Find Your Style
Women
Men
Accessories
Search for clothing, brands, styles...
×
Women
Men
Accessories
Scilab Code For Unit Step Function
Search
Loading...
No suggestions found
Executing scilab code
ee32-iitb.vlabs.ac.in
Executing scilab code
ee32-iitb.vlabs.ac.in
Executing scilab code
ee32-iitb.vlabs.ac.in
Scilab-codes - ggukygtfytrsdfgui;ohgfy - ******************** Scilab ...
studocu.com
intlinprog | Scilab.in
scilab.in
intfminimax | Scilab.in
scilab.in
Operations on Signals
ece.poriyaan.in
Operations on Signals
ece.poriyaan.in
Scilab for Mathematics (21EEL384)
azdocuments.in
Important 2 mark Questions with Answers
ece.poriyaan.in
Given a unit step function u(t), its time-derivative is - Brainly.in
brainly.in
What is unit step function? - EduRev Electronics and Communication ...
edurev.in
quadprog | Scilab.in
scilab.in
Transformation of Random Variables
ece.poriyaan.in
Implementing MPC
ee32-iitb.vlabs.ac.in
Scilab Toolbox Hackathon
scilab.in
Important 2 mark Questions with Answers
ece.poriyaan.in
Fourier Transform of Unit Step Function Video Lecture - Crash Course ...
edurev.in
Important 2 mark Questions with Answers
ece.poriyaan.in
Semester 2 Scilab 1, 2, and 3 - SCILAB-1: TRACING OF CURVES //Circle ...
studocu.com
Important 2 mark Questions with Answers
ece.poriyaan.in
The function x(t) is shown in the figure. Even and odd parts of a unit ...
edurev.in
Important 2 mark Questions with Answers
ece.poriyaan.in
Code Particle in an infinite potential well' - A code in Scilab to plot ...
studocu.com
Transform of Unit Step Function
archive.nptel.ac.in
Circular Tank Design problem | Scilab.in
scilab.in
The function x(t) is shown in the figure. Even and odd parts of a unit ...
edurev.in
Code: D-15
iete-elan.ac.in
The Fourier transform of unit step function u(t) is
prepp.in
Generalized Functions , Unit Step Function , Signum Function Video ...
edurev.in
Code: AE06
iete-elan.ac.in
Download Codes | Scilab.in
scilab.in
Scilab Toolbox Hackathon
scilab.in
Download Codes | Scilab.in
scilab.in
Important 2 mark Questions with Answers
ece.poriyaan.in
Home | Scilab.in
scilab.in
Download Codes | Scilab.in
scilab.in
Download Codes | Scilab.in
scilab.in
Procedure | Scilab.in
scilab.in
Xcos Fellowship 2018 | Scilab.in
scilab.in
Home | Scilab.in
scilab.in
Nginx Indexer
static.fossee.in
Index of /floss-arduino/manuals/fossee-scilab-arduino/spoken/screenshots/
static.fossee.in
Tutorial - Understanding Recursion - Hoptop Online Judge
hpoj.cb.amrita.edu
Transformation of Random Variables
ece.poriyaan.in
Home | Scilab.in
scilab.in
Home | Scilab.in
scilab.in
Index of /floss-arduino/manuals/fossee-scilab-arduino/user-code/modbus ...
static.fossee.in
Transformation of Random Variables
ece.poriyaan.in
Continuous Delivery/Deployment on AWS
posistrength.com
Index of /floss-arduino/manuals/fossee-scilab-arduino/user-code/modbus ...
static.fossee.in
AWS Lambda Destinations vs Step Functions - Build Microservices - Cloud ...
rajeshbhojwani.co.in
20. what is the laplace transform of a delayed unit impulse function ...
scoop.eduncle.com
Index of /floss-arduino/manuals/fossee-scilab-arduino/user-code/modbus ...
static.fossee.in
Code: AE06
iete-elan.ac.in
Two-Step Function Machines Activity Pack
twinkl.co.in
Nginx Indexer
static.fossee.in
Steady-State Errors - Control Systems - Electrical Engineering (EE) PDF ...
edurev.in
Nginx Indexer
static.fossee.in
Index of /floss-arduino/manuals/fossee-scilab-arduino/user-code/modbus ...
static.fossee.in
Assignment - Statistical mechanics scilab - // Q1 a) to plot the Planck ...
studocu.com
Notes on Scilab
ee.iitb.ac.in
Nginx Indexer
static.fossee.in
Scilab-Arduino Workshop 2015 - Invitation
fossee.in
Identification of Transfer Function of a Single Board Heater System ...
