Find Your Style
Women
Men
Accessories
Search for clothing, brands, styles...
×
Women
Men
Accessories
Rodendenski Cestitki Za Sin
Search
Loading...
No suggestions found
Samsung Unveils Galaxy S21 FE 5G in India at Effective Price of INR ...
news.samsung.com
Brie Falling At This Insane Three-Course Cheese Filled Menu For INR 800 ...
lbb.in
Book Mumbai to Singapore Flights from INR 9,626 | Air India
airindia.com
Ronaldo's Watch Collection Gets Jacob & Co. Piece Worth INR 94.5 Lakhs
augustman.com
Čestitke sa cvećem | Rodjendanske čestitke | Zanimljivosti ...
rodjendanko.com
Čestitke sa cvećem | Rodjendanske čestitke | Zanimljivosti ...
rodjendanko.com
Čestitke sa cvećem | Rodjendanske čestitke | Zanimljivosti ...
rodjendanko.com
Čestitke sa cvećem | Rodjendanske čestitke | Zanimljivosti ...
rodjendanko.com
Čestitke sa cvećem | Rodjendanske čestitke | Zanimljivosti ...
rodjendanko.com
Čestitke sa cvećem | Rodjendanske čestitke | Zanimljivosti ...
rodjendanko.com
Čestitke sa cvećem | Rodjendanske čestitke | Zanimljivosti ...
rodjendanko.com
og-image.png
dash.ipopremium.in
Торт Гоги на Пасху - Время
vreme.com
Картичка с пожелание за новородено бебе..
pozdravi.net
Аз ви пожелавам да сте преди всичко живи и здрави,.
pozdravi.net
Birthday Cake Stitch - Celebrating Every Special Day
ixd.anu.edu.in
Sign in - LAP Svasti CRM
bps.svasti.in
Vini Pu torta na dva sprata za 1. rođendan | Torte
pinterest.com
Buy Happy Birthday Double Sign Neon Sign Online India – acrylicsheetsindia
acrylicsheetsindia.com
Permission Denied Issue in Outlook- Top Fixes
stellarinfo.co.in
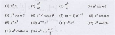
Problems based on Z-transform of some basic functions - Examples
civil.poriyaan.in
Sin legende zabio dva gola u debiju za Vatrene!
hrreprezentacija.com
Pokémon Legends ZA Mega Pokémon: Full List of New & Returning Megas
sportsrant.indiatimes.com
Pokémon Legends ZA Mega Pokémon: Full List of New & Returning Megas
sportsrant.indiatimes.com
Problems based on Z-transform of some basic functions - Examples
civil.poriyaan.in
Problems based on Z-transform of some basic functions - Examples
civil.poriyaan.in
Problems based on Z-transform of some basic functions - Examples
civil.poriyaan.in
Sveti Arhangel Mihailo (33x24 cm)
eparhija.com
Problems based on Z-transform of some basic functions - Examples
civil.poriyaan.in
Sin Cos Tan Formula, Values, Use, Table, Tips, And Trick
pw.live
Krckalica za orahe Kinghoff KH1301 | Volim svoj dom
volimsvojdom.rs
Trampov sin pokrenuo firmu za onlajn prodaju oružja: Doživeo fijasko - B92
b92.net
OBSERVATION TABLE: S.N Angle of incidence, i 40 ^ 0 Sin i Sin r mu ...
brainly.in
Stolica za plažu siva FSP1 | Volim svoj dom
volimsvojdom.rs
U penziju bez lepe reči i zahvalnosti poslodavca | Novosti.rs
novosti.rs
Kutija za kapsule kafe sa fiokom Five 167753 | Volim svoj dom
volimsvojdom.rs
Prostirka za kupatilo 45x45cm bambus Tendance 7408195 | Volim svoj dom
volimsvojdom.rs
Problems based on Z-transform of some basic functions - Examples
civil.poriyaan.in
Sign1 | Signage Manufacturer in Indore| LED Sign Board Manufacturer ...
sign1.co.in
Problems based on Z-transform of some basic functions - Examples
civil.poriyaan.in
Problems based on Z-transform of some basic functions - Examples
civil.poriyaan.in
10er Pack weiße A7 Notizblöcke mit Trennblättern, Fantasy-Thema mit ...
de.shein.com
Sign in
admissions.mkuniversity.ac.in
Biografía de Emiliano Zapata: vida, estudios, logros…
twinkl.co.in
Problems based on Z-transform of some basic functions - Examples
civil.poriyaan.in
Problems based on Z-transform of some basic functions - Examples
civil.poriyaan.in
Sign1 | Signage Manufacturer in Indore| LED Sign Board Manufacturer ...
sign1.co.in
Problems based on Z-transform of some basic functions - Examples
civil.poriyaan.in
IT-Start · Hilfe & Downloads
portal.365.bayern
Wooden Street Engineered Wood Exotic Teak & Frosty White Finish Ainsley ...
amazon.in
Best Places To Visit In Goa: Average Expense & How to Reach
godigit.com
Problems based on Z-transform of some basic functions - Examples
civil.poriyaan.in
Sign In
lawcubator.in
Sign In
weblee.in
Problems based on Z-transform of some basic functions - Examples
civil.poriyaan.in
Pokemon Legends: Z-A - Official Trailer | Pokemon Presents 2025
in.ign.com
Unveiling The Allure Of Hannah Owo Only Fans
stores.bmsce.in
Azarenka: Moj sin želi da igra za PSŽ - B92 sport
b92.net
IHG's Digital Check-In & Checkout | Stay with Confidence with IHG's ...
