Find Your Style
Women
Men
Accessories
Search for clothing, brands, styles...
×
Women
Men
Accessories
Rs7 C9
Search
Loading...
No suggestions found
81,000 INR to USD - Convert Indian rupees to US dollars | INR to USD ...
wise.com
Bharat Infra Titans: The AI Strategy That Turned INR 10K Into INR 1.2 L ...
in.investing.com
Valorant 1520 VP @ 1305 INR ( Riot Cash $15) | 3650 VP @ 3047 INR (Riot ...
amazon.in
MagicWandMedia | MAN Industries (India) Ltd Secures INR 400 Cr in New ...
magicwandmedia.in
Valorant 1520 VP @ 1305 INR ( Riot Cash $15) | 3650 VP @ 3047 INR (Riot ...
amazon.in
PVC FALSE CEILING Products at price INR 0 in Hyderabad | ARMSTRONG ...
armstrongsolutions.co.in
playstation Rs.1000 INR Gift Card Price in India - Buy playstation Rs ...
flipkart.com
DR.FIXIT TORCH SHIELD PRIMER (20 LT) Products at price INR 4300 in ...
curetechcivilservices.in
BSNL 146 INR Special Prepaid Plan Price in India - Buy BSNL 146 INR ...
flipkart.com
Ethereum Price | ETH Price Index, Live Chart and INR Converter - Binance
binance.com
Audi Opens Bookings for 2020 RS7 in India; Launch in July! » Car Blog India
carblogindia.com
Audi’s new Super Sedan – RS7 Sportback – is Coming to India on July 16 ...
carblogindia.com
Inside Rs 127-Crore Car Collection of Andrew Tate » Car Blog India
carblogindia.com
Home Page - AdTrack
adtrack.in
Inside Rs 127-Crore Car Collection of Andrew Tate » Car Blog India
carblogindia.com
Eyeglasses for Men – Kosch
koschworld.com
14500 3.7v 600mah (1c) li-ion Battery - Battery Source
batterysource.in
Audi RS7 2015 STD Exterior Car Photos - Overdrive
overdrive.in
Audi RS7 Sportback Performance Test Drive Review – The Road Runner ...
carblogindia.com
Download wallpaper 3840x2160 audi rs7, audi, car, gray, road, speed hd ...
wallpaperscraft.com
Partial Thromboplastin Time Wikipedia, 58% OFF
elevate.in
Warfarin 98% - ChemicalBook India
chemicalbook.in
Home Page - AdTrack
adtrack.in
Airsoft Rifles for Sale - Best Prices Online | Ubuy India
ubuy.co.in
BAT to INR: Convert Basic Attention Token (BAT) to Indian Rupee (INR ...
coinbase.com
Видео обои Audi Rs7 Forza на берегу (Автомобили) | 3840x2160 UHD-1
uiuiui.in
Philips - C9-4v Broadband tightly curved array transducer - Philips
philips.co.in
Kai 4031 C9 – Kosch
koschworld.com
Dune 3019 C9 – Kosch
koschworld.com
Dune 3019 C9 – Kosch
koschworld.com
RS7 591 Spinning Gyro Watch – TOC-G WATCHES
tocgwatches.com
OROP to cost Rs7,483 crore a year: Manohar Parrikar
potoolsblog.in
Solvent C9 Aromax Remax Emulsifier Manufacturer, Supplier From Indore ...
dkcorporation.co.in
Sunglasses – SHISEN FOX
shisenfox.com
12,000 Euros to Indian rupees Exchange Rate. Convert EUR/INR - Wise
wise.com
Shrewsbury India Fee Structure
shrewsburyindia.in
8 Obat Stroke yang Efektif dan Tersedia di Apotik - Alodokter
alodokter.com
DRM to INR: Convert Dreamcoin (DRM) to Indian Rupee (INR) | Coinbase ...
coinbase.com
OROP to cost Rs7,483 crore a year: Manohar Parrikar
potoolsblog.in
Adani Group announces Rs7.5 lakh cr investment plan for Rajasthan at ...
aninews.in
Sunglasses – SHISEN FOX
shisenfox.com
What is “B” in Bra Size: Full Guide to Understanding Your Bra Size – C9 ...
c9airwear.com
Kabaddi Scores, Predictions, News, Tournaments, Fixtures, Players and ...
sportscafe.in
Buy Gunmetal Blue Full Rim Round John Jacobs Pro Titanium JJ E12713-C9 ...
lenskart.com
Buy Paramint Amon Sûl (Stitched) - LOTR Lord of The Rings - Compatible ...
ubuy.co.in
Philips - C9-2 - Philips
philips.co.in
Vivo X Fold may get an 8-inch inward display with 120Hz refresh rate ...
techradar.com
List of Importers - Fruit, dehydrated - India | Kompass Business Directory
in.kompass.com
Shop Airsoft Guns & Rifles Online at Best Prices - Ubuy India
ubuy.co.in
Career | Home
ammann.com
Buy Macbooks Online on Ubuy India at Best Prices
ubuy.co.in
Correction of TDS Statements: Key Changes in Section 200(3)
taxguru.in
Captivating Costumes and Artistic Makeup Services | BookAnEvent
bookanevent.in
WALKING TOURS EN ESPAÑOL (2026) All You Need to Know BEFORE You Go ...
