Find Your Style
Women
Men
Accessories
Search for clothing, brands, styles...
×
Women
Men
Accessories
Rigidity Modulus
Search
Loading...
No suggestions found
Modulus Domain Service Price | MODS Price Index, Live Chart and INR ...
binance.com
5. Rigiditiy Modulus - Torssional pedulum - Aim To determine the moment ...
studocu.com
Determination of Rigidity Modulus and Moment of Inertia
openphys.in
Rigidity Modulus -Static Torsion (Theory) : Advanced Mechanics Virtual ...
vlab.amrita.edu
Determination of Rigidity Modulus and Moment of Inertia
openphys.in
Determination of Rigidity Modulus and Moment of Inertia
openphys.in
Sir,what is rigidity modulus and what is the value of rigidity modulus ...
scoop.eduncle.com
Static torsion Rigidity modulus - Complimentary physics 1st year - Studocu
studocu.com
Phy - its the physics textbook - Basic concepts Chapter I ELASTICITY ...
studocu.com
Assignment MOM - Define a) Modulus of Rigidity b)Bulk modulus c ...
studocu.com
Rigidity modulus - Notes - To Jength chTime e lo S penduulum duLalien ...
studocu.com
Determination of Rigidity Modulus and Moment of Inertia
openphys.in
Determination of rigidity modules of a wire - Determinationof ...
studocu.com
Write relationship between youngs modulus and rigidity - Brainly.in
brainly.in
Borton's Experiment: Determining Modulus of Rigidity using Apparatus ...
studocu.com
Virtual Labs
am-amrt.vlabs.ac.in
L31 Expression for rigidity modulus and Youngs modulus from deformation ...
studocu.com
Torsion Pendulum Rigidity modulus 06-Feb-2023 19-35-11 - Bsc ...
studocu.com
Lab1 - ffddgg - Experiment No.: Name: Date: Roll No.: Section: RIGIDITY ...
studocu.com
Anna University Solved Problems - Stress, Strain and Deformation of ...
mech.poriyaan.in
the ratio of the SI unit to the CGS unit of modulus of rigidity is ...
brainly.in
Determination of Rigidity Modulus and Moment of Inertia
openphys.in
whta is the relation between modulus of rigidity , poisson's ratio and ...
brainly.in
Elastic constants, Modulus of elasticity (E), Modulus of rigidity (N ...
studocu.com
If Y, K and η are the values of Young’s modulus, bulk modulus and ...
brainly.in
√ Relation between Young's modulus, Bulk modulus, modulus of rigidity ...
sciencelaws.in
Two mark Questions and Answers - Torsion - Strength of Materials
mech.poriyaan.in
Experimental Study of the Dynamic Shear Modulus of Saturated Coral Sand ...
mdpi.com
Anna University Solved Problems - Stress, Strain and Deformation of ...
mech.poriyaan.in
Torsion pendulum- Rigidity modulus - Complimentary physics 1st year ...
studocu.com
SAI RIGIDITY MODULUS DYNAMICAL METHOD : Amazon.in: Industrial & Scientific
amazon.in
√ Relation between Young's modulus, Bulk modulus, modulus of rigidity ...
sciencelaws.in
Dimension of modulus of rigidity - Brainly.in
brainly.in
√ Relation between Young's modulus, Bulk modulus, modulus of rigidity ...
sciencelaws.in
define modulus of rigidity. - Brainly.in
brainly.in
The Youngs modulus of a material is 125 GPa and Poissons ratio is 0.25 ...
edurev.in
modulus of rupture - Torsion - Strength of Materials
mech.poriyaan.in
1st semester physics 5th chapter properties of matter ( torsional ...
studocu.com
Rigidity Modulus of The Suspension Wire of A Torsion Pendulum (Theory ...
vlab.amrita.edu
Rigidity Modulus of The Suspension Wire of A Torsion Pendulum (Theory ...
vlab.amrita.edu
Rigidity Modulus of The Suspension Wire of A Torsion Pendulum (Theory ...
vlab.amrita.edu
Static torsion Rigidity modulus - Complimentary physics 1st year - Studocu
studocu.com
Basics of rheology | Anton Paar Wiki
wiki.anton-paar.com
The shear wave velocity in an ignrous rock with a density of 2.7 gm ...
