Find Your Style
Women
Men
Accessories
Search for clothing, brands, styles...
×
Women
Men
Accessories
Scp 6543
Search
Loading...
No suggestions found
INR Full Form: What is full form of INR?
bankersadda.com
Goldstone Tech acquires 'WowTruck' at INR 8 cr
psuconnect.in
MCL signs INR 7.02 crore MoU for AAROGYA initiative
psuconnect.in
Best Women Watches Under INR 15K | LBB
lbb.in
Ugro Capital Crosses Inr 10000 crore aum milestone launches 10k ...
psuconnect.in
India Saves INR 35,000 Crore By Buying Discounted Oil from Russia » Car ...
carblogindia.com
BTC to INR Converter, Convert Bitcoin to INR Exchange 2022 - Exchanger24
exchanger24.org
ValueQuest Enters PE Segment With INR 1,000 Cr Fund
businessoutreach.in
Lava Yuva Pro is a new sub-8000 INR phone with triple cameras and a ...
digit.in
Buy 80 Pcs White Paper Hand Fan and 80 Pcs Thank You for Celebrating ...
ubuy.co.in
Buy J.Poole - Special Agent of the SCP foundation: Book 1 (SCP ...
desertcart.in
Buy Siren Head Costume Kids SCP Halloween Costume Urban Legend Cosplay ...
ubuy.co.in
Buy 100 Pack Solderless LED Tape Light Connector 2 Pin Screw Down ...
ubuy.co.in
Buy 100 Pack Solderless LED Tape Light Connector 2 Pin Screw Down ...
ubuy.co.in
Buy 100 Pack Solderless LED Tape Light Connector 2 Pin Screw Down ...
ubuy.co.in
SCP Foundation Secure Access Card Level 5 U.S. Branch : Amazon.in: Toys ...
amazon.in
Buy SCP Plush, 9.8in/25cm SCP 131 Plush, SCP Eye Pods Plush, Slime ...
desertcart.in
SCP: Secure Contain Protect - Scp Foundation T Shirt | OSOM Tees Men's ...
osom.in
Latest Car & Bike News & Reviews | BBC Topgear India Magazine
topgearmag.in
Traditional Shine Emerald Ruby Bangles – Rubans
rubans.in
Buy ಮಲಗುವ ಕೋಣೆ ದೊಡ್ಡ ಕೊಠಡಿ ಮತ್ತು ಅಗತ್ಯ ತೈಲ ಡಿಫ್ಯೂಸರ್ಗಾಗಿ ಬ್ರೀಜೋಮ್ 6 ಎಲ್ ...
ubuy.co.in
Buy Mini Fridge, Potiry 6 Liter AC/DC Portable Thermoelectric Cooler ...
ubuy.co.in
Buy ಮಲಗುವ ಕೋಣೆ ದೊಡ್ಡ ಕೊಠಡಿ ಮತ್ತು ಅಗತ್ಯ ತೈಲ ಡಿಫ್ಯೂಸರ್ಗಾಗಿ ಬ್ರೀಜೋಮ್ 6 ಎಲ್ ...
ubuy.co.in
Buy Mini Fridge, Potiry 6 Liter AC/DC Portable Thermoelectric Cooler ...
ubuy.co.in
Buy 35 inch Traffic Advisor Light Bar 144 LED Blue White Emergency ...
ubuy.co.in
Buy ಮಲಗುವ ಕೋಣೆ ದೊಡ್ಡ ಕೊಠಡಿ ಮತ್ತು ಅಗತ್ಯ ತೈಲ ಡಿಫ್ಯೂಸರ್ಗಾಗಿ ಬ್ರೀಜೋಮ್ 6 ಎಲ್ ...
ubuy.co.in
Buy ಮಲಗುವ ಕೋಣೆ ದೊಡ್ಡ ಕೊಠಡಿ ಮತ್ತು ಅಗತ್ಯ ತೈಲ ಡಿಫ್ಯೂಸರ್ಗಾಗಿ ಬ್ರೀಜೋಮ್ 6 ಎಲ್ ...
