Find Your Style
Women
Men
Accessories
Search for clothing, brands, styles...
×
Women
Men
Accessories
Scalelextric Loop The Loop
Search
Loading...
No suggestions found
Micropoint PT INR Meter, Finger Prick Blood Test, Rapid 2 Min Results ...
amazon.in
Buy and Sell Canadian Dollar at the best rate | INR to CAD
orientexchange.in
E2E Networks Secures INR 420.51 Crores in Strategic Investment to ...
theweek.in
Top 10 Countries Where INR Has the Highest Value in 2025
currentaffairs.adda247.com
Dhunseri Poly Films breaks ground on INR 1,240-crore packaging plant in ...
thepackman.in
AUD TO INR TODAY AND FORECAST
dollarrupee.in
Bitcoin Price Prediction, INR India 28th January 2023: Expected Between ...
in.mashable.com
By Just Investing INR 5000 to Reaching a Revenue of INR 3 Crore: The ...
thestartuptrends.com
VietJet offers more promotional tickets for Indians priced from INR ...
safariplus.co.in
INR To Yen Conversion: An All Inclusive Guide For 2026
traveltriangle.com
Convert INR To Dirham: Top Currency Exchange Spots And More
traveltriangle.com
UFlex’s net profit surges by 116.7% YoY to INR 196.5 crore in Q1 FY ...
thepackman.in
Aerolam invests INR 100 crore in greenfield site - THE PACKMAN
thepackman.in
5 Ways To Convert INR To Thai Baht For The Lowest Fee In 2026
traveltriangle.com
INR 57 lakhs cleared for TOPS athletes in five sports by Mission ...
thebridge.in
I-League: Manipur govt. set to hand over INR 50 lacs to NEROCA, TRAU
thebridge.in
Buy Micro Scalextric Sets for Kids Age 4+ - Double Jeopardy Race Set ...
desertcart.in
Q.find the electric field at a distance z about the centre of a ...
scoop.eduncle.com
Hemodynamic Analysis on the Anastomosis Angle in Arteriovenous Graft ...
mdpi.com
Example; 8 find the electric field at a distance z above the centre of ...
scoop.eduncle.com
Loops in C: A Complete Guide
ccbp.in
What is the strength of the magnetic field at the center of the loop in ...
ask.learncbse.in
Control Memory - Computer Organization and Architecture | EduRev Notes
edurev.in
Find the mutual inductance in the arrangement, when a small circular ...
tardigrade.in
Buy Slot Car Race Track Set Electric Powered Super Loop Speedway with ...
ubuy.co.in
What is Hardware-in-the-Loop Testing? | Ansys
ansys.com
Motorized Hot Wheels Track Set with Massive Loop, India | Ubuy
ubuy.co.in
Building special constructs of nested loops in for & while loops in ‘R’
projectguru.in
A square metallic wire loop of side `"0.1 m"` and resistance of `1Omega ...
allen.in
Loops in C: A Complete Guide
ccbp.in
Top 10 Strongest Currencies in the World in 2025 (Highest Valued in INR)
currentaffairs.adda247.com
Loop Earplugs: Your life, your volume – Loop India
loopearplugs.in
We Build the LEGO: Loop Coaster, Which Features 2 Barf-Worthy Loops
in.ign.com
Building special constructs of nested loops in for & while loops in ‘R’
projectguru.in
A conducting square loop of side L and resistance moves in its plane ...
tardigrade.in
Two identical circular loops P and Q - CBSE Class 12 Physics - Learn ...
ask.learncbse.in
Top 10 Weakest Currencies in the World in 2025 (Compared to INR)
currentaffairs.adda247.com
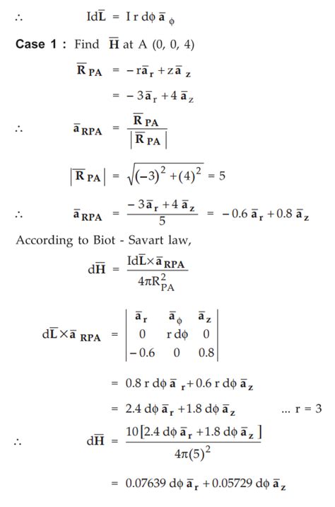
Use Biot-Savart law to derive the expression for the magnetic field ...
ask.learncbse.in
For loop flowchart
vedveethi.co.in
Buy R-Loops: Methods and Protocols: 2528 (Methods in Molecular Biology ...