scoop.eduncle.com
Torsion pendulum- Rigidity modulus - Complimentary physics 1st year ...
studocu.com
modulus of rupture - Torsion - Strength of Materials
mech.poriyaan.in
Rigidity Modulus of a Mild Steel Bar - Structures Lab - Experiment 2 ...
studocu.com
Shear Modulus of a Carbonate Sand–Silt Mixture with THF Hydrate
mdpi.com
Torsion Pendulum - Description, Expression, Uses, Experiment
mech.poriyaan.in
Determination of Rigidity Modulus and Moment of Inertia
openphys.in
Torsion pendulum- Rigidity modulus - Complimentary physics 1st year ...
studocu.com
Two mark Questions and Answers - Torsion - Strength of Materials
mech.poriyaan.in
6 Stress - Strain relation
web.iitd.ac.in
define various elastic constants and establish relation between them ...
brainly.in
Shear Modulus of a Carbonate Sand–Silt Mixture with THF Hydrate
mdpi.com
modulus of rupture - Torsion - Strength of Materials
mech.poriyaan.in
√ Relation between Young's modulus, Bulk modulus, modulus of rigidity ...
sciencelaws.in
Understanding the Properties of Solids and Liquids: Key Concepts and Laws
allen.in
for most materials the young's modulus is n times the rigidity modulus ...
brainly.in
The relationship between Young's Modulus of Rigidity (E), Bulk modulus ...
prepp.in
The dimensional formula for the modulus of rigidity is - Brainly.in
brainly.in
Define different elastic constants and establish relation between them ...
brainly.in
Metals have large value of young's modulus than elastomer.is it true or ...
scoop.eduncle.com
Torsion Pendulum - Description, Expression, Uses, Experiment
mech.poriyaan.in
√ Relation between Young's modulus, Bulk modulus, modulus of rigidity ...
sciencelaws.in
if young's modulus is three times of modulus of rigidity then poisson's ...
brainly.in
M1l1 - Module 1 Energy Methods in Structural Analysis Lesson 1 General ...
studocu.com
The relation between Youngs modulus (E) and bulk modulus (K) is given ...
edurev.in
M1l1 - Module 1 Energy Methods in Structural Analysis Lesson 1 General ...
studocu.com
University solved problems - Torsion - Strength of Materials
mech.poriyaan.in
Torsion Pendulum - Description, Expression, Uses, Experiment
mech.poriyaan.in
The relation between modulus of elasticity e bulk modulus k poisson's ...
zonetech.in
Torsion Apparatus - torsion and shear modulus | 1018550 | U8557300 ...
3bscientific.com
Torsion Apparatus - torsion and shear modulus | 1018550 | U8557300 ...
3bscientific.com
GKCIET
gkciet.ac.in
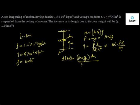
A 8m long string of rubber, having density 1.5 x 10 ^3 kg/m ^3 and ...
toppr.com
Two mark Questions and Answers - Torsion - Strength of Materials
mech.poriyaan.in
The relation between modulus of elasticity e bulk modulus k poisson's ...
zonetech.in
மீட்சிக்குணகங்கள் - பருப்பொருளின் பண்புகள் | Moduli of elasticity ...
brainkart.in
for a given material, the young's modulus is 2.4 times that of the ...
brainly.in
Centrum Wealth Management, Investment Banking, Insurance, Stock Broking
centrumportal.centrum.co.in
modulus of rupture - Torsion - Strength of Materials
mech.poriyaan.in
Young modulus bulk modulus shear modulus which is greater - Brainly.in
brainly.in
Determination of Rigidity Modulus and Moment of Inertia
openphys.in
The relationship between Young's Modulus of Rigidity (E), Bulk modulus ...
prepp.in
ARAMIS | APM Technologies
apmtech.in
Experiment: Modulus of Rigidity by Oscillations (Dynamic Method)
studylib.net
If young's modulus of elasticity Y for a material is one and half times ...
brainly.in
The stretching of a coil spring is determined by its shear modulus. Why ...
brainly.in
The relationship between Young's Modulus of Rigidity (E), Bulk modulus ...
prepp.in
Maxwell needle - D K Pandey η by Maxwell Needle OBJECT: To determine ...