ubuy.co.in
Buy INR's Farm Fresh Premium Pellets Food for Rabbits | 1 KG Advanced ...
amazon.in
Buy Absolute Anticoagulant Journal: A Comprehensive logbook for ...
desertcart.in
India shining: Rupee inches closer to becoming international currency ...
timesnownews.com
Discover The Best Brands & Recommendations For Basics | LBB
lbb.in
Buy 100 Pack Solderless LED Tape Light Connector 2 Pin Screw Down ...
ubuy.co.in
Buy Glass Turtle Tank, SILICAR Tortoise Habitat Reptile Terrarium with ...
ubuy.co.in
Warfarin and Antibiotics: Drug Interactions and Clinical Considerations
mdpi.com
Buy Glass Turtle Tank, SILICAR Tortoise Habitat Reptile Terrarium with ...
ubuy.co.in
How Indian Rupee Stands Against Other Major Currencies
indiatimes.com
Did You Know About India's Rs 10,000 Rupee Note
indiatimes.com
Buy Glass Turtle Tank, SILICAR Tortoise Habitat Reptile Terrarium with ...
ubuy.co.in
Indian Financial System, 5e by H R Machiraju
vikaspublishing.com
Uses and SideEffects of Warfarin: What You Need to Know
medicoverhospitals.in
Madurai, Rameshwaram, Kanyakumari with Kovalam Temple Trip Package ...
hellotravel.com
Justice Design Group CER-6543-MYLW-NCKL-RIGID Radiance 15" Wide Pendant ...
fergusonhome.com
Anticoagulation in Acute Pulmonary Embolism: Which Drug? How Long ...
universimed.com
Justice Design Group CER-6543-CLAY-NCKL-RIGID Radiance 15" Wide Pendant ...
fergusonhome.com
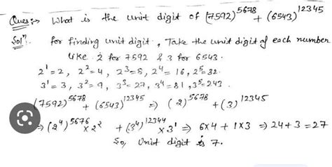
Find the unit digit of (7592)⁵⁶⁷⁸⁹ + (6543)¹²³⁴⁵ - Brainly.in
brainly.in
Carte d'accès de grade spécial avec logo cosplay PVC rigide de la garde ...
fr.shein.com
USD/INR forecast: Indian bond yields plunge ahead of RBI decision By Invezz
in.investing.com
Buy Andis TS-1 Gold Titanium Foil Shaver Online at Lowest Price in ...
ubuy.co.in
Madurai, Rameshwaram, Kanyakumari with Kovalam Temple Trip Package ...
hellotravel.com
Buy Mini Fridge, Potiry 6 Liter AC/DC Portable Thermoelectric Cooler ...
ubuy.co.in
Buy Glass Turtle Tank, SILICAR Tortoise Habitat Reptile Terrarium with ...
ubuy.co.in
Save with your AU Bank Salary Account | AU Small Finance Bank
aubank.in
Buy ಮಲಗುವ ಕೋಣೆ ದೊಡ್ಡ ಕೊಠಡಿ ಮತ್ತು ಅಗತ್ಯ ತೈಲ ಡಿಫ್ಯೂಸರ್ಗಾಗಿ ಬ್ರೀಜೋಮ್ 6 ಎಲ್ ...
ubuy.co.in
Audio Power Amplifier, 2x15W + 20W Hi-Fi 2.1CH HiFi Stereo Subwoofer ...
amazon.in
Buy ಮಲಗುವ ಕೋಣೆ ದೊಡ್ಡ ಕೊಠಡಿ ಮತ್ತು ಅಗತ್ಯ ತೈಲ ಡಿಫ್ಯೂಸರ್ಗಾಗಿ ಬ್ರೀಜೋಮ್ 6 ಎಲ್ ...
ubuy.co.in
Fake notes worth over Rs 14 lakh in Rs 500 denominations seized in Odisha
odishatv.in
Buy Mini Fridge, Potiry 6 Liter AC/DC Portable Thermoelectric Cooler ...
