Find Your Style
Women
Men
Accessories
Search for clothing, brands, styles...
×
Women
Men
Accessories
Scp 001 Power
Search
Loading...
No suggestions found
Top 10 Countries Where INR Has the Highest Value in 2025
currentaffairs.adda247.com
Sterlite Power secures new orders worth INR 1200 crores in Q2 FY’25
psuconnect.in
Scienticy 2600mAh (26E) 3.7V dmegc INR 18650 Rechargeable Lithium Ion ...
flipkart.com
TVS XL100 Heavy Duty Moped Launched @ INR 36,109 - MOTOAUTO
motoauto.in
SCP-001: The SCP Foundation’s best-kept secret finally revealed ? eBook ...
amazon.in
SCP-50-12 MEAN WELL | MEAN WELL Switching Power Supply, SCP-50-12, 13 ...
in.rsdelivers.com
SCP30S3.3-DN SolaHD | SolaHD SCP Switched Mode DIN Rail Power Supply ...
in.rsdelivers.com
SCP-50-12 MEAN WELL | MEAN WELL Switching Power Supply, SCP-50-12, 13 ...
in.rsdelivers.com
Furuno Power Supply PR-300 at ₹ 2000/piece | Single Output Power Supply ...
indiamart.com
Nice Power R-SPS6010 60V 10A 600w4-Digit Adjustable AC Power Supplies ...
amazon.in
SCP Series One Field Manual (SCP Field Manuals Book 1) eBook: SCP ...
amazon.in
Tata Power Vs Adani Power: Comparison Of Financials & Performance ...
pocketful.in
Hp Power Supply Units - Buy Hp Power Supply Units Online at Best Prices ...
flipkart.com
hp 776620-001 smart ac adapter (150w) - 4.5mm barrel connector- Black ...
amazon.in
Direct Oral Anticoagulants Are Associated with Superior Survival ...
mdpi.com
power control system 001 Power Supply Electronic Hobby Kit Price in ...
flipkart.com
Tata Power Vs Adani Power: Comparison Of Financials & Performance ...
pocketful.in
MITEL SX-50 ONS LINE CARD 9104-020-001-SA 133079301 9104020001SA ...
unitedmarineservices.in
Tata Power Vs Adani Power: Comparison Of Financials & Performance ...
pocketful.in
Power Converters Store | Buy Voltage & Transformer Power Converter ...
ubuy.co.in
Amigo Life
amigolife.in
Power Converters Store | Buy Voltage & Transformer Power Converter ...
ubuy.co.in
National Oilwell Varco 10055578-001 Power Supply Board – Aeliya Marine Tech
aeliyamarinetech.com
Power Converters Store | Buy Voltage & Transformer Power Converter ...
ubuy.co.in
HP 3PAR Storeserv 7200/7400 764W Power Supply W/O Battery 683239-001 ...
xfurbish.com
Esab 487318-001 Power Board 94V – Aeliya Marine Tech
aeliyamarinetech.com
HPE 800W Flex Slot Universal Hot Plug Low Halogen Power Supply Kit ...
xfurbish.com
Power Converters Store | Buy Voltage & Transformer Power Converter ...
ubuy.co.in
India-assisted Mangdechhu Hydroelectric Project handed over
constructionworld.in
Shop for Robot Coupe Kitchen Equipment | Ubuy India at Best Prices
ubuy.co.in
Buy Siren Head Costume Kids SCP Halloween Costume Urban Legend Cosplay ...
ubuy.co.in
HP Zbook 230W Slim Smart 4.5mm AC Adapter (6E6M1AA) - Shop HP.com India
hp.com
boAt 20000 mAh 22.5 W Pocket Size Power Bank Price in India - Buy boAt ...
flipkart.com
Esab 487318-001 Power Board 94V – Aeliya Marine Tech
aeliyamarinetech.com
Buy Jonsbo Products Online at Best Prices in India | Ubuy
ubuy.co.in
India and Malaysia can now trade in Indian rupee
currentaffairs.adda247.com
[ORIGINAL] Hp 584037-001 Laptop Charger - 65W Genuine AC Adapter
lapalfa.com
The Safety of Apixaban Compared to Warfarin in Hospitalized Patients ...
mdpi.com
Welcome [www.dlpindia.in]
dlpindia.in
Hp 608428-001 Dc Power Supply Series Ppp012L-e – Aeliya Marine Tech
aeliyamarinetech.com
9+ Free Editable Source Code Agreement Templates in MS Word [DOC ...
