
Buy INTRODUCTION TO COMBUSTION: CONCEPTS AND APPLICATIONS , 3RD EDN ...
amazon.in
MTMA-SECA C Language: UNIT 4: Decision Making and Branching
uluberiacollegeapp.in
Buy Introduction to Radar Systems Book Online at Low Prices in India ...
amazon.in
Dk Goel Books - Buy Dk Goel Books Online at Best Prices In India ...
flipkart.com
Buy Educational Research: An Introduction Book Online at Low Prices in ...
amazon.in
Buy Introduction to Statistics and Data Analysis, AP® Edition Book ...
amazon.in
Introduction to Information Systems : Rainer, R. Kelly, Jr., Prince ...
amazon.in
Buy Introduction to Fluid Mechanics Book Online at Low Prices in India ...
amazon.in
Buy Introduction to Hospitality Management Book Online at Low Prices in ...
amazon.in
Introduction to Meta-Analysis eBook : Borenstein, Michael, Hedges ...
amazon.in
Introduction of Preamble Notes | EduRev
edurev.in
Buy Introduction to Counseling: Integration of Faith, Professional ...
amazon.in
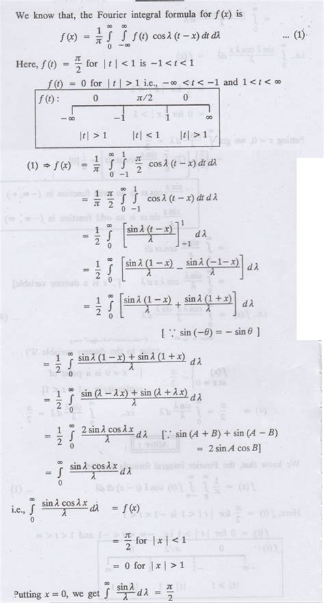
Statement Of Fourier Integral Theorem - Examples
civil.poriyaan.in
Fillable Online A GUIDE TO WRITTEN STATEMENTS Fax Email Print - pdfFiller
pdffiller.com
Buy An Introduction to R: Data Analysis and Visualization Book Online ...
amazon.in
Maruti dealers and showrooms in Ahmedabad | Kiran Maruti
kiranmotors.co.in
Statement Of Fourier Integral Theorem - Examples
civil.poriyaan.in
Buy Statistics: An Introduction Using R Book Online at Low Prices in ...
amazon.in
Introduction TO Accounting Standards - INTRODUCTION TO ACCOUNTING ...
studocu.com
Statement Of Fourier Integral Theorem - Examples
civil.poriyaan.in
Buy Teachers, Schools, and Society: A Brief Introduction to Education ...
amazon.in
Related Searches
Introduction to Resume
Opening Statement for a Resume
Resume Introduction Statement Examples
Resume Introduction Letter
Summary Statement for Resume
Intro On Resume
Best Resume Summary Statement
Personal Statement for a Resume
Good Resume Summary
Sample Resume Intro Statement
Strong Opening Statement for Resume
Job Introduction Letter Sample
Professional Resume Introduction
Construction Job Resume Template
Resume Introduction of Self
Mission Statement On Resume
Short Introduction for Your Resume
Nursing Resume Objective Statement
Business Proposal Introduction
Examples of Resume Summary Statements
Retired Person Resume Example
Resume Overview
Good Resume Objective Samples
IntroductionIn CV
Profile Resume Sample
Sample Accounting Resume Objectives
Office Assistant Resume
How to Write Resume Introduction
Sales Resume Summary Examples
Executive Resume CV
Customer Service Resume Examples
Experienced Educator Resume Introduction Statement
Opening Statement Basic for Resume
Teacher Resume Cover Letter Template
Resume Experience Summary
Resume Introduction Statement for New Position Example
Brief Intro On Resume
50 Resume Objective Statements
Introduction for Resume for Students
Great Executive Resume Examples
Introduction of Resume Project
Sample College Intern Resume
Introduction in My Resume
Nurse Resume Summary Statement
Human Resources Resume
Great Resume Introductions
Resume Intro Paragraph
CV Opening Statement
Good Intro for Resume
Intro to Resume Examples
Search
×
Search
Loading...
No suggestions found