ubuy.co.in
Warfarin Dose Adjustment Chart - Fill Online, Printable, Fillable ...
pdffiller.com
1 million dong in indian rupees - Brainly.in
brainly.in
Buy 80 Pcs White Paper Hand Fan and 80 Pcs Thank You for Celebrating ...
ubuy.co.in
USD/INR Cracks Big: Falls 2% in 4 Days! | Investing.com India
in.investing.com
Buy Mini Fridge, Potiry 6 Liter AC/DC Portable Thermoelectric Cooler ...
ubuy.co.in
Madurai, Rameshwaram, Kanyakumari with Kovalam Temple Trip Package ...
hellotravel.com
Manager Dashboard
scp2.cirrius.in
Buy Andis TS-1 Gold Titanium Foil Shaver Online at Lowest Price in ...
ubuy.co.in
Jio: Reliance Jio Q3 profit rises by 28% to Rs 4,638 cr, revenue up 19% ...
economictimes.indiatimes.com
HP Deskjet 6543 Color Inkjet Printer Software and Driver Downloads | HP ...
support.hp.com
Beautiful coorg Tour Package for 4 Days | coorg, bangalore Trip Package ...
hellotravel.com
Currency Exchange in Chandigarh at the Best Forex Rates Online
makemytrip.com
Buy 80 Pcs White Paper Hand Fan and 80 Pcs Thank You for Celebrating ...
ubuy.co.in
Download wallpaper 1920x1080 liquid, oil, bubbles, macro, pink full hd ...
wallpaperscraft.com
NASA Astronomy Picture of the Day 30 May 2023: The awesome Dumbbell ...
tech.hindustantimes.com
India and Malaysia can now trade in Indian rupee
currentaffairs.adda247.com
Buy Decibel Meter Wall Hanging Sound Level Meter 11 inch Large LED ...
ubuy.co.in
Buy 35 inch Traffic Advisor Light Bar 144 LED Blue White Emergency ...
ubuy.co.in
Madurai, Rameshwaram, Kanyakumari with Kovalam Temple Trip Package ...
hellotravel.com
Buy Andis TS-1 Gold Titanium Foil Shaver Online at Lowest Price in ...
ubuy.co.in
Buy ಮಲಗುವ ಕೋಣೆ ದೊಡ್ಡ ಕೊಠಡಿ ಮತ್ತು ಅಗತ್ಯ ತೈಲ ಡಿಫ್ಯೂಸರ್ಗಾಗಿ ಬ್ರೀಜೋಮ್ 6 ಎಲ್ ...
ubuy.co.in
Buy Andis TS-1 Gold Titanium Foil Shaver Online at Lowest Price in ...
ubuy.co.in
Buy Mount-It! Triple Monitor Stand | 3 Monitor Stand Fits 19 20 21 22 ...
ubuy.co.in
International Trade Settlement in Indian Rupee (INR)
taxguru.in
Buy 80 Pcs White Paper Hand Fan and 80 Pcs Thank You for Celebrating ...
ubuy.co.in
8 Obat Stroke yang Efektif dan Tersedia di Apotik - Alodokter
alodokter.com
Five Times The RBI Has Withdrawn Or Demonetised Indian Currency Notes
indiatimes.com
Buy 80 Pcs White Paper Hand Fan and 80 Pcs Thank You for Celebrating ...
ubuy.co.in
Buy Mini Fridge, Potiry 6 Liter AC/DC Portable Thermoelectric Cooler ...
ubuy.co.in
RBI’s short USD/INR forward book remains stable- analysis By Investing.com
in.investing.com
الرئيسية - Salam Shopping Center
salamshoppingcenter.com
Buy 100 Pack Solderless LED Tape Light Connector 2 Pin Screw Down ...
ubuy.co.in
Napoli 2-1 Sporting (2 Oct, 2025) Game Analysis - ESPN (IN)
espn.in
Factor XI/XIa Inhibition: The Arsenal in Development for a New ...