pdffiller.com
hp 776620-001 smart ac adapter (150w) - 4.5mm barrel connector- Black ...
amazon.in
Warfarin and Antibiotics: Drug Interactions and Clinical Considerations
mdpi.com
Bytur
bytur.in
Buy Deal4GO ON/Off Eject SYNC Bind Power Button Switch RF Board w ...
desertcart.in
Scarlet King dwarfs true form SCP-682 in power and would absolutely ...
brainly.in
Abb Dsqc662 Power Distribution Unit 3Hac026254-001/11 – Aeliya Marine Tech
aeliyamarinetech.com
SONY New Launch ULT Tower 10 Party Speaker with ULT Button(2 Modes) for ...
amazon.in
Industrial Power Solutions – TDK-Lambda | DigiKey
digikey.in
Buy Iuuy Products Online at Best Prices in India | Ubuy
ubuy.co.in
Buy REDMAGIC Products Online at Best Prices in India | Ubuy
ubuy.co.in
Best Online Shopping Store in Bangalore for Top Global Brands | Ubuy
ubuy.co.in
Laplogix 65W 4.5MM Blue Pin Laptop Charger for HP 14-R000 Series 19.5V ...
amazon.in
Shop Pagers Online | Ubuy India
ubuy.co.in
Buy REDMAGIC Products Online at Best Prices in India | Ubuy
ubuy.co.in
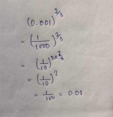
find the value of (0.001)power 2/3 - Brainly.in
brainly.in
Buy REDMAGIC Products Online at Best Prices in India | Ubuy
ubuy.co.in
Bytur
bytur.in
Baseus Golden Contactor Pro Fast Car Charger USB Type C / USB 40 W Pow ...
baseusindiaofficial.com
SCP-X Series Power Supplies - SolaHD | DigiKey
digikey.in
Bytur
bytur.in
SCP: Secure Contain Protect - Scp Foundation T Shirt | OSOM Tees Men's ...
osom.in
Shop Pagers Online | Ubuy India
ubuy.co.in
Nice Power R-SPS6010 60V 10A 600w4-Digit Adjustable AC Power Supplies ...
amazon.in
EE BV EI 84-01/0001/001 Power Transformer 500V/ 50Hz – Aeliya Marine Tech
aeliyamarinetech.com
Buy SCP Plush, 9.8in/25cm SCP 131 Plush, SCP Eye Pods Plush, Slime ...
desertcart.in
8 Obat Stroke yang Efektif dan Tersedia di Apotik - Alodokter
alodokter.com
Amigo Life
amigolife.in
Effect of Warfarin on Lifespan and Oxidative Stress Tolerance of ...
mdpi.com
Power Converters Store | Buy Voltage & Transformer Power Converter ...
ubuy.co.in
Buy Iuuy Products Online at Best Prices in India | Ubuy
ubuy.co.in
Lenovo ThinkPad X1 Carbon Gen 12 Review: A True Power Player - BW ...
businessworld.in
Buy Iuuy Products Online at Best Prices in India | Ubuy
ubuy.co.in
Bytur
bytur.in
CII KERALA HEALTH TOURISM 2025
ciikeralahealthtourism.in
Amigo Life
amigolife.in
Carte d'accès de grade spécial avec logo cosplay PVC rigide de la garde ...
fr.shein.com
Electrical Power Explained – Part 3: Balanced three-phase AC power | Fluke
fluke.com.au
Sell Old Motorola Moto G24 Power Online & Get Instant Cash At Doorstep ...
cashify.in
BMR4668004/001 Flex Power Modules | Power Supplies - Board Mount | DigiKey
digikey.in
Shop Electronics Products Online in India – Top Gadgets & Accessories ...
ubuy.co.in
Buy Rimowa High-Quality Luggage, Suitcases & Bags Online in Ubuy India
ubuy.co.in
Buy REDMAGIC Products Online at Best Prices in India | Ubuy
ubuy.co.in
Buy 16 Channel CCTV Camera Power Supply - 12VDC - 10Amps Online at Low ...
amazon.in
shop
curetechcivilservices.in
Fillable Online sec gov SEC FORM ExA-001-R - Securities and Exchange ...
pdffiller.com
SIP vs STP: What is the difference between these two mutual fund ...