ihg.com
Sign In
toylibrary.in
Problems based on Z-transform of some basic functions - Examples
civil.poriyaan.in
Plačila za pilotsko usposabljanje – popoln vodnik po plačilih za ...
pilotcareer.in
Prestige City Sarjapur, Bangalore - Price Sheet | Brochure | Floor ...
nobroker.in
Crkveni kalendar za prostu 2024. god.
eparhija.com
Sign1 | Signage Manufacturer in Indore| LED Sign Board Manufacturer ...
sign1.co.in
Problems based on Z-transform of some basic functions - Examples
civil.poriyaan.in
Fillable Online Member Sign-In Sheet Fax Email Print - pdfFiller
pdffiller.com
Sign in | AVEVA
scorad.in
Login
edumug.in
1xBet Withdrawal Time: Rules and problems in India
telecomasia.net
dubai-crown-prince_1749026083.jpg
diamondtimes.in
Problems based on Z-transform of some basic functions - Examples
civil.poriyaan.in
SIGN IN | Neeladri Software Solutions Pvt Ltd
lco.abskdigital.in
Eid Mubarak Images HD Free Download for Facebook
dailysmscollection.in
Properties for Sale in Mumbai Mumbai - NoBroker
nobroker.in
Kanta za mast
metalacposudje.com
Log In | Sign In - ApnaSeat
apnaseat.in
the simplest value of Cos 53 degree Sin 37 degree - Brainly.in
brainly.in
Problems based on Z-transform of some basic functions - Examples
civil.poriyaan.in
Otac i sin odštampali 3D repliku Aventadora – Lamborghini im se odužio ...
b92.net
Sign in / Sign up
platform.aptpath.in
Problems based on Z-transform of some basic functions - Examples
civil.poriyaan.in
Problems based on Z-transform of some basic functions - Examples
civil.poriyaan.in
Sign In | SIPCOT
sipcot.tn.gov.in
Sign1 | Signage Manufacturer in Indore| LED Sign Board Manufacturer ...
sign1.co.in
Sign In | Delhi Crime NGO
delhicrimengo.in
Sign1 | Signage Manufacturer in Indore| LED Sign Board Manufacturer ...
sign1.co.in
Sign In
protap.in
Daily Horoscope for Gemini for August 3, 2025: You will excel in ...
odishatv.in
Problems based on Z-transform of some basic functions - Examples
civil.poriyaan.in
Oceđivač za sudove Kinghoff KH1355 | Volim svoj dom
volimsvojdom.rs
Login | wed.in
wed.in
Problems based on Z-transform of some basic functions - Examples
civil.poriyaan.in
All You Need To Know About Free Fire Characters Unlock
gurugamer.com
Solicitud De Licencia Sin Goce De Haber Word - Fill and Sign Printable ...
uslegalforms.com
IIT Kanpur AlmaWorld Sign in / up Form
almaworld.iitk.ac.in
Smoking prohibited
signageshop.in
Problems based on Z-transform of some basic functions - Examples
civil.poriyaan.in
Sign-in
gafarnagrajamandirvikassamiti.in
Sign In
student.zcoerapps.in
Sign In - TATA MEMORIAL CENTRE
webapps.actrec.gov.in
How to Fix the Android Recovery Mode Not Working Problem-Dr.Fone
drfone.wondershare.com
Sign In
xclusive.co.in
LED Sign Board Manufacturer in Chennai | LED Sign Boards in Chennai ...
signtrade.in
Sign In
student.wcoeapps.in
Sign In
docboon.in
NOC:Programming in Java NPTEL Study Materials - Video Lectures ...
nptelprep.in
Index of /files/sign
research.kalasalingam.ac.in
Sign in
depjayan.myskoolerp.co.in
Maska(futrola) Mercury za Honor Magic 5 Lite tamno plava - Mob-Shop
mob-shop.rs
[Solved] **The four sentences (labelled 1, 2, 3, and 4) given below ...
cracku.in
Sign In - TATA MEMORIAL CENTRE
webapps.actrec.gov.in
Fixed: Microsoft Print to PDF Not Working on Windows 11
pdf.wondershare.com
Sign In
nutngrain.in
Torte Lucija | Rodjendanske torte | RODJENDANKO | Igraonice i sve za ...
rodjendanko.com
ZA | Impex
zaimpex.in
Index of /files/sign
research.kalasalingam.ac.in
Cvijet dragoljub ponosno može nositi svoje ime jer osim što je lijep i ...
hercegovina.in
Sign in & Sign up
vrpay.co.in
khadyo
kanyakabs.in
Related Searches
Rodendenski Cestitki
Rodendenski Poraki Za Sin
Rodendenski Cestitki Na Makedonski
Rodendenski Cestitki Za Mojot Sin
Pesna Za Rodendenski Cestitki
Sablon Za Rodendenski Cestitki
Rodendenski Cestitki Za Soprug
BFF Rodendenski Cestitki
Rodendenski Cestitki Za Tatko
Rodendenski Cestitki Za Deca
Rodendenski Cestitki so Koli
Rodendenski Cestitki Za Dete
Rodendenski Cestitki Za Decko
Najubavi Rodendenski Cestitki Za Sin
Rodendenski Sliki I Cestitki Za Sef
Najubavite Rodendenski Cestitki
Rodendenski Cestitki Za Dete 1 Rodenden
Rodendenski Cestitki Print
Unikatni Rodendenski Cestitki
Dopadnati Rodendenski Cestitki
Rodendenski Cestotki Za Decinja
Rodendenski Cestitki Za Deca Na Makedonski
Rodendenski Cestitki Za Majka
Rodendenski Cestitki Za Vnuce
Rodendenski Cestitki I Por Aki
Search
×
Search
Loading...
No suggestions found