mdpi.com
J00029A3001 Telegartner | Telegartner Single-Port RJ11, RJ12, RJ45 ...
in.rsdelivers.com
Buy 100 Pack Solderless LED Tape Light Connector 2 Pin Screw Down ...
ubuy.co.in
Buy Glass Turtle Tank, SILICAR Tortoise Habitat Reptile Terrarium with ...
ubuy.co.in
Crow Coloring Pages
treehut.in
Buy Mini Fridge, Potiry 6 Liter AC/DC Portable Thermoelectric Cooler ...
ubuy.co.in
Welcome to ICL Integrated Couriers & Logistics
iclinternational.in
Buy Glass Turtle Tank, SILICAR Tortoise Habitat Reptile Terrarium with ...
ubuy.co.in
Buy Andis TS-1 Gold Titanium Foil Shaver Online at Lowest Price in ...
ubuy.co.in
Buy 35 inch Traffic Advisor Light Bar 144 LED Blue White Emergency ...
ubuy.co.in
Buy Mini Fridge, Potiry 6 Liter AC/DC Portable Thermoelectric Cooler ...
ubuy.co.in
List Of Countries That Have Opened Special Rupee Vostro Accounts
indiatimes.com
agamudaiyar
y2m.in
Buy Mini Fridge, Potiry 6 Liter AC/DC Portable Thermoelectric Cooler ...
ubuy.co.in
Buy Andis TS-1 Gold Titanium Foil Shaver Online at Lowest Price in ...
ubuy.co.in
Madurai, Rameshwaram, Kanyakumari with Kovalam Temple Trip Package ...
hellotravel.com
Buy Andis TS-1 Gold Titanium Foil Shaver Online at Lowest Price in ...
ubuy.co.in
Sri Lanka and Russia in talks to use the rupee in foreign trade
currentaffairs.adda247.com
Buy Mini Fridge, Potiry 6 Liter AC/DC Portable Thermoelectric Cooler ...
ubuy.co.in
Buy 35 inch Traffic Advisor Light Bar 144 LED Blue White Emergency ...
ubuy.co.in
Sparx Mens Sx0680g Sneaker - Price History
pricehistoryapp.com
MSN Money
msn.com
Forensic Science Salary 2025: Scope, Placements, and Government Jobs 2025
collegesearch.in
Buy Mini Fridge, Potiry 6 Liter AC/DC Portable Thermoelectric Cooler ...
ubuy.co.in
Coagulation Analyzer - Micropoint Q3 Pro Electrometer PT-INR Trader ...
r2healthcare.in
Year-ender 2022: Three factors that will drive INR/USD rate next year ...
livemint.com
Foxit 6543 Two Pin Plug Price in India - Buy Foxit 6543 Two Pin Plug ...
flipkart.com
Buy Andis TS-1 Gold Titanium Foil Shaver Online at Lowest Price in ...
ubuy.co.in
Buy Andis TS-1 Gold Titanium Foil Shaver Online at Lowest Price in ...
ubuy.co.in
Related Searches
SCP 2521 Female
SCP 6426
SCP 6326
SCP Team
SCP 4306
SCP-653
SCP 4793
SCP 4335
SCP Spider
SCP 5733
SCP 2511
SCP 5551
SCP 6747
SCP-543
SCP 3935
Tall SCP
SCP 6033
SCP 6514
SCP 6043
Scp-173-J
SCP 6443
SCP 6535
SCP 6553
SCP 5332
SCP 5533
SCP 5473
SCP 4563
SCP 6355
SCP 453
SCP 2643
SCP 8543
SCP 6523
SCP 6333
SCP 136 Doll
SCP 4310
SCP 6335
SCP 6531
SCP 6843
SCP 5320
SCP 5667
SCP 1808
SCP 795
SCP 5956
SCP 6556
SCP 6503
SCP 6851
SCP 6493
SCP 6243
SCP 8534
SCP Sea Eater
Search
×
Search
Loading...
No suggestions found