zeebiz.com
Shark Tank India: 'Calorie Crusher' maker bags Rs 1 crore deal from ...
zeebiz.com
Uses and SideEffects of Warfarin: What You Need to Know
medicoverhospitals.in
Haryog enterprises 001 Power Supply Electronic Hobby Kit Price in India ...
flipkart.com
Webby Mini Coke Can High Speed RC Micro Racing Car, Assorted : Amazon ...
amazon.in
GeForce.com Titanfall 2 Anti-Aliasing Interactive Comparison: 8x MSAA ...
images.nvidia.com
Buy REDMAGIC Products Online at Best Prices in India | Ubuy
ubuy.co.in
Warfarin Dose Adjustment Chart - Fill Online, Printable, Fillable ...
pdffiller.com
A121-001-T&R Acconeer AB | Sensors, Transducers | DigiKey
digikey.in
Shop for Robot Coupe Kitchen Equipment | Ubuy India at Best Prices
ubuy.co.in
Portable P.A. Systems
megaindia.in
Dell PowerEdge R740 Rack Server : Servers | Dell India
dell.com
New Regime Income Tax Calculations: How 14% employer NPS contribution ...
zeebiz.com
Portable P.A. Systems
megaindia.in
Amigo Life
amigolife.in
Buy Absolute Anticoagulant Journal: A Comprehensive logbook for ...
desertcart.in
Buy FUNDAMENTALS OF POWER ELECTRONICS 3ED (HB 2020) Book Online at Low ...
amazon.in
SPAREWARE® Power Volume Button Out Key Side Button Body Button for ...
amazon.in
Placement 2021 22, TKIET, Warana
tkietwarana.ac.in
Buy NinjaBatt Battery for HP 807956-001 HS03 HS04 807957-001 807611-421 ...
ubuy.co.in
Five Times The RBI Has Withdrawn Or Demonetised Indian Currency Notes
indiatimes.com
Bytur
bytur.in
DEEBOT X1 OMNI - ECOVACS Website
ecovacsindia.in
MP-89 P.A Megaphones
megaindia.in
GeForce.com Gears of War 4 Temporal AA Sharpening Interactive ...
images.nvidia.com
Buy Coloring Sheets creature Power Discs inspired Online in India - Etsy
etsy.com
The Aston Martin Superbike: Everything To Know About the AMB 001 Pro
augustman.com
Best International Online Shopping Store in Chennai for Global Brands ...
ubuy.co.in
UNO MINDA S21042 Power Window Switch Driver Side(2) Wagon R(New Model ...
partsbigboss.in
Incidence of Osteoporosis in Primary Care Patients with Atrial ...
mdpi.com
Buy Mobile Phone Accessories Online on Ubuy India at Best Prices
ubuy.co.in
Placement 2021 22, TKIET, Warana
tkietwarana.ac.in
Buy Gel Blaster Products Online at Best Prices | Ubuy India
ubuy.co.in
Next tranche of Bharat Bond ETF opens tomorrow: 10 things on NFO | Mint
livemint.com
Related Searches
SCP 001 Gatekeeper
SCP 001 Drawing
Strongest SCP 001
SCP 001 Guardian
SCP Foundation SCP 001
SCP 001 Gate Guardian Art
What Is the Real SCP 001
SCP 001 Label
All SCP 001
SCP 001 Ex
Pics of SCP 001
SCP-3999
SCP 001 Alpha
SCP Power
SCP 001 Entries
SCP 001 God
SCP 001 Red
SCP 001 File
What Does SCP 001 Look Like
SCP 001 Blue
SCP 001 Real Life
SCP 001 Info
001 SCP Melted
SCP 001 Name
SCP Poster
SCP 00 One
All SCP 001 Proposals
SCP Power Boxes
SCP-01
What Is SCP 000
SCP 3812 Powers
SCP 001 Blur
SCP 001 Amino Apps
SCP 3834 Power
SCP 002 Images
SCP Power Source
SCP Power Structure
SCP True Power
SCP 001 Memetic Kill Agent
SCP Primary Power
SCP 001 You Been Awfully Quiet
SCP 2 000 000
Human Melting From SCP 001
SCP Pour Levl
SCP 000 Explained
Who Has the Most Power in SCP
SCP 001 Female Amino Apps
Kid Got SCP Power
SCP 001 The Broken God Art
SCP Site That Uses Power Core
Search
×
Search
Loading...
No suggestions found