ee32-iitb.vlabs.ac.in
Important 2 mark Questions with Answers
ece.poriyaan.in
Two-Step Function Machines Activity Pack (teacher made)
twinkl.co.in
Nginx Indexer
static.fossee.in
Energy and Power Signals
ece.poriyaan.in
Index of /floss-arduino/manuals/fossee-scilab-arduino/user-code/modbus ...
static.fossee.in
Classification of Signals and Systems - Signal, Elementary Signals
ece.poriyaan.in
Relation between Unit Impulse and Unit Step Signals Video Lecture ...
edurev.in
Transformation of Random Variables
ece.poriyaan.in
CS 435 2016 version
cse.iitb.ac.in
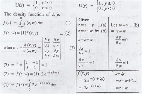
Transformation of random variables - Solved Example Problems | Two ...
eee.poriyaan.in
👉 Y6 Intervention: Missing Values Two-Step Function Machine
twinkl.co.in
Index of /floss-arduino/manuals/fossee-scilab-arduino/user-code/sw-env ...
static.fossee.in
Index of /floss-arduino/manuals/fossee-scilab-arduino/user-code/sw-env ...
static.fossee.in
Tutorial - Understanding Pointers in C - Part 4 - Hoptop Online Judge
hpoj.cb.amrita.edu
Index of /floss-arduino/manuals/fossee-scilab-arduino/user-code/sw-env ...
static.fossee.in
CDEEP SAS
archive.nptel.ac.in
Signals and Systems by Alan V. Oppenheim, Alan V. Willsky, S.Hamid ...
scilab.in
Index of /floss-arduino/manuals/fossee-scilab-arduino/user-code/modbus ...
static.fossee.in
Nginx Indexer
static.fossee.in
Transformation of Random Variables
ece.poriyaan.in
Nginx Indexer
static.fossee.in
Code: AE06
iete-elan.ac.in
INTRODUCTION TO DIGITAL SIGNAL PROCESSING USING ... By MOHAMMAD ATIQUE
vikaspublishing.com
Transformation of Random Variables
ece.poriyaan.in
Index of /floss-arduino/manuals/fossee-scilab-arduino/user-code/modbus ...
static.fossee.in
Transformation of Random Variables
ece.poriyaan.in
What is the power and energy of the unit step sequence u(n ...
edurev.in
Index of /floss-arduino/manuals/fossee-scilab-arduino/user-code/modbus ...
static.fossee.in
Osdag | Scilab.in
scilab.in
What is GPU? GPU Full Form, Meaning & How It Works
cantech.in
Index of /floss-arduino/manuals/fossee-scilab-arduino/user-code/sw-env ...
static.fossee.in
Nginx Indexer
static.fossee.in
Control & Computing | IIT Bombay
ee.iitb.ac.in
Identification of Transfer Function of a Single Board Heater System ...
ee32-iitb.vlabs.ac.in
Signals and Systems for JNTU-H 18 Course (III - II - EEE - EE601PC & I ...
technicalpublications.in
Transformation of Random Variables
ece.poriyaan.in
Index of /floss-arduino/manuals/fossee-scilab-arduino/user-code/modbus ...
static.fossee.in
M codes or miscellaneous function (M) - Programming of CNC Machine ...
mech.poriyaan.in
Model Question Paper with Answer - 2 (PART A) - Electric Circuit Analysis
eee.poriyaan.in
What is Modbus and How does it work? | Schneider Electric India
se.com
Function in Python – Girish Godage
girishgodage.in
Transformation of random variables - Solved Example Problems | Two ...
eee.poriyaan.in
Convolution Theorem and Fourier Series Analysis (MATH 36017) - Studocu
studocu.com
Nginx Indexer
static.fossee.in
Tutorial - Understanding Pointers in C - Part 4 - Hoptop Online Judge
hpoj.cb.amrita.edu
Matching Objects with their functions - Activity Sheet
twinkl.co.in
Make Your Own Function Machine Worksheet
twinkl.co.in
Contents
archive.nptel.ac.in
Index of /floss-arduino/manuals/fossee-scilab-arduino/user-code/sw-env ...
static.fossee.in
Transformation of random variables - Solved Example Problems | Two ...
eee.poriyaan.in
👉 One-Step Function Machines (Number)
twinkl.co.in
Buy Interpreting Lung Function Tests: A Step-by Step Guide Book Online ...
amazon.in
exec() Function In Python - Detailed Guide With Code
geekpython.in
Model Question Paper with Answer - 2 (PART A) - Electric Circuit Analysis
eee.poriyaan.in
Solved: The table gives the volume of cylinders where the height Which ...
gauthmath.com
Search
×
Search
Loading...
No suggestions found