tripadvisor.in
Cleft palate TrueVue clinical case study - Philips
philips.co.in
Amazon.in: Buy TP-Link UH9120C USB Type-C 9 in 1 Hub|Multiport USB-C ...
amazon.in
Buy eBook Readers Online – Best Digital Reading Devices | Ubuy India
ubuy.co.in
Meizu C9 Images Gallery, Phone Color, 360 View | MobileMaya
mobilemaya.com
Vodafone Smart C9 è un Android Go da 40 euro, in vendita per adesso ...
tuttoandroid.net
RD Sharma Solutions For Class Maths Chapter Rationalisation, 43% OFF
elevate.in
Cosa Aqua 7|Buy Men's comfortable lightweight of sneakers for running ...
erescosa.in
Audi RS Q8 launched in India – Check price, features, pics and more ...
zeenews.india.com
Автомобили - видео обои
uiuiui.in
HP USB-C 7-in-1 Hub - Buy HP USB-C 7-in-1 Hub Online at Low Price in ...
amazon.in
PS5 DualSense Wireless Controller Black (Playstation 5) Products at ...
gamestrade.in
Philips-Flash-Ultrasound-System-5100-Point-of-Care - Philips
philips.co.in
A certain harbor has docking stations along its west and south docks ...
edurev.in
Watch Air Force One - Disney+ Qatar | English Spanish (Latin America ...
apps.disneyplus.com
2018 Audi RS 5 coupe launched in India at Rs 1.10 crore - IBTimes India
ibtimes.co.in
5 personality traits every Cancerian shares with Priyanka Chopra ...
vogue.in
Buy KUIU Products Online at Best Prices in India | Ubuy
ubuy.co.in
ED Records Statement Of Drug Lord Ali Asghar Shirazi's Close Aide Vijay ...
freepressjournal.in
〇【C9】デフロスタガイドクリップ | friendeeauto
friendeeauto.thebase.in
3. If a + b + c = 9 and ab + bc + ca = 26, then find a² + b² + c² ...
brainly.in
Shop | Precision Bearing House
pbh.in
Autoschlüssel Hülle Leder für BMW 1er 2er 3er 4er 5er 6er 7er X3 X4 in ...
fast-alles.net
बिहार विधानपरिषद में हंगामा! हरी टी-शर्ट देखकर भड़क गए CM नीतीश, राबड़ी ...
raftaar.in
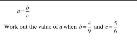
a C Work out the value of a when b=- and c 9 6 - Brainly.in
brainly.in
Mechanical Foam Fire Extinguisher - 9 Ltr Mechanical Foam Fire ...
protectorfiresafety.in
Cosa The Yellow Flash|Buy Men's comfortable lightweight of sneakers for ...
erescosa.in
Vemulawada Photos - Featured Images of Vemulawada, Rajanna Sircilla ...
tripadvisor.in
मुख्य पृष्ठ बजट अमृत रिफार्म सूचना सुझाव संपर्क
nppazamgarh.in
Damen Skier online kaufen | SportScheck
sportscheck.com
MeFSAT | MeFSAT: Medicinal Fungi Secondary metabolites And Therapeutics
cb.imsc.res.in
Optima Click To Learn An Activity- Based Computer Book Class 7: Buy ...
flipkart.com
Hidalgo del Parral Images - Vacation Pictures of Hidalgo del Parral ...
tripadvisor.in
2015 Audi RS Q3 first drive review - Overdrive
overdrive.in
नवा बजेट फोन TECNO POP 9 ची पहिली Sale अखेर भारतात सुरु, जाणून घ्या ...
digit.in
ABOUT | BELINDA OFFICIAL
belindaa.thebase.in
Sara Ali Khan Visited Vaishno Devi Says Not Enter In Cave If Sinned ...
ndtv.in
Boucher Anthony
fantascienza.com
Related Searches
2026 Audi RS7
Audi RS7 C9
Rs7 C7
2026 Rs7 Avant
Rs7 4K
First Gen Rs7
Rs7 C5
Audi RS7 C8 Advant
Audi RS Q9
Rs7 Abt
Audi RS7 Sportback
Audi Rs9
Rs7 900Bhp
Audi RS7 R Abt
RS6 Mansory
Audi RS7 First Generation
Stanced Rs7
Ауди Рс7
C9 S7 Audi
Audi A6 Avant 2026 C9
Audi R7 C8
C9 RS6 Wheel Alignment
Audi RS7 Design
New RS6 C9
Underside Rs7 C7
Audi RS7 V8
Rs7 C8
C7.5 Audi RS7
Audi RS7 Red
New Audi Rs7
RS7 Pro
Audi RS7 Avant 2026
Ауди Rs7
Audi RS7 HP
Audi RS7 Turbo
Audi C9 RS
Rs7 Mansory
Rs7 R Abt
Audi RS7 Roz
Rs7 B9
Con Rod Rs7
RS6 Wallpaper
Audi RS7 Wallpaper 1920X1080
Audi RS7 Sportback Wagon
Audi RS7 Parked
Rs7 Audi Chrome Color
Audi RS 7
Rs7 GT3
Audi RS7 C7 Wheels
Audi RS7 Fivemn
Search
×
Search
Loading...
No suggestions found