amazon.in
Indian Rupee Symbol (₹): Facts about the official Currency of India
indiatimes.com
Titan Phoenix Skeletal Automatic Analog with Gun Dial Brown Leather ...
amazon.in
8 Countries Where Rupee Is Stronger; Indonesian Rupiah, Riel, SLR ...
goodreturns.in
Hot Wheels Loop & Launch - Make the Loop - Loop & Launch - Make the ...
flipkart.com
Two identical loops P and Q each of radius `5cm` are lying in ...
allen.in
Two concentric circular loops, one of radius R and the other of radius ...
tardigrade.in
The figure here shows a smooth 'looping-the-loop' track - CBSE Class 11 ...
ask.learncbse.in
7th Time Loop: The Villainess Enjoys a Carefree Life Married to Her ...
amazon.in
Magnetic field intensity (H) on the Axis of a Circular Loop
eee.poriyaan.in
The figure shows four arrangements of circular loops of radius r or 2r ...
brainly.in
Two identical circular loops P and Q carrying equal currents are placed ...
allen.in
A long solenoid with 15turns per cm has a small loop of area 2.0cm2 ...
edurev.in
Control Flow Statement in C++ - C++ Tutorial
sitesbay.com
Two identical circular loops, P and Q each of radius r and carrying ...
allen.in
a. Define mutual inductance and write its SI unit. b. Two circular ...
iqclasses.in
Two identical circular loops P and Q - CBSE Class 12 Physics - Learn ...
ask.learncbse.in
Ostomy (ileostomy or colostomy) | Dr. Nikhil Agrawal
drnikhilagrawal.com
In the loops shown in fig. all curved section are either semicircles or ...
allen.in
Buy ScalextricDigital Racing Track Sets for Kids - ARC AIR: World GT ...
desertcart.in
A current i is flowing through the loop. The direction of the current ...
tardigrade.in
Indian Rupee against US Dollar since 1947 - Insights
news.faltupana.in
ELPLACER lateral displacement roller system
erhardt-leimer.com
Lyla in the Loop Watch Party with PBS KIDS Utah!, Glendale Branch, Salt ...
allevents.in
For loop in C Language | For Loop Program | C langauge notes
gnbclasses.in
Magnetic field intensity (H) on the Axis of a Circular Loop
eee.poriyaan.in
Buy Loop Engage Earplugs for Conversation – Low-Level Noise Reduction ...
ubuy.co.in
Magnetic Dipole : Magnetic Dipole Moment and Properties|Chemistry Page
chemistrypage.in
A straight conductor carrying current i splits into two parts as shown ...
tardigrade.in
Loops in java || CseWorld Online
cseworldonline.com
Oliver's - Review - South Loop - Chicago - The Infatuation
theinfatuation.com
What is the strength of the magnetic field at the center of the loop in ...
ask.learncbse.in
What is the strength of the magnetic field at the center of the loop in ...
ask.learncbse.in
A square metal loop of side 10 cm and resistance 1Ω is moved with a ...
tardigrade.in
Buy Scalextric BTCC Honda Civic Type R Donington Park 2016 Yuasa Racing ...
desertcart.in
Loop - Chicago - The Infatuation
theinfatuation.com
Types of Fire Alarm Systems with Wiring Diagrams or Loops - DEdu Labs ...
dedulabs.in
Stay in the Loop with TLS – The Language SKOOL
thelanguageskool.in
MOTIVATION OF THIS PROJECT
home.iitk.ac.in
Two co-planar circular loops are placed concentrically as shown in ...
tardigrade.in
15. A rectangular loop ABCD carrying a current I is situated near a ...
brainly.in
C1431M Scalextric Scalextric 1980s TV - Back to the Future vs Knight ...
themodelcentre.com
Buy Froot LoopsKellogg’s , Breakfast Cereal, Original, Good Source of ...
desertcart.in
An airplane flying at a velocity of 900 km h- 1 loops the loop. If the ...
tardigrade.in
SOFTWARE TESTING METHODOLOGIES - ADITYA ENGINEERING COLLEGE
mcr.org.in
Loops in Java - Types, Syntax and Examples | FITA Academy
fitaacademy.in
Ed Sheeran | Loop Tour, Optus Stadium, Perth, 31 January 2026 | AllEvents
allevents.in
Buy Renon, 100 Counts 1μl Inoculating Loops, Sterile EO(Ethylene Oxide ...