studocu.com
If youngs modulus of elasticity for a material is one and half times ...
brainly.in
What is the relationship between young's modulus (e), bulk modulus (k ...
brainly.in
Suppose the object in figure shown is the brass plate of an outdoor ...
allen.in
Maxwell needle - D K Pandey η by Maxwell Needle OBJECT: To determine ...
studocu.com
Dimensions Of Young’s Modulus in Physics: Definition, Types and ...
aakash.ac.in
Young modulus bulk modulus shear modulus which is greater - Brainly.in
brainly.in
Maxwell needle - D K Pandey η by Maxwell Needle OBJECT: To determine ...
studocu.com
University solved problems - Torsion - Strength of Materials
mech.poriyaan.in
Torsion Pendulum - Description, Expression, Uses, Experiment
mech.poriyaan.in
modulus of rupture - Torsion - Strength of Materials
mech.poriyaan.in
what is elastic constants ask the question manik1146.what is elastic ...
brainly.in
GKCIET
gkciet.ac.in
Dimensions Of Young’s Modulus in Physics: Definition, Types and ...
aakash.ac.in
Torsion and springs - Introduction, torsional rigidity
mech.poriyaan.in
Determination of Rigidity Modulus and Moment of Inertia
openphys.in
Bulk Modulus Formula, Definition, Derivation, Examples
pw.live
Bortons experiment - η by Barton’s Apparatus OBJECT: To determine the ...
studocu.com
Maxwell needle - D K Pandey η by Maxwell Needle OBJECT: To determine ...
studocu.com
If youngs modulus of elasticity for a material is one and half times ...
brainly.in
Derive relation between young's modulus,modulus of rigidity and poisson ...
brainly.in
Young’s modulus, bulk modulus, and shear modulus | iexam
iexam.in
Two mark Questions and Answers - Torsion - Strength of Materials
mech.poriyaan.in
Anna University Solved Problems - Stress, Strain and Deformation of ...
mech.poriyaan.in
L33 Twisting oouple of cylinder - Research Methodology - Ramaiah ...
studocu.com
LAKIREDDY BALI REDDY COLLEGE OF ENGG.
lbrce.ac.in
Physics Laboratory Manual L.18 - Torsional Pendulum & Simple Harmonic ...
studocu.com
Structural Analysis CE21004 Lecture 1 - Structural Analysis CE Review ...
studocu.com
Buy Halo Modulus Set of 2 Printed Light Filtering Window Curtains - 5 ...
homecentre.in
Structural Analysis CE21004 Lecture 3 - Structural Analysis CE Plane ...
studocu.com
Related Searches
Shear Modulus Table
Modulus of Rigidity Symbol
Modulus of Rigidity Graph
Shear Modulus Chart
Modulus of Rigidity Equation
Bulk Modulus Equation
E Modulus
Elastic Modulus
Steel Shear Modulus
Modulus of Elasticity Chart
Modulus of Rigidity Experiment
Rigidity Modulus G
Elastic Modulus of Aluminum
Flexural Rigidity Units
Elasticity Diagram
Rigidity Material
Modulus of Rigidity Book
Torsion Modulus
Formula for Young's Modulus
Wood Shear Modulus
A992 Steel Shear Modulus
Modulus of Rigidity Circle
Young Modulus Apparatus
Shear Stress Units
Shear Stress Strain
Brass Shear Modulus
Shear Modulus vs Flexural Modulus
Shear Force
Cardboard Bending Rigidity and Modulus
Pavement Shear Modulus
Cast Iron Rigidity Modulus
Shear Modulus of Metals
What Is Shear Modulus
Young's Modulus
Shear Stress Example
Modulus of Rigidity of Rubber Apparatus
G12 Modulus Rigidity Formula
Shear Stress Strain Curve
Axial Stress
Torsion Graph Showing Modulus of Rigidity
Elastic Modulus of Materials
Unit of Rigidity
Elastic Moduli
Bridge Shear Modulus of Rigidity Diagram
Modulus of Elasticity Particleboard
Soil Subgrade Modulus Table
Modulus Rigiditas Mantel
Torsional Shear Stress
Rigidity Modulus Strength of Mechanics Animated Picture
Shear Moidulus
Search
×
Search
Loading...
No suggestions found