desertcart.in
Activity: Common Emitter Amplifier Loop Gain [Analog Devices Wiki]
wiki.analog.com
Buy Kellogg's Froot Loops Cold Breakfast Cereal, Fruit Flavored ...
ubuy.co.in
Apple introduces the advanced new Apple Watch Series 9 - Apple (IN)
apple.com
A square metal wire loop of side 10 cm and resistance 1 Ω is moved with ...
brainly.in
Smartphones, Wearables & Co – brauchen wir noch Holter-EKGs und Loop-R ...
universimed.com
How to Use do While Loop in Flowchart?
edrawmax.wondershare.com
A solid sphere of radius r rolls without slipping from rest from a ...
brainly.in
Bhool Chuk Maaf ending explained: Will Ranjan and Titli end up together?
lifestyleasia.com
Buy Kellogg's Froot Loops Breakfast Cereal, Fruit Flavored, Breakfast ...
desertcart.in
Lashing loops set for BMW R 100 Model | Motorcycle Accessory Hornig
motorcycleparts-hornig.com
Bajaj Allianz Pune Half Marathon sees over 20,000 participants
thebridge.in
How Retailer-Supplier Ties Create More Value
nielseniq.com
Microsoft Loop – Apps on Google Play
play.google.com
G1177M Scalextric Micro Scalextric Batman vs Joker The Race For Gotham ...
themodelcentre.com
Magnetic field intensity (H) on the Axis of a Circular Loop
eee.poriyaan.in
R&S®HFH2-Z2E active loop antenna | Rohde & Schwarz
rohde-schwarz.com
Find magnetic field b at the centre of square loop of side a carrying a ...
brainly.in
Buy Apple Watch Series 10 GPS + Cellular, 46mm Rose Gold Aluminium Case ...
apple.com
Waste Management Agency | Rekart
rekart.co.in
Two very small identical circular loops (1) and (2) carrying equal ...
ask.learncbse.in
A square wire loop with side L=1.0 m sides is perpendicular to a ...
tardigrade.in
Apple introduces the advanced new Apple Watch Series 9 - Apple (IN)
apple.com
Urban Climate Downscaling Portal
ucdp.icwar.iisc.ac.in
2017 Jaguar F-Pace Loops the Loop in Record-Breaking Reveal
motortrend.com
Buy Twisting Glow In the Dark Light Up Race Car Tracks - Ultimate Loop ...
ubuy.co.in
7th Time Loop: The Villainess Enjoys a Carefree Life Married to Her ...
amazon.in
C1434M Scalextric Scalextric ARC AIR - World GT 1:32 Sets
themodelcentre.com
Find integral B.dl over following loops (Direction in which integration ...
brainly.in
MTMA-SECA C Language: UNIT 4: Decision Making and Branching
uluberiacollegeapp.in
Best Low-Budget Tourist Places In West Bengal | Herzindagi
herzindagi.com
[Solved] Given below are two statements, one is labelled as Assertion ...
cracku.in
Amazon.in Bestsellers: The most popular items in Ear Plugs
amazon.in
West Loop - Chicago - The Infatuation
theinfatuation.com
Related Searches
Pendant Loop
Loop Fox
Loop Necklace
Square Loop
C Loop
Loop Symbol
Do Loop Flowchart
Double Loop Chain
Magic Loop Knitting
Looping In
Loop GID
Control Loop Diagram
Loop Unicode
While Loop in Diagram
Scratch Loop Blocks
Swen Loop
Loop Imagen
Flow Control Loop Diagram
Inoculation Loop
Pa11 Loop
Amick Loop
Gaydeon Loop
Desth Loop
While Loop Arduino
General Flowchart While Loop
Trip Loop IRA
The Loop UCL
What Is Loop in Flowchart
Closed Loop Control System Block Diagram
Roller Coaster Loop
For Loop vs While in Flowchart
Loop Unvierse
Nested Loop Example
N C-Ring Loop
For Loop Scharp
A Loop or Circle Is the Simplest Type of Track Designs
Types of Loops
For Loop MATLAB Flowchart
Switch Loop Wiring Diagram
Code Flow Chart for Loop
Face Loop
Loop Shal AA
Loop Emji
For Loop Example
Clark Loop
Flow Loop Diagram
Loop Lainio
Bouclé Loop
Loop PNG Picture
Instrument Loop Diagram
Search
×
Search
Loading...